Formulation of the protein synthesis rate with sequence information

  • Published: 01 April 2018
  • MSC : 92C45

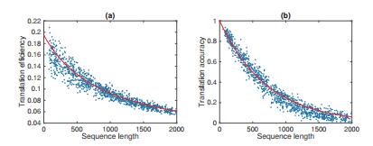
  • Translation is a central biological process by which proteins are synthesized from genetic information contained within mRNAs. Here, we investigate the kinetics of translation at the molecular level by a stochastic simulation model. The model explicitly includes RNA sequences, ribosome dynamics, the tRNA pool and biochemical reactions involved in the translation elongation. The results show that the translation efficiency is mainly limited by the available ribosome number, translation initiation and the translation elongation time. The elongation time is a log-normal distribution, with the mean and variance determined by the codon saturation and the process of aa-tRNA selection at each codon binding site. Moreover, our simulations show that the translation accuracy exponentially decreases with the sequence length. These results suggest that aa-tRNA competition is crucial for both translation elongation, translation efficiency and the accuracy, which in turn determined the effective protein production rate of correct proteins. Our results improve the dynamical equation of protein production with a delay differential equation that is dependent on sequence information through both the effective production rate and the distribution of elongation time.

    Citation: Wenjun Xia, Jinzhi Lei. Formulation of the protein synthesis rate with sequence information[J]. Mathematical Biosciences and Engineering, 2018, 15(2): 507-522. doi: 10.3934/mbe.2018023

    Related Papers:

  • Translation is a central biological process by which proteins are synthesized from genetic information contained within mRNAs. Here, we investigate the kinetics of translation at the molecular level by a stochastic simulation model. The model explicitly includes RNA sequences, ribosome dynamics, the tRNA pool and biochemical reactions involved in the translation elongation. The results show that the translation efficiency is mainly limited by the available ribosome number, translation initiation and the translation elongation time. The elongation time is a log-normal distribution, with the mean and variance determined by the codon saturation and the process of aa-tRNA selection at each codon binding site. Moreover, our simulations show that the translation accuracy exponentially decreases with the sequence length. These results suggest that aa-tRNA competition is crucial for both translation elongation, translation efficiency and the accuracy, which in turn determined the effective protein production rate of correct proteins. Our results improve the dynamical equation of protein production with a delay differential equation that is dependent on sequence information through both the effective production rate and the distribution of elongation time.


