Research article Special Issues

MHD flow and heat transfer of fractional nanofluids in a porous medium with ramped wall temperature and heat injection/consumption

  • Published: 13 April 2026
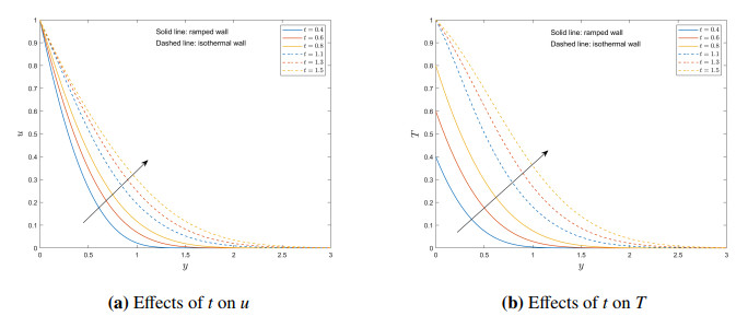
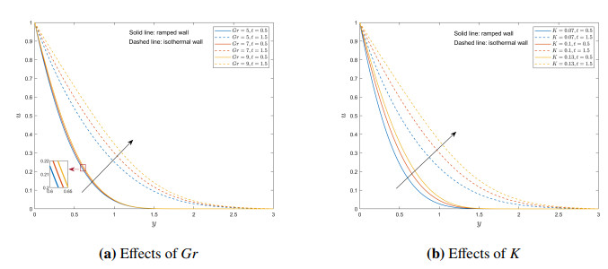
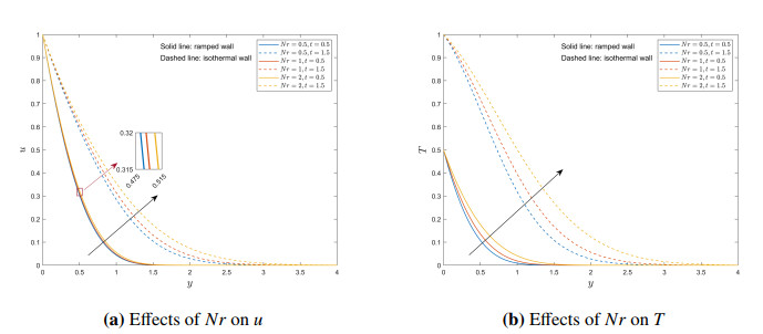
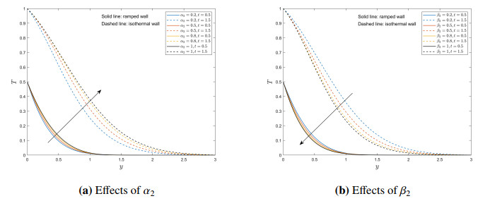
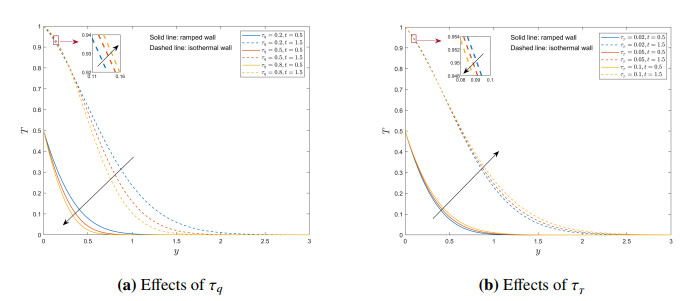
  • This study focused on the unsteady magnetohydrodynamic (MHD) flow and heat transfer of fractional viscoelastic nanofluids over an infinite vertical plate within a porous medium. Both ramped and isothermal wall temperature conditions were considered, along with the effects of heat injection and consumption. The momentum equation was formulated based on a dual-parameter fractional Maxwell constitutive relation, while the energy equation incorporated a fractional dual-phase-lag (DPL) model. The resulting fractional integrodifferential governing equations were solved numerically using a finite difference method combined with the L1 algorithm and the weighted-shifted Grünwald difference scheme. The accuracy of the proposed numerical scheme was verified through manufactured solutions. Numerical results show that increasing porous medium permeability enhances fluid flow, whereas a stronger magnetic field suppresses it. The effects of the phase-lag parameters on the thermal boundary layer differ under ramped and isothermal wall temperature conditions: the phase lag of the temperature gradient leads to a monotonic thickening in the former but a nonmonotonic variation in the latter, whereas the phase lag of the heat flux exhibits an opposite trend. This study provides valuable insights into the application of fractional integrodifferential models for the design and optimization of thermal systems involving nanofluids.

