Research article

An efficient adaptive moving grid algorithm for time-fractional integrodifferential equations governing viscoelastic nanofluid dynamics

  • Published: 24 March 2026
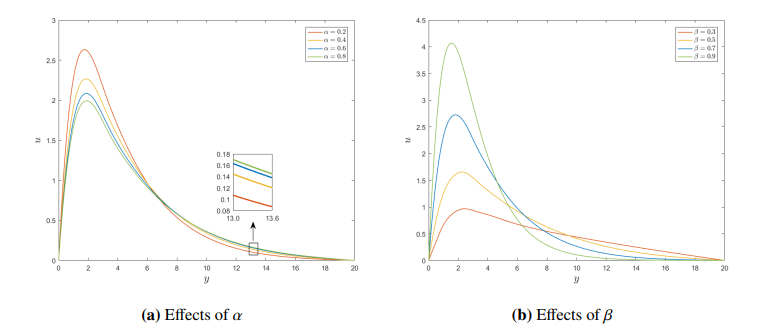
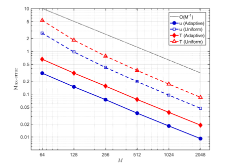
  • An adaptive moving grid method is developed to solve the time-fractional integrodifferential governing equations of viscoelastic nanofluid. The momentum equation is derived based on a dual-parameter fractional Maxwell constitutive relation, and the energy equation employs a generalized Cattaneo heat conduction relation. To improve solution accuracy, a monitor function based on the equidistribution principle is constructed, and an adaptive mesh redistribution strategy is developed in the spatial domain. The temporal fractional-order operators are approximated by the L1 algorithm and the weighted-shifted Grünwald difference method. Numerical experiments demonstrate that the adaptive grid achieves 77.6–88.4% higher accuracy compared to uniform grids at the same grid scale, along with enhanced stability in convergence. Parametric analysis indicates that increasing the fractional-order derivative in the energy equation results in a thickening of both the velocity and thermal boundary layers. Furthermore, the dual-fractional Maxwell model exhibits a thicker velocity boundary layer than its classical single-parameter counterpart. The proposed method offers an efficient and robust approach for simulating complex viscoelastic nanofluid systems with memory effects and multi-field coupling.

    Citation: Zhi Mao, Huafang Li, Xiaobing Bao, Leilei Wei, Libin Liu, Libo Feng. An efficient adaptive moving grid algorithm for time-fractional integrodifferential equations governing viscoelastic nanofluid dynamics[J]. Networks and Heterogeneous Media, 2026, 21(2): 402-425. doi: 10.3934/nhm.2026019

    Related Papers:

  • An adaptive moving grid method is developed to solve the time-fractional integrodifferential governing equations of viscoelastic nanofluid. The momentum equation is derived based on a dual-parameter fractional Maxwell constitutive relation, and the energy equation employs a generalized Cattaneo heat conduction relation. To improve solution accuracy, a monitor function based on the equidistribution principle is constructed, and an adaptive mesh redistribution strategy is developed in the spatial domain. The temporal fractional-order operators are approximated by the L1 algorithm and the weighted-shifted Grünwald difference method. Numerical experiments demonstrate that the adaptive grid achieves 77.6–88.4% higher accuracy compared to uniform grids at the same grid scale, along with enhanced stability in convergence. Parametric analysis indicates that increasing the fractional-order derivative in the energy equation results in a thickening of both the velocity and thermal boundary layers. Furthermore, the dual-fractional Maxwell model exhibits a thicker velocity boundary layer than its classical single-parameter counterpart. The proposed method offers an efficient and robust approach for simulating complex viscoelastic nanofluid systems with memory effects and multi-field coupling.