    加载中
    [1] [ M. M. Babu,N. M. Luscombe,L. Aravind,M. Gerstein,S. A. Teichmann, Structure and evolution of transcriptional regulatory networks, Curr. Opin. Struct. Biol., 14 (2004): 283-291.
    [2] [ G. Cannarozzi,N. N. Schraudolph,M. Faty,P. von Rohr,M. T. Friberg,A. C. Roth,P. Gonnet,G. Gonnet,Y. Barral, A role for codon order in translation dynamics, Cell, 141 (2010): 355-367.
    [3] [ D. Chu,D. J. Barnes,T. von der Haar, The role of tRNA and ribosome competition in coupling the expression of different mRNAs in saccharomyces cerevisiae, Nucleic. Acids. Res., 39 (2011): 6705-6714.
    [4] [ L. J. Core,A. L. Martins,C. G. Danko,C. T. Waters,A. Siepel,J. T. Lis, Analysis of nascent RNA identifies a unified architecture of initiation regions at mammalian promoters and enhancers, Nat. Genet., 46 (2014): 1311-1320.
    [5] [ H. Dong,L. Nilsson,C. G. Kurland, Co-variation of tRNA abundance and codon usage in Escherichia coli at different growth rates, J. Mol. Biol., 260 (1996): 649-663.
    [6] [ A. Fluitt,E. Pienaar,H. Viljoen, Ribosome kinetics and aa-tRNA competition determine rate and fidelity of peptide synthesis, Comput. Biol. Chem., 31 (2007): 335-346.
    [7] [ D. T. Gilliespie, Exact stochastic simulation of coupled chemical reactions, J. Phys. Chem., 81 (1977): 2340-2361.
    [8] [ K. B. Gromadski,M. V. Rodnina, Kinetic determinants of high-fidelity tRNA discrimination on the ribosome, Mol. Cell, 13 (2004): 191-200.
    [9] [ M. Guttman,P. Russell,N. T. Ingolia,J. S. Weissman,E. S. Lander, Ribosome profiling provides evidence that large noncoding RNAs do not encode proteins, Cell, 154 (2013): 240-251.
    [10] [ N. T. Ingolia,S. Ghaemmaghami,J. R. Newman,J. S. Weissman, Genome-wide analysis in vivo of translation with nucleotide resolution using ribosome profiling, Science, 324 (2009): 218-223.
    [11] [ N. T. Ingolia,L. F. Lareau,J. S. Weissman, Ribosome profiling of mouse embryonic stem cells reveals the complexity and dynamics of mammalian proteomes, Cell, 147 (2011): 789-802.
    [12] [ R. J. Jackson,C. U. Hellen,T. V. Pestova, The mechanism of eukaryotic translation initiation and principles of its regulation, Nat. Rev. Mol. Cell Biol., 11 (2010): 113-127.
    [13] [ G.-W. Li,X. S. Xie, Central dogma at the single-molecule level in living cells, Nature, 475 (2011): 308-315.
    [14] [ E. Limpert,W. Stahel,M. Abbt, Log-normal distributions across the sciences: Keys and clues, BioScience, 51 (2001): 341-352.
    [15] [ Y. Mao,H. Liu,Y. Liu,S. Tao, Deciphering the rules by which dynamics of mRNA secondary structure affect translation efficiency in saccharomyces cerevisiae, Nucleic. Acids. Res., 42 (2014): 4813-4822.
    [16] [ N. Mitarai,K. Sneppen,S. Pedersen, Ribosome collisions and translation efficiency: Optimization by codon usage and mRNA destabilization, J. Mol. Biol., 382 (2008): 236-245.
    [17] [ J. Ninio, Ribosomal kinetics and accuracy: sequence engineering to the rescue, J. Mol. Biol., 422 (2012): 325-327.
    [18] [ J. B. Plotkin,G. Kudla, Synonymous but not the same: The causes and consequences of codon bias, Nat. Rev. Genet., 12 (2010): 32-42.
    [19] [ S. Proshkin,A. R. Rahmouni,A. Mironov,E. Nudler, Cooperation between translating ribosomes and RNA polymerase in transcription elongation, Science, 328 (2010): 504-508.
    [20] [ A. Savelsbergh,V. Katunin,D. Mohr,F. Peske,M. Rodnina,W. Wintermeyer, An elongation factor G-induced ribosome rearrangement precedes tRNA-mRNA translocation, Mol. Cell, 11 (2003): 1517-1523.
    [21] [ P. Shah,Y. Ding,M. Niemczyk,G. Kudla,J. B. Plotkin, Rate-limiting steps in yeast protein translation, Cell, 153 (2013): 1589-1601.
    [22] [ P. Shah,M. A. Gilchrist, Explaining complex codon usage patterns with selection for translational efficiency, mutation bias, and genetic drift, Proc. Natl. Acad. Sci. USA, 108 (2011): 10231-10236.
    [23] [ M. Siwiak,P. Zielenkiewicz, A comprehensive, quantitative, and genome-wide model of translation, PLoS Comput. Biol., 6 (2010): e1000865.
    [24] [ S. S. Sommer,N. A. Rin, The lognormal distribution fits the decay profile of eukaryotic mRNA, Biochem Biophys Res Commun, 90 (1979): 135-141.
    [25] [ T. Tian,K. Burrage,P. M. Burrage,M. Carletti, Stochastic delay differential equations for genetic regulatory networks, J. Comput. Appl. Math., 205 (2007): 696-707.
    [26] [ T. Tuller,A. Carmi,K. Vestsigian,S. Navon,Y. Dorfan,J. Zaborske,T. Pan,O. Dahan,I. Furman,Y. Pilpel, An evolutionarily conserved mechanism for controlling the efficiency of protein translation, Cell, 141 (2010): 344-354.
    [27] [ T. Tuller,Y. Y. Waldman,M. Kupiec,E. Ruppin, Translation efficiency is determined by both codon bias and folding energy, Proc. Natl. Acad.Sci. USA, 107 (2010): 3645-3650.
    [28] [ G. von Heijne, Membrane-protein topology, Nat. Rev. Mol. Cell Biol., 7 (2006): 909-918.
    [29] [ X. S. Xie,P. J. Choi,G.-W. Li,N. K. Lee,G. Lia, Single-molecule approach to molecular biology in living bacterial cells, Annual review of biophysics, 37 (2008): 417-444.
    [30] [ L. M. y Terán-Romero,M. Silber,V. Hatzimanikatis, The origins of time-delay in template biopolymerization processes, PLoS Comput. Biol., 6 (2010): e1000726, 15pp.
    [31] [ E. Zavala,T. T. Marquez-Lago, Delays induce novel stochastic effects in negative feedback gene circuits, Biophys. J., 106 (2014): 467-478.
  • Reader Comments
  • © 2018 the Author(s), licensee AIMS Press. This is an open access article distributed under the terms of the Creative Commons Attribution License (http://creativecommons.org/licenses/by/4.0)
通讯作者: 陈斌, bchen63@163.com
  • 1. 

    沈阳化工大学材料科学与工程学院 沈阳 110142

  1. 本站搜索
  2. 百度学术搜索
  3. 万方数据库搜索
  4. CNKI搜索

Metrics

Article views(6095) PDF downloads(512) Cited by(3)

Article outline

Figures and Tables

Figures(10)  /  Tables(2)

Other Articles By Authors

/

DownLoad:  Full-Size Img  PowerPoint
Return
Return

Catalog