    Citation: Huafang Li, Zhi Mao, Aiguo Xiao, Libo Feng, Leilei Wei, Fawang Liu. MHD flow and heat transfer of fractional nanofluids in a porous medium with ramped wall temperature and heat injection/consumption[J]. Networks and Heterogeneous Media, 2026, 21(2): 564-593. doi: 10.3934/nhm.2026026

    Related Papers:

  • This study focused on the unsteady magnetohydrodynamic (MHD) flow and heat transfer of fractional viscoelastic nanofluids over an infinite vertical plate within a porous medium. Both ramped and isothermal wall temperature conditions were considered, along with the effects of heat injection and consumption. The momentum equation was formulated based on a dual-parameter fractional Maxwell constitutive relation, while the energy equation incorporated a fractional dual-phase-lag (DPL) model. The resulting fractional integrodifferential governing equations were solved numerically using a finite difference method combined with the L1 algorithm and the weighted-shifted Grünwald difference scheme. The accuracy of the proposed numerical scheme was verified through manufactured solutions. Numerical results show that increasing porous medium permeability enhances fluid flow, whereas a stronger magnetic field suppresses it. The effects of the phase-lag parameters on the thermal boundary layer differ under ramped and isothermal wall temperature conditions: the phase lag of the temperature gradient leads to a monotonic thickening in the former but a nonmonotonic variation in the latter, whereas the phase lag of the heat flux exhibits an opposite trend. This study provides valuable insights into the application of fractional integrodifferential models for the design and optimization of thermal systems involving nanofluids.



