Research article

A neural network framework for simulating drought impacts on predator– prey dynamics

  • Published: 29 April 2026
  • MSC : 03C65, 26A33, 34A08, 92B20

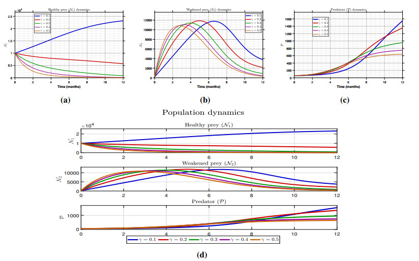
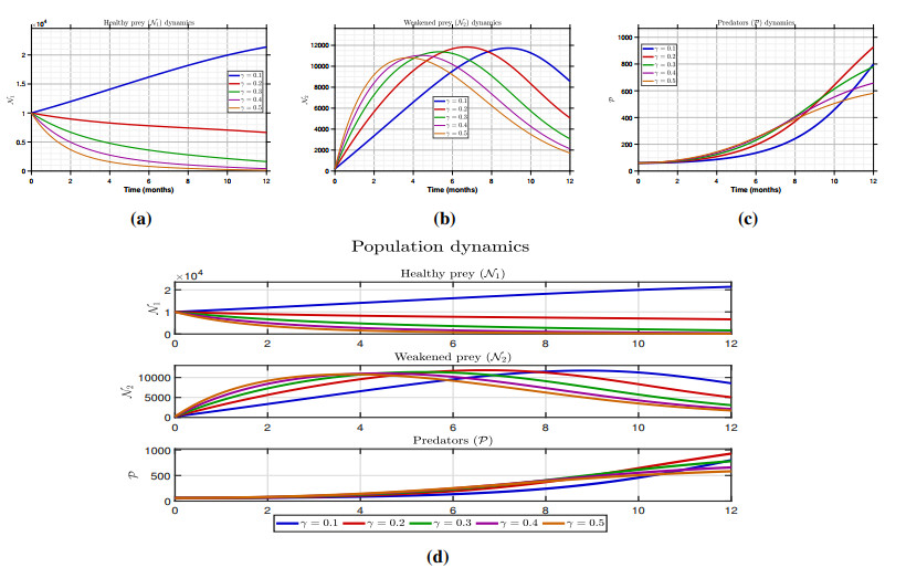
  • This study examines the influence of drought on predator–prey systems under the variable-order (VO) fractional derivative. It is applied to the wildebeest–lion system of the Serengeti. First, the well-posedness of the system is ensured by the existence, uniqueness, and Ulam–Hyers (UH) stability of the solution. A finite difference method is presented, coupled with a neural network (NN) approach for numerical validation. The numerical results show the effect of the VO fractional derivative and the intensity of the drought. The results demonstrate that a critical drought threshold exists for the drought impact parameter $ \gamma $, beyond which the healthy prey populations decline by over $ 90\% $ from 6643 when $ \gamma $ is 0.20 to 407 when $ \gamma $ is 0.40, and the risk of extinction is very high. As the fractional order decreases from 0.5, the ecological memory is increased, resulting in increased predator populations (from 4898 to 8974 when $ \gamma $ is 0.1) and the long-term effects of the drought. The VO framework produces qualitatively different dynamics than constant-order models, featuring time-dependent stability and attractor morphing, which makes it more suitable for modelling real-world ecological systems under climate stress. The NN approach also demonstrates excellent predictive capabilities, achieving $ R^2 = 1.0 $ and RMSE $ < 12 $ for all populations. These metrics validate our numerical scheme and provide a computationally efficient quick scenario analysis. The novelty of our analysis is the combination of a VO operator, finite difference method, and neural computing in a unified framework for analyzing nonlinear fractional ecological systems. This study provides a mathematically sound framework for understanding drought-induced population shifts and offers practical computational tools for ecological forecasting under climate change.