    加载中


    [1] R. P. Chhabra, Non-Newtonian fluids: An introduction, in Rheology of Complex Fluids (eds. J. Krishnan, A. Deshpande, P. Kumar), Springer, New York, (2010), 3–34. https://doi.org/10.1007/978-1-4419-6494-6
    [2] J. Azaiez, G. M. Homsy, Linear stability of free shear flow of viscoelastic liquids, J. Fluid Mech., 268 (1994), 37–69. https://doi.org/10.1017/S0022112094001254 doi: 10.1017/S0022112094001254
    [3] D. Tripathi, S. K. Pandey, S. Das, Peristaltic flow of viscoelastic fluid with fractional Maxwell model through a channel, Appl. Math. Comput., 215 (2010), 3645–3654. https://doi.org/10.1016/j.amc.2009.11.002 doi: 10.1016/j.amc.2009.11.002
    [4] H. Qi, M. Xu, Some unsteady unidirectional flows of a generalized Oldroyd-B fluid with fractional derivative, Appl. Math. Model., 33 (2009), 4184–4191. https://doi.org/10.1016/j.apm.2009.03.002 doi: 10.1016/j.apm.2009.03.002
    [5] D. Song, T. Jiang, Study on the constitutive equation with fractional derivative for the viscoelastic fluids-modified Jeffreys model and its application, Rheol. Acta, 37 (1998), 512–517. https://doi.org/10.1007/s003970050138 doi: 10.1007/s003970050138
    [6] F. Irgens, Rheology and Non-Newtonian Fluids, Springer, New York, 2014. https://doi.org/10.1007/978-3-319-01053-3
    [7] J. Zhao, L. Zheng, X. Zhang, F. Liu, Unsteady natural convection boundary layer heat transfer of fractional Maxwell viscoelastic fluid over a vertical plate, Int. J. Heat Mass Transfer., 97 (2016), 760–766. https://doi.org/10.1016/j.ijheatmasstransfer.2016.02.059 doi: 10.1016/j.ijheatmasstransfer.2016.02.059
    [8] L. Liu, L. Feng, Q. Xu, L. Zheng, F. Liu, Flow and heat transfer of generalized Maxwell fluid over a moving plate with distributed order time fractional constitutive models, Int. Commun. Heat Mass Transfer., 116 (2020), 104679. https://doi.org/10.1016/j.icheatmasstransfer.2020.104679 doi: 10.1016/j.icheatmasstransfer.2020.104679
    [9] L. Feng, F. Liu, I. Turner, V. V. Anh, Magnetohydrodynamics flow and heat transfer of novel generalized Kelvin–Voigt viscoelastic nanofluids over a moving plate, Phys. Fluids, 36 (2024), 063109. https://doi.org/10.1063/5.0213855 doi: 10.1063/5.0213855
    [10] D. Qaiser, Z. Zheng, M. R. Khan, Numerical assessment of mixed convection flow of Walters-B nanofluid over a stretching surface with Newtonian heating and mass transfer, Therm. Sci. Eng. Prog., 22 (2021), 100801. https://doi.org/10.1016/j.tsep.2020.100801 doi: 10.1016/j.tsep.2020.100801
    [11] M. Aleem, M. I. Asjad, A. Shaheen, I. Khan, MHD Influence on different water based nanofluids $(TiO_2, Al_2O_3, CuO)$ in porous medium with chemical reaction and newtonian heating, Chaos Solitons Fractals, 130 (2020), 109437. https://doi.org/10.1016/j.chaos.2019.109437 doi: 10.1016/j.chaos.2019.109437
    [12] Z. Mao, L. Feng, I. Turner, A. Xiao, F. Liu, Transient free convective flow of viscoelastic nanofluids governed by fractional integrodifferential equations under Newtonian heating and thermal radiation, Chin. J. Phys., 93 (2025), 584–600. https://doi.org/10.1016/j.cjph.2024.12.025 doi: 10.1016/j.cjph.2024.12.025
    [13] D. G. Prakasha, N. S. Malagi, P. Veeresha, B. C. Prasannakumara, An efficient computational technique for time-fractional Kaup-Kupershmidt equation, Numer. Methods Partial Differ. Equations, 37 (2021), 1299–1316. https://doi.org/10.1002/num.22580 doi: 10.1002/num.22580
    [14] P. Veeresha, D. G. Prakasha, N. Magesh, A. John Christopher, D. U. Sarwe, Solution for fractional potential KdV and Benjamin equations using the novel technique, J. Ocean Eng. Sci., 6 (2021), 265–275. https://doi.org/10.1016/j.joes.2021.01.003 doi: 10.1016/j.joes.2021.01.003
