Research article Special Issues

A novel modified one-step iterative method for common fixed points of three nonexpansive mappings

  • Published: 29 April 2026
  • MSC : 46B20, 47H10, 47H09, 47J25

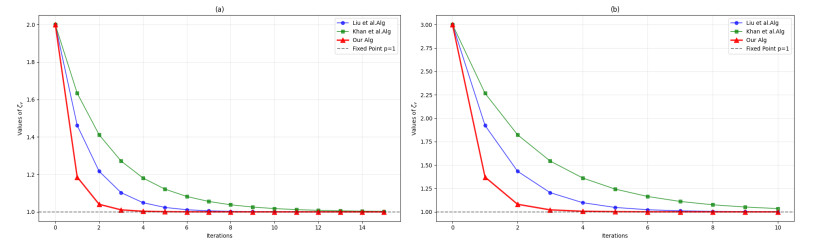
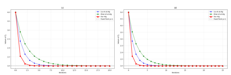
  • This paper proposes a novel modified one-step iterative scheme for approximating common fixed points of three nonexpansive mappings in uniformly convex Banach spaces. The proposed scheme extends the classical one-step iteration associated with two mappings, which can be recovered as a particular case by an appropriate choice of the third mapping. Weak convergence of the generated sequence is established under both the Kadec-Klee property (KKP) and the Opial condition, while strong convergence is obtained by assuming a modified condition (B). Moreover, we introduce a new Condition (P) tailored for three mappings, which reduces to the well-known Condition (S) in the case of two mappings. The results presented here broaden and unify several existing contributions in the theory of common fixed point approximation.

    Citation: Athar Abbas, Somayya Komal, Hafiz Fukhar-ud-din, Muhammad Aqeel Ahmad Khan, Muhammad Jabir Khan. A novel modified one-step iterative method for common fixed points of three nonexpansive mappings[J]. AIMS Mathematics, 2026, 11(4): 12094-12107. doi: 10.3934/math.2026496

    Related Papers:

  • This paper proposes a novel modified one-step iterative scheme for approximating common fixed points of three nonexpansive mappings in uniformly convex Banach spaces. The proposed scheme extends the classical one-step iteration associated with two mappings, which can be recovered as a particular case by an appropriate choice of the third mapping. Weak convergence of the generated sequence is established under both the Kadec-Klee property (KKP) and the Opial condition, while strong convergence is obtained by assuming a modified condition (B). Moreover, we introduce a new Condition (P) tailored for three mappings, which reduces to the well-known Condition (S) in the case of two mappings. The results presented here broaden and unify several existing contributions in the theory of common fixed point approximation.