    Citation: Nouf Abdulrahman Alqahtani, Mohammadi Begum Jeelani. A neural network framework for simulating drought impacts on predator– prey dynamics[J]. AIMS Mathematics, 2026, 11(4): 12011-12042. doi: 10.3934/math.2026493

    Related Papers:

  • This study examines the influence of drought on predator–prey systems under the variable-order (VO) fractional derivative. It is applied to the wildebeest–lion system of the Serengeti. First, the well-posedness of the system is ensured by the existence, uniqueness, and Ulam–Hyers (UH) stability of the solution. A finite difference method is presented, coupled with a neural network (NN) approach for numerical validation. The numerical results show the effect of the VO fractional derivative and the intensity of the drought. The results demonstrate that a critical drought threshold exists for the drought impact parameter $ \gamma $, beyond which the healthy prey populations decline by over $ 90\% $ from 6643 when $ \gamma $ is 0.20 to 407 when $ \gamma $ is 0.40, and the risk of extinction is very high. As the fractional order decreases from 0.5, the ecological memory is increased, resulting in increased predator populations (from 4898 to 8974 when $ \gamma $ is 0.1) and the long-term effects of the drought. The VO framework produces qualitatively different dynamics than constant-order models, featuring time-dependent stability and attractor morphing, which makes it more suitable for modelling real-world ecological systems under climate stress. The NN approach also demonstrates excellent predictive capabilities, achieving $ R^2 = 1.0 $ and RMSE $ < 12 $ for all populations. These metrics validate our numerical scheme and provide a computationally efficient quick scenario analysis. The novelty of our analysis is the combination of a VO operator, finite difference method, and neural computing in a unified framework for analyzing nonlinear fractional ecological systems. This study provides a mathematically sound framework for understanding drought-induced population shifts and offers practical computational tools for ecological forecasting under climate change.