    加载中


    [1] S. U. S. Choi, J. A. Eastman, Enhancing thermal conductivity of fluids with nanoparticles, in ASME's International Mechanical Engineering Congress & Exposition, ASME, 66 (1995), 99–105. https://doi.org/10.1115/IMECE1995-0926
    [2] W. Yu, D. M. France, J. L. Routbort, S. U. S. Choi, Review and comparison of nanofluid thermal conductivity and heat transfer enhancements, Heat Transfer Eng., 29 (2008), 432–460. https://doi.org/10.1080/01457630701850851 doi: 10.1080/01457630701850851
    [3] M. U. Sajid, H. M. Ali, Thermal conductivity of hybrid nanofluids: A critical review, Int. J. Heat Mass Transfer, 126 (2018), 211–234. https://doi.org/10.1016/j.ijheatmasstransfer.2018.05.021 doi: 10.1016/j.ijheatmasstransfer.2018.05.021
    [4] J. A. Eastman, S. U. S. Choi, S. Li, W. Yu, L. J. Thompson, Anomalously increased effective thermal conductivities of ethylene glycol-based nanofluids containing copper nanoparticles, Appl. Phys. Lett., 78 (2001), 718–720. https://doi.org/10.1063/1.1341218 doi: 10.1063/1.1341218
    [5] O. Mahian, L. Kolsi, M. Amani, P. Estell$\acute{e}$, G. Ahmadi, C. Kleinstreuer, et al., Recent advances in modeling and simulation of nanofluid flows–-Part I: Fundamentals and theory, Phys. Rep., 790 (2019), 1–48. https://doi.org/10.1016/j.physrep.2018.11.004 doi: 10.1016/j.physrep.2018.11.004
    [6] D. D. Kumar, A. V. Arasu, A comprehensive review of preparation, characterization, properties and stability of hybrid nanofluids, Renewable Sustainable Energy Rev., 81 (2018), 1669–1689. https://doi.org/10.1016/j.rser.2017.05.257 doi: 10.1016/j.rser.2017.05.257
    [7] P. C. Mishra, S. Mukherjee, S. K. Nayak, A. Panda, A brief review on viscosity of nanofluids, Int. Nano Lett., 4 (2014), 109–120. https://doi.org/10.1007/s40089-014-0126-3 doi: 10.1007/s40089-014-0126-3
    [8] J. Zhao, L. Zheng, X. Zhang, F. Liu, Unsteady natural convection boundary layer heat transfer of fractional Maxwell viscoelastic fluid over a vertical plate, Int. J. Heat Mass Transfer, 97 (2016), 760–766. https://doi.org/10.1016/j.ijheatmasstransfer.2016.02.059 doi: 10.1016/j.ijheatmasstransfer.2016.02.059
    [9] M. Shen, L. Chen, M. Zhang, F. Liu, A renovated Buongiorno's model for unsteady Sisko nanofluid with fractional Cattaneo heat flux, Int. J. Heat Mass Transfer, 126 (2018), 277–286. https://doi.org/10.1016/j.ijheatmasstransfer.2018.05.131 doi: 10.1016/j.ijheatmasstransfer.2018.05.131
    [10] L. Liu, L. Feng, Q. Xu, L. Zheng, F. Liu, Flow and heat transfer of generalized Maxwell fluid over a moving plate with distributed order time fractional constitutive models, Int. Commun. Heat Mass Transfer, 116 (2020), 104679. https://doi.org/10.1016/j.icheatmasstransfer.2020.104679 doi: 10.1016/j.icheatmasstransfer.2020.104679
    [11] L. Feng, F. Liu, I. Turner, V. V. Anh, Magnetohydrodynamics flow and heat transfer of novel generalized Kelvin–Voigt viscoelastic nanofluids over a moving plate, Phys. Fluids, 36 (2024), 063109. https://doi.org/10.1063/5.0213855 doi: 10.1063/5.0213855
    [12] Z. Mao, L. Feng, I. Turner, A. Xiao, F. Liu, Transient free convective flow of viscoelastic nanofluids governed by fractional integrodifferential equations under Newtonian heating and thermal radiation, Chin. J. Phys., 93 (2025), 584–600. https://doi.org/10.1016/j.cjph.2024.12.025 doi: 10.1016/j.cjph.2024.12.025
    [13] M. Omama, A. A. Arafa, A. Elsaid, W. K. Zahra, Numerical analysis of double-fractional PDEs in MHD hybrid nanofluid blood flow with slip velocity, heat source, and radiation effects, Phys. Scr., 100 (2024), 015288. https://doi.org/10.1088/1402-4896/ada06f doi: 10.1088/1402-4896/ada06f
    [14] H. Sun, Y. Jiang, Y. Zhang, L. Jiang, A review of constitutive models for non-Newtonian fluids, Fract. Calc. Appl. Anal., 27 (2024), 1483–1526. https://doi.org/10.1007/s13540-024-00294-0 doi: 10.1007/s13540-024-00294-0
    [15] L. Feng, I. Turner, V. V. Anh, F. Liu, Review of classical and nonlocal nanofluid models for solar collectors, Renewable Sustainable Energy Rev., 212 (2025), 115382. https://doi.org/10.1016/j.rser.2025.115382 doi: 10.1016/j.rser.2025.115382