    [15] C. V. D. Kumar, D. G. Prakasha, N. B. Turki, Exploring the dynamics of fractional-order nonlinear dispersive wave system through homotopy technique, Open Phys., 23 (2025), 20250128. https://doi.org/10.1515/phys-2025-0128 doi: 10.1515/phys-2025-0128
    [16] J. Xie, M. Wan, F. Zhao, J. Zhang, W. Shi, Dynamic perturbation analysis of fractional order differential quasiperiodic Mathieu equation, Chaos, 33 (2023), 123118. https://doi.org/10.1063/5.0163991 doi: 10.1063/5.0163991
    [17] M. Shen, Z. Zhou, H. Chen, H. Fang, M. Zhang, A novel physically motivated Zener model for magnetohydrodynamics viscoelastic fluids with differential–integral fractional operator, Phys. Fluids, 37 (2025), 073128. https://doi.org/10.1063/5.0275223 doi: 10.1063/5.0275223
    [18] Z. Mao, L. Feng, A. Xiao, F. Liu, I. Turner, Magnetohydrodynamic transient flow of dual-parameter fractional maxwell nanofluids past a vertical plate with generalised dual-phase-lagging heat conduction under ramped wall temperature conditions, Eng. Comput., 42 (2026), 51. https://doi.org/10.1007/s00366-025-02267-0 doi: 10.1007/s00366-025-02267-0
    [19] A. Mehri, M. S. Abdo, H. Bouhadjera, A. Dawood, K. Aldwoah, R. Egami, Finite element analysis of a multi-term nonlinear time-fractional convection-diffusion equation with Caputo-Fabrizio derivative, Boundary Value Probl., 2025 (2025), 1–26. https://doi.org/10.1186/s13661-025-02112-9 doi: 10.1186/s13661-025-02112-9
    [20] I. P. A. Papadopoulos, S. Olver, A sparse spectral method for fractional differential equations in one-spatial dimension, Adv. Comput. Math., 50 (2024), 69. https://doi.org/10.1007/s10444-024-10164-1 doi: 10.1007/s10444-024-10164-1
    [21] J. C. Kalita, A. K. Dass, D. C. Dalal, A transformation-free HOC scheme for steady convection-diffusion on non-uniform grids, Int. J. Numer. Methods Fluids, 44 (2004), 33–53. https://doi.org/10.1002/fld.621 doi: 10.1002/fld.621
    [22] H. Wu, Y. He, G. Tang, W. Tao, Lattice Boltzmann simulation of flow in porous media on non-uniform grids, Prog. Comput. Fluid Dyn., 5 (2005), 97–103. https://doi.org/10.1504/PCFD.2005.005821 doi: 10.1504/PCFD.2005.005821
    [23] J. Yang, Z. Xie, Z. Ji, H. Meng, Real-time heat transfer model based on variable non-uniform grid for dynamic control of continuous casting billets, ISIJ Int., 54 (2014), 328–335. https://doi.org/10.2355/isijinternational.54.328 doi: 10.2355/isijinternational.54.328
    [24] R. Webster, Algebraic multigrid and incompressible fluid flow, Int. J. Numer. Methods Fluids, 53 (2007), 669–690. https://doi.org/10.1002/fld.1297 doi: 10.1002/fld.1297
    [25] L. Liu, G. Long, Z. Cen, A robust adaptive grid method for a nonlinear singularly perturbed differential equation with integral boundary condition, Numer. Algorithms, 83 (2020), 719–739. https://doi.org/10.1007/s11075-019-00700-2 doi: 10.1007/s11075-019-00700-2
    [26] G. Long, L. Liu, Z. Huang, Richardson extrapolation method on an adaptive grid for singularly perturbed Volterra integro-differential equations, Numer. Funct. Anal. Optim., 42 (2021), 739–757. https://doi.org/10.1080/01630563.2021.1928698 doi: 10.1080/01630563.2021.1928698
    [27] A. Gupta, A. Kaushik, M. Sharma, A higher-order hybrid spline difference method on adaptive mesh for solving singularly perturbed parabolic reaction-diffusion problems with robin-boundary conditions, Numer. Methods Partial Differ. Equations, 39 (2023), 1220–1250. https://doi.org/10.1002/num.22931 doi: 10.1002/num.22931