    加载中


    [1] F. E. Browder, Convergence theorems for sequences of nonlinear operators in Banach spaces, Math. Z., 100 (1967), 201–225. https://doi.org/10.1007/BF01109805 doi: 10.1007/BF01109805
    [2] R. E. Bruck, A simple proof of the mean ergodic theorem for nonlinear contractions in Banach spaces, Israel J. Math., 32 (1979), 107–116. https://doi.org/10.1007/BF02764907 doi: 10.1007/BF02764907
    [3] C. Byrne, A unified treatment of some iterative algorithms in signal processing and image reconstruction, Inverse probl., 20 (2004), 103–120. https://doi.org/10.1088/0266-5611/20/1/006 doi: 10.1088/0266-5611/20/1/006
    [4] C. Chidume, S. Mutangadura, An example on the Mann iteration method for Lipschitz pseudocontractions, Proc. Amer. Math. Soc., 129 (2001), 2359–2363. https://doi.org/10.1090/S0002-9939-01-06009-9 doi: 10.1090/S0002-9939-01-06009-9
    [5] G. Das, Fixed points of quasinonexpansive mappings, Indian J. Pure Appl. Math., 17 (1986), 1263–1269.
    [6] J. G. Falset, W. Kaczor, T. Kuczumow and S. Reich, Weak convergence theorems for asymptotically nonexpansive mappings and semigroups, Nonlinear Anal. Theor., 43 (2001), 377–401. https://doi.org/10.1016/S0362-546X(99)00200-X doi: 10.1016/S0362-546X(99)00200-X
    [7] H. Fukhar-ud-din, S. H. Khan, Convergence of iterates with errors of asymptotically quasi-nonexpansive mappings and applications, J. Math. Anal. Appl., 328 (2007), 821–829. https://doi.org/10.1016/j.jmaa.2006.05.068 doi: 10.1016/j.jmaa.2006.05.068
    [8] S. Ishikawa, Fixed points by a new iteration method, Proc. Amer. Math. Soc., 44 (1974), 147–150. https://doi.org/10.1090/S0002-9939-1974-0336469-5 doi: 10.1090/S0002-9939-1974-0336469-5
    [9] S. H. Khan, H. Fukhar-ud-din, Weak and strong convergence of a scheme with errors for two nonexpansive mappings, Nonlinear Anal. Theor., 61 (2005), 1295–1301. https://doi.org/10.1016/j.na.2005.01.081 doi: 10.1016/j.na.2005.01.081
    [10] S. H. Khan, M. Abbas, A. R. Khan, Common fixed points of two nonexpansive mappings by a new one-step iteration process, Iran. J. Sci. Technol. A., 33 (2009), 249–257.
    [11] S. H. Khan, W. Takahashi, Approximating common fixed points of two asymptotically nonexpansive mappings, Sci. Math. Jpn., 53 (2001), 143–148.
    [12] T. H. Kim, H. K. Xu, Strong convergence of modified Mann iterations, Nonlinear Anal. Theor., 61 (2005), 51–60. https://doi.org/10.1016/j.na.2004.11.011 doi: 10.1016/j.na.2004.11.011
    [13] Z. Liu, C. Feng, J. S. Ume, S. M. Kang, Weak and strong convergence for common fixed points of a pair of nonexpansive and asymptotically nonexpansive mappings, Taiwan. J. Math., 11 (2007), 27–42.
    [14] W. R. Mann, Mean value methods in iteration, Proc. Amer. Math. Soc., 4 (1953), 506–510. https://doi.org/10.2307/2032162 doi: 10.2307/2032162
    [15] Z. Opial, Weak convergence of the sequence of successive approximations for nonexpansive mappings, Bull. Amer. Math. Soc., 73 (1967), 591–597. https://doi.org/10.1090/S0002-9904-1967-11761-0 doi: 10.1090/S0002-9904-1967-11761-0
    [16] J. Schu, Weak and strong convergence to fixed points of asymptotically nonexpansive mappings, Bull. Aust. Math. Soc., 43 (1991), 153–159. https://doi.org/10.1017/S0004972700028884 doi: 10.1017/S0004972700028884
    [17] W. Takahashi, T. Tamura, Convergence theorems for a pair of nonexpansive mappings, J. Convex Anal., 5 (1998), 45–56.
    [18] D. J. Wen, Weak and strong convergence theorems of G-monotone nonexpansive mapping in Banach spaces with a graph, Numer. Func. Anal. Opt., 40 (2019), 163–177. https://doi.org/10.1080/01630563.2018.1513031 doi: 10.1080/01630563.2018.1513031
  • Reader Comments
  • © 2026 the Author(s), licensee AIMS Press. This is an open access article distributed under the terms of the Creative Commons Attribution License (http://creativecommons.org/licenses/by/4.0)
通讯作者: 陈斌, bchen63@163.com
  • 1. 

    沈阳化工大学材料科学与工程学院 沈阳 110142

  1. 本站搜索
  2. 百度学术搜索
  3. 万方数据库搜索
  4. CNKI搜索

Metrics

Article views(213) PDF downloads(34) Cited by(0)

Article outline

Figures and Tables

Figures(2)

/

DownLoad:  Full-Size Img  PowerPoint
Return
Return

Catalog