    [16] E. R. Priest, T. G. Forbes, The magnetic nature of solar flares, Astron. Astrophys. Rev., 10 (2002), 313–377. https://doi.org/10.1007/s001590100013 doi: 10.1007/s001590100013
    [17] K. Rafique, Z. Mahmood, U. Khan, Mathematical analysis of MHD hybrid nanofluid flow with variable viscosity and slip conditions over a stretching surface, Mater. Today Commun., 36 (2023), 106692. https://doi.org/10.1016/j.mtcomm.2023.106692 doi: 10.1016/j.mtcomm.2023.106692
    [18] A. J. Chamkha, A. M. Aly, MHD free convection flow of a nanofluid past a vertical plate in the presence of heat generation or absorption effects, Chem. Eng. Commun., 198 (2010), 425–441. https://doi.org/10.1080/00986445.2010.520232 doi: 10.1080/00986445.2010.520232
    [19] T. Anwar, P. Kumam, D. Baleanu, I. Khan, P. Thounthong, Radiative heat transfer enhancement in MHD porous channel flow of an Oldroyd-B fluid under generalized boundary conditions, Phys. Scr., 95 (2020), 115211. https://doi.org/10.1088/1402-4896/abbe50 doi: 10.1088/1402-4896/abbe50
    [20] G. Dharmaiah, O. D. Makinde, K. S. Balamurugan, Influence of magneto hydro dynamics (MHD) nonlinear radiation on micropolar nanofluid flow over a stretching surface: Revised Buongiorno's nanofluid model, J. Nanofluids, 11 (2022), 1009–1022. https://doi.org/10.1166/jon.2022.1890 doi: 10.1166/jon.2022.1890
    [21] S. G. Bejawada, M. M. Nandeppanavar, Effect of thermal radiation on magnetohydrodynamics heat transfer micropolar fluid flow over a vertical moving porous plate, Exp. Comput. Multiphase Flow, 5 (2023), 149–158. https://doi.org/10.1007/s42757-021-0131-5 doi: 10.1007/s42757-021-0131-5
    [22] S. Saleem, T. Abbas, H. Abutuqayqah, E. U. Haq, S. U. Khan, Numerical simulation accompanied by an intelligent computing system for the chemical reaction of Casson nanofluid and radiative heat flux on a nonlinear stretching surface, Alexandria Eng. J., 79 (2023), 629–643. https://doi.org/10.1016/j.aej.2023.08.016 doi: 10.1016/j.aej.2023.08.016
    [23] Z. Sheng, Y. Liu, Y. Li, Unsteady magnetohydrodynamic flow, heat, and mass transfer of the fractional Oldroyd-B fluid along a moving infinite vertical plate, Phys. Fluids, 37 (2025), 113114. https://doi.org/10.1063/5.0293008 doi: 10.1063/5.0293008
    [24] S. Kavya, V. Nagendramma, N. A. Ahammad, S. Ahmad, C. S. K. Raju, N. A. Shah, Magnetic-hybrid nanoparticles with stretching/shrinking cylinder in a suspension of MoS4 and copper nanoparticles, Int. Commun. Heat Mass Transfer, 136 (2022), 106150. https://doi.org/10.1016/j.icheatmasstransfer.2022.106150 doi: 10.1016/j.icheatmasstransfer.2022.106150
    [25] P. Jalili, A. A. Azar, B. Jalili, D. D. Ganji, Study of nonlinear radiative heat transfer with magnetic field for non-Newtonian Casson fluid flow in a porous medium, Results Phys., 48 (2023), 106371. https://doi.org/10.1016/j.rinp.2023.106371 doi: 10.1016/j.rinp.2023.106371
    [26] C. P. Malhotra, R. L. Mahajan, W. S. Sampath, K. L. Barth, R. A. Enzenroth, Control of temperature uniformity during the manufacture of stable thin-film photovoltaic devices, In ASME International Mechanical Engineering Congress and Exposition, 4711 (2004), 547–555. https://doi.org/10.1115/IMECE2004-61331
    [27] N. Ahmed, M. Dutta, Transient mass transfer flow past an impulsively started infinite vertical plate with ramped plate velocity and ramped temperature, Int. J. Phys. Sci., 8 (2013), 254–263. https://doi.org/10.5897/IJPS12.713 doi: 10.5897/IJPS12.713
    [28] P. Chandran, N. C. Sacheti, A. K. Singh, Natural convection near a vertical plate with ramped wall temperature, Heat Mass Transfer, 41 (2005), 459–464. https://doi.org/10.1007/s00231-004-0568-7 doi: 10.1007/s00231-004-0568-7
    [29] G. S. Seth, M. S. Ansari, R. Nandkeolyar, MHD natural convection flow with radiative heat transfer past an impulsively moving plate with ramped wall temperature, Heat Mass Transfer, 47 (2011), 551–561. https://doi.org/10.1007/s00231-010-0740-1 doi: 10.1007/s00231-010-0740-1