    [28] L. Liu, Y. Liang, J. Zhang, X. Bao, A robust adaptive grid method for singularly perturbed Burger-Huxley equations, Electron. Res. Arch., 28 (2020), 1439. https://doi.org/10.3934/era.2020076 doi: 10.3934/era.2020076
    [29] Z. Mao, D. Luo, A robust adaptive grid method for first-order nonlinear singularly perturbed Fredholm integro-differential equations, Networks Heterogen. Media, 18 (2023), 1006–1023. https://doi.org/10.3934/nhm.2023044 doi: 10.3934/nhm.2023044
    [30] L. Liu, Y. Liang, X. Bao, H. Fang, An efficient adaptive grid method for a system of singularly perturbed convection-diffusion problems with Robin boundary conditions, Adv. Differ. Equ., 2021 (2021), 1–13. https://doi.org/10.1186/s13662-020-03166-y doi: 10.1186/s13662-020-03166-y
    [31] M. Sheikholeslami, A. Ghasemi, Solidification heat transfer of nanofluid in existence of thermal radiation by means of FEM, Int. J. Heat Mass Transfer., 123 (2018), 418–431. https://doi.org/10.1016/j.ijheatmasstransfer.2018.02.095 doi: 10.1016/j.ijheatmasstransfer.2018.02.095
    [32] E. Abu-Nada, Application of nanofluids for heat transfer enhancement of separated flows encountered in a backward facing step, Int. J. Heat Fluid Flow, 29 (2008), 242–249. https://doi.org/10.1016/j.ijheatfluidflow.2007.07.001 doi: 10.1016/j.ijheatfluidflow.2007.07.001
    [33] B. Jin, Fractional calculus, in Fractional Differential Equations, Springer, Cham, (2021), 19–58. https://doi.org/10.1007/978-3-030-76043-4
    [34] H. Schiessel, C. Friedrich, A. Blumen, Fractional powers of infinitesimal generators of semigroups, in Applications of Fractional Calculus in Physics (Ed. R. Hilfer), World scientific, Singapore, (2000), 131–170. https://doi.org/10.1142/9789812817747
    [35] H. Schiessel, R. Metzler, A. Blumen, T. F. Nonnenmacher, Generalized viscoelastic models: Their fractional equations with solutions, J. Phys. A: Math. Gen., 28 (1995), 6567. https://doi.org/10.1088/0305-4470/28/23/012 doi: 10.1088/0305-4470/28/23/012
    [36] C. Friedrich, Relaxation and retardation functions of the maxwell model with fractional derivatives, Rheol. Acta, 30 (1991), 151–158. https://doi.org/10.1007/BF01134604 doi: 10.1007/BF01134604
    [37] W. Tan, W. Pan, M. Xu, A note on unsteady flows of a viscoelastic fluid with the fractional Maxwell model between two parallel plates, Int. J. Nonlinear Mech., 38 (2003), 645–650. https://doi.org/10.1016/S0020-7462(01)00121-4 doi: 10.1016/S0020-7462(01)00121-4
    [38] M. Shen, L. Chen, M. Zhang, F. Liu, A renovated Buongiorno's model for unsteady Sisko nanofluid with fractional Cattaneo heat flux, Int. J. Heat Mass Transfer., 126 (2018), 277–286. https://doi.org/10.1016/j.ijheatmasstransfer.2018.05.131 doi: 10.1016/j.ijheatmasstransfer.2018.05.131
    [39] M. A. Ezzat, Thermoelectric MHD non-Newtonian fluid with fractional derivative heat transfer, Phys. B, 405 (2010), 4188–4194. https://doi.org/10.1016/j.physb.2010.07.009 doi: 10.1016/j.physb.2010.07.009
    [40] Z. Wang, S. Vong, Compact difference schemes for the modified anomalous fractional sub-diffusion equation and the fractional diffusion-wave equation, J. Comput. Phys., 277 (2014), 1–15. https://doi.org/10.1016/j.jcp.2014.08.012 doi: 10.1016/j.jcp.2014.08.012
    [41] M. Stynes, E. O$\ddot{{\rm{R}}}$iordan, J. L. Gracia, Error analysis of a finite difference method on graded meshes for a time-fractional diffusion equation, SIAM J. Numer. Anal., 55 (2017), 1057–1079. https://doi.org/10.1137/16M1082329 doi: 10.1137/16M1082329