    [30] S. Rao, P. N. Deka, Numerical analysis of MHD hybrid nanofluid flow a porous stretching sheet with thermal radiation, Int. J. Appl. Comput. Math., 10 (2024), 95. https://doi.org/10.1007/s40819-024-01734-4 doi: 10.1007/s40819-024-01734-4
    [31] M. VeeraKrishna, A. J. Chamkha, Hall effects on unsteady MHD flow of second grade fluid through porous medium with ramped wall temperature and ramped surface concentration, Phys. Fluids, 30 (2018), 053101. https://doi.org/10.1063/1.5025542 doi: 10.1063/1.5025542
    [32] Y. D. Reddy, B. S. Goud, M. A. Kumar, Radiation and heat absorption effects on an unsteady MHD boundary layer flow along an accelerated infinite vertical plate with ramped plate temperature in the existence of slip condition, Partial Differ. Equ. Appl. Math., 4 (2021), 100166. https://doi.org/10.1016/j.padiff.2021.100166 doi: 10.1016/j.padiff.2021.100166
    [33] Z. Mao, L. Feng, A. Xiao, F. Liu, I. Turner, Magnetohydrodynamic transient flow of dual-parameter fractional Maxwell nanofluids past a vertical plate with generalised dual-phase-lagging heat conduction under ramped wall temperature conditions, Eng. Comput., 42 (2026), 51. https://doi.org/10.1007/s00366-025-02267-0 doi: 10.1007/s00366-025-02267-0
    [34] B. Jin, Fractional Differential Equations, Springer International Publishing, 2021. https://doi.org/10.1007/978-3-030-76043-4
    [35] F. Mainardi, G. Spada, Creep, relaxation and viscosity properties for basic fractional models in rheology, Eur. Phys. J. Spec. Top., 193 (2011), 133–160. https://doi.org/10.1140/epjst/e2011-01387-1 doi: 10.1140/epjst/e2011-01387-1
    [36] Applications of Fractional Calculus in Physics, (ed. R. Hilfer), World Scientific, 2000. https://doi.org/10.1142/3779
    [37] H. Schiessel, R. Metzler, A. Blumen, T. F. Nonnenmacher, Generalized viscoelastic models: Their fractional equations with solutions, J. Phys. A: Math. Gen., 28 (1995), 6567–6584. https://doi.org/10.1088/0305-4470/28/23/012 doi: 10.1088/0305-4470/28/23/012
    [38] C. Friedrich, Relaxation and retardation functions of the Maxwell model with fractional derivatives, Rheol. Acta, 30 (1991), 151–158. https://doi.org/10.1007/BF01134604 doi: 10.1007/BF01134604
    [39] W. Tan, W. Pan, M. Xu, A note on unsteady flows of a viscoelastic fluid with the fractional Maxwell model between two parallel plates, Int. J. Non-Linear Mech., 38 (2003), 645–650. https://doi.org/10.1016/S0020-7462(01)00121-4 doi: 10.1016/S0020-7462(01)00121-4
    [40] S. Rosseland, Astrophysics: On an Atomic-Theoretical Basis, Springer-Verlag, Berlin, 1931.
    [41] E. Magyari, A. Pantokratoras, Note on the effect of thermal radiation in the linearized Rosseland approximation on the heat transfer characteristics of various boundary layer flows, Int. Commun. Heat Mass Transfer, 38 (2011), 554–556. https://doi.org/10.1016/j.icheatmasstransfer.2011.03.006 doi: 10.1016/j.icheatmasstransfer.2011.03.006
    [42] D. Y. Tzou, The generalized lagging response in small-scale and high-rate heating, Int. J. Heat Mass Transfer, 38 (1995), 3231–3240. https://doi.org/10.1016/0017-9310(95)00052-B doi: 10.1016/0017-9310(95)00052-B
    [43] T. N. Mishra, K. N. Rai, Numerical solution of FSPL heat conduction equation for analysis of thermal propagation, Appl. Math. Comput., 273 (2016), 1006–1017. https://doi.org/10.1016/j.amc.2015.10.082 doi: 10.1016/j.amc.2015.10.082
    [44] Z. M. Odibat, N. T. Shawagfeh, Generalized Taylor's formula, Appl. Math. Comput., 186 (2007), 286–293. https://doi.org/10.1016/j.amc.2006.07.102 doi: 10.1016/j.amc.2006.07.102
    [45] C. Ji, W. Dai, Z. Sun, Numerical method for solving the time-fractional dual-phase-lagging heat conduction equation with the temperature-jump boundary condition, J. Sci. Comput., 75 (2018), 1307–1336. https://doi.org/10.1007/s10915-017-0588-3 doi: 10.1007/s10915-017-0588-3
    [46] H. Xu, X. Jiang, Time fractional dual-phase-lag heat conduction equation, Chin. Phys. B, 24 (2015), 034401. https://doi.org/10.1088/1674-1056/24/3/034401 doi: 10.1088/1674-1056/24/3/034401
    [47] Y. D. Reddy, B. S. Goud, Comprehensive analysis of thermal radiation impact on an unsteady MHD nanofluid flow across an infinite vertical flat plate with ramped temperature with heat consumption, Results Eng., 17 (2023), 100796. https://doi.org/10.1016/j.rineng.2022.100796 doi: 10.1016/j.rineng.2022.100796
    [48] M. Chandrasekar, S. Suresh, R. Srinivasan, A. C. Bose, New analytical models to investigate thermal conductivity of nanofluids, J. Nanosci. Nanotechnol., 9 (2009), 533–538. https://doi.org/10.1166/jnn.2009.j025 doi: 10.1166/jnn.2009.j025
    [49] L. Godson, B. Raja, D. M. Lal, S. Wongwises, Experimental investigation on the thermal conductivity and viscosity of silver–deionized water nanofluid, Exp. Heat Transfer, 23 (2010), 317–332. https://doi.org/10.1080/08916150903564796 doi: 10.1080/08916150903564796
    [50] E. Abu-Nada, Application of nanofluids for heat transfer enhancement of separated flows encountered in a backward facing step, Int. J. Heat Fluid Flow, 29 (2008), 242–249. https://doi.org/10.1016/j.ijheatfluidflow.2007.07.001 doi: 10.1016/j.ijheatfluidflow.2007.07.001
    [51] H. Schlichting, K. Gersten, Boundary-Layer Theory, Springer, Berlin, 2016. https://doi.org/10.1007/978-3-662-52919-5
    [52] S. Das, A. Sensharma, R. N. Jana, R. P. Sharma, Slip flow of nanofluid past a vertical plate with ramped wall temperature considering thermal radiation, J. Nanofluids, 6 (2017), 1054–1064. https://doi.org/10.1166/jon.2017.1392 doi: 10.1166/jon.2017.1392
    [53] B. Jin, Z. Zhou, Numerical Treatment and Analysis of Time-Fractional Evolution Equations, Springer Cham, 2023. https://doi.org/10.1007/978-3-031-21050-1
    [54] Z. Wang, S. Vong, Compact difference schemes for the modified anomalous fractional sub-diffusion equation and the fractional diffusion-wave equation, J. Comput. Phys., 277 (2014), 1–15. https://doi.org/10.1016/j.jcp.2014.08.012 doi: 10.1016/j.jcp.2014.08.012
    [55] M. Khan, A. Rasheed, M.S. Anwar, S. T. Hussain Shah, Application of fractional derivatives in a Darcy medium natural convection flow of MHD nanofluid, Ain Shams Eng. J., 14 (2023), 102093. https://doi.org/10.1016/j.asej.2022.102093 doi: 10.1016/j.asej.2022.102093
    [56] L. Liu, Y. Liang, X. Bao, H. Fang, An efficient adaptive grid method for a system of singularly perturbed convection-diffusion problems with Robin boundary conditions, Adv. Differ. Equ., 2021 (2021), 6. https://doi.org/10.1186/s13662-020-03166-y doi: 10.1186/s13662-020-03166-y
    [57] Z. Mao, D. Luo, A robust adaptive grid method for first-order nonlinear singularly perturbed Fredholm integro-differential equations, Networks Heterogen. Media, 18 (2023), 1006–1023. https://doi.org/10.3934/nhm.2023044 doi: 10.3934/nhm.2023044
    [58] S. Jiang, J. Zhang, Q. Zhang, Z. Zhang, Fast evaluation of the Caputo fractional derivative and its applications to fractional diffusion equations, Commun. Comput. Phys., 21 (2015), 650–678. https://doi.org/10.4208/cicp.OA-2016-0136 doi: 10.4208/cicp.OA-2016-0136
    [59] X. Gu, S. Wu, A parallel-in-time iterative algorithm for Volterra partial integro-differential problems with weakly singular kernel, J. Comput. Phys., 417 (2020), 109576. https://doi.org/10.1016/j.jcp.2020.109576 doi: 10.1016/j.jcp.2020.109576
    [60] J. Buongiorno, Convective transport in nanofluids, J. Heat Transfer, 128 (2006), 240–250. https://doi.org/10.1115/1.2150834 doi: 10.1115/1.2150834
  • Reader Comments
  • © 2026 the Author(s), licensee AIMS Press. This is an open access article distributed under the terms of the Creative Commons Attribution License (http://creativecommons.org/licenses/by/4.0)
通讯作者: 陈斌, bchen63@163.com
  • 1. 

    沈阳化工大学材料科学与工程学院 沈阳 110142

  1. 本站搜索
  2. 百度学术搜索
  3. 万方数据库搜索
  4. CNKI搜索

Metrics

Article views(348) PDF downloads(28) Cited by(0)

Article outline

Figures and Tables

Figures(14)  /  Tables(2)

/

DownLoad:  Full-Size Img  PowerPoint
Return
Return

Catalog