    [42] P. Roul, A robust adaptive moving mesh technique for a time-fractional reaction-diffusion model, Commun. Nonlinear Sci. Numer. Simul., 109 (2022), 106290. https://doi.org/10.1016/j.cnsns.2022.106290 doi: 10.1016/j.cnsns.2022.106290
    [43] J. Huang, Z. Cen, J. Zhao, An adaptive moving mesh method for a time-fractional Black–Scholes equation, Adv. Differ. Equ., 2019 (2019), 516. https://doi.org/10.1186/s13662-019-2453-1 doi: 10.1186/s13662-019-2453-1
    [44] Z. Cen, L. Liu, A. Xu, A second-order adaptive grid method for a nonlinear singularly perturbed problem with an integral boundary condition, J. Comput. Appl. Math., 385 (2021), 113205. https://doi.org/10.1016/j.cam.2020.113205 doi: 10.1016/j.cam.2020.113205
    [45] M. Cakir, Y. Ekinci, E. Cimen, A numerical approach for solving nonlinear Fredholm integro-differential equation with boundary layer, Comput. Appl. Math., 41 (2022), 259. https://doi.org/10.1007/s40314-022-01933-z doi: 10.1007/s40314-022-01933-z
    [46] M. Cakir, B. Gunes, A fitted operator finite difference approximation for singularly perturbed Volterra–Fredholm integro-differential equations, Mathematics, 10 (2022), 3560. https://doi.org/10.3390/math10193560 doi: 10.3390/math10193560
    [47] S. Priyadarshana, A. Padhan, J. Mohapatra, Adaptive grid based moving mesh algorithms for singularly perturbed second-order Volterra integro differential equations, Quaest. Math., 48 (2024), 1007–1028. https://doi.org/10.2989/16073606.2025.2462939 doi: 10.2989/16073606.2025.2462939
    [48] N. Kopteva, M. Stynes, A robust adaptive method for a quasilinear one-dimensional convection-diffusion problem, SIAM J. Numer. Anal., 39 (2001), 1446–1467. https://doi.org/10.1137/S003614290138471X doi: 10.1137/S003614290138471X
    [49] W. S. Manebo, M. M. Woldaregay, T. G. Dinka, G. F. Duressa, A computational approach to solving a second-order singularly perturbed Fredholm integro-differential equation with discontinuous source term, Numer. Algor., 97 (2024), 1415–1430. https://doi.org/10.1007/s11075-024-01756-5 doi: 10.1007/s11075-024-01756-5
    [50] S. Jiang, J. Zhang, Q. Zhang, Z. Zhang, Fast evaluation of the Caputo fractional derivative and its applications to fractional diffusion equations, Commun. Comput. Phys., 21 (2015), 650–678. https://doi.org/10.4208/cicp.OA-2016-0136 doi: 10.4208/cicp.OA-2016-0136
    [51] X. Gu, S. Wu, A parallel-in-time iterative algorithm for Volterra partial integro-differential problems with weakly singular kernel, J. Comput. Phys., 417 (2020), 109576. https://doi.org/10.1016/j.jcp.2020.109576 doi: 10.1016/j.jcp.2020.109576
    [52] J. Buongiorno, Convective transport in nanofluids, J. Heat Transfer, 128 (2006), 240–250. https://doi.org/10.1115/1.2150834 doi: 10.1115/1.2150834
    [53] F. Mebarek-Oudina, Preeti, A. S. Sabu, H. Vaidya, R. W. Lewis, S. Areekara, et al., Hydromagnetic flow of magnetite-water nanofluid utilizing adapted Buongiorno model, Int. J. Mod. Phys. B, 38 (2024), 2450003. https://doi.org/10.1142/S0217979224500036 doi: 10.1142/S0217979224500036
  • Reader Comments
  • © 2026 the Author(s), licensee AIMS Press. This is an open access article distributed under the terms of the Creative Commons Attribution License (http://creativecommons.org/licenses/by/4.0)
通讯作者: 陈斌, bchen63@163.com
  • 1. 

    沈阳化工大学材料科学与工程学院 沈阳 110142

  1. 本站搜索
  2. 百度学术搜索
  3. 万方数据库搜索
  4. CNKI搜索

Metrics

Article views(433) PDF downloads(26) Cited by(0)

Article outline

Figures and Tables

Figures(9)  /  Tables(3)

/

DownLoad:  Full-Size Img  PowerPoint
Return
Return

Catalog