    加载中


    [1] I. Ahmad, Z. Ali, B. Khan, K. Shah, T. Abdeljawad, Exploring the dynamics of Gumboro-Salmonella co-infection with fractal fractional analysis, Alex. Eng. J., 117 (2025), 472–489. https://doi.org/10.1016/j.aej.2024.12.119 doi: 10.1016/j.aej.2024.12.119
    [2] H. Alrabaiah, I. Ahmad, R. Amin, K. Shah, A numerical method for fractional variable order pantograph differential equations based on Haar wavelet, Eng. Comput., 38 (2022), 2655–2668. http://doi.org/10.1007/s00366-020-01227-0 doi: 10.1007/s00366-020-01227-0
    [3] X. Q. Kong, R. Z. Yang, Dynamics analysis of a Filippov Lymantria dispar-Great tit model with double Allee effects and two-thresholds control, Math. Comput. Simulat., 246 (2026), 25–43. https://doi.org/10.1016/j.matcom.2026.01.028 doi: 10.1016/j.matcom.2026.01.028
    [4] Y. X. Ma, R. Z. Yang, Bifurcation analysis in a modified Leslie-Gower with nonlocal competition and Beddington-DeAngelis functional response, J. Appl. Anal. Comput., 15 (2025), 2152–2184. https://doi.org/10.11948/20240415 doi: 10.11948/20240415
    [5] F. Y. Zhu, R. Z. Yang, Bifurcation in a modified Leslie-Gower model with nonlocal competition and fear effect, Discrete Cont. Dyn.-B, 30 (2025), 2865–2893. https://doi.org/10.3934/dcdsb.2024195 doi: 10.3934/dcdsb.2024195
    [6] F. T. Wang, R. Z. Yang, X. Zhang, Turing patterns in a predator-prey model with double Allee effect, Math. Comput. Simulat., 220 (2024), 170–191. https://doi.org/10.1016/j.matcom.2024.01.015 doi: 10.1016/j.matcom.2024.01.015
    [7] R. Z. Yang, F. T. Wang, D. Jin, Spatially inhomogeneous bifurcating periodic solutions induced by nonlocal competition in a predator–prey system with additional food, Math. Method. Appl. Sci., 45 (2022), 9967–9978. https://doi.org/10.1002/mma.8349 doi: 10.1002/mma.8349
    [8] W. J. Li, L. T. Zhang, J. D. Cao, A note on Turing–Hopf bifurcation in a diffusive Leslie–Gower model with weak Allee effect on prey and fear effect on predator, Appl. Math. Lett., 172 (2026), 109741. https://doi.org/10.1016/j.aml.2025.109741 doi: 10.1016/j.aml.2025.109741
    [9] W. J. Li, L. A. Yang, L. H. Huang, J. D. Cao, Threshold dynamics analysis of a diffusive dengue disease transmission model, Commun. Nonlinear Sci., 152 (2025), 109247. https://doi.org/10.1016/j.cnsns.2025.109247 doi: 10.1016/j.cnsns.2025.109247
    [10] W. J. Li, L. T. Zhang, J. D. Cao, F. Xu, Z. W. Cai, Finite time attractivity and exponentially stable of a multi-stage epidemic system with discontinuous incidence, Qual. Theory Dyn. Syst., 24 (2025), 199. http://doi.org/10.1007/s12346-025-01358-z doi: 10.1007/s12346-025-01358-z
    [11] F. A. Rihan, Numerical modeling of fractional-order biological systems, Abstr. Appl. Anal., 2013 (2013), 816803. https://doi.org/10.1155/2013/816803 doi: 10.1155/2013/816803
    [12] F. A. Rihan, D. Baleanu, S. Lakshmanan, R. Rakkiyappan, On fractional SIRC model with salmonella bacterial infection, Abstr. Appl. Anal., 2014 (2014), 136263. https://doi.org/10.1155/2014/136263 doi: 10.1155/2014/136263
    [13] Z. J. Zhang, R. Z. Yang, Dynamics analysis of a Filippov ash infectious diseases model with a saturated incidence rate and delayed mortality, Math. Comput. Simulat., 241 (2026), 513–527. https://doi.org/10.1016/j.matcom.2025.09.014 doi: 10.1016/j.matcom.2025.09.014
    [14] P. J. Hanson, J. F. Weltzin, Drought disturbance from climate change: response of United States forests, Sci. Total Environ., 262 (2000), 205–220. https://doi.org/10.1016/S0048-9697(00)00523-4 doi: 10.1016/S0048-9697(00)00523-4
    [15] B. Chakraborty, N. Bairagi, Complexity in a prey-predator model with prey refuge and diffusion, Ecol. Complex., 37 (2019), 11–23. https://doi.org/10.1016/j.ecocom.2018.10.004 doi: 10.1016/j.ecocom.2018.10.004
    [16] C. Riginos, Climate and the landscape of fear in an African savanna, J. Anim. Ecol., 84 (2015), 124–133. https://doi.org/10.1111/1365-2656.12262 doi: 10.1111/1365-2656.12262
    [17] A. Morin, S. Chamaillé-Jammes, M. Valeix, Climate effects on prey vulnerability modify expectations of predator responses to short- and long-term climate fluctuations, Front. Ecol. Evol., 8 (2021), 601202. https://doi.org/10.3389/fevo.2020.601202 doi: 10.3389/fevo.2020.601202
    [18] R. Charles, O. D. Makinde, M. Kung'aro, A review of the mathematical models for the impact of seasonal weather variation and infections on prey predator interactions in Serengeti ecosystem, Open Journal of Ecology, 12 (2022), 718–732. http://doi.org/10.4236/oje.2022.1211041 doi: 10.4236/oje.2022.1211041
    [19] H. I. Freedman, P. Waltman, Persistence in models of three interacting predator-prey populations, Math. Biosci., 68 (1984), 213–231. https://doi.org/10.1016/0025-5564(84)90032-4 doi: 10.1016/0025-5564(84)90032-4
    [20] T. D. Sagamiko, N. Shaban, C. L. Nahonyo, O. D. Makinde, Optimal control of a threatened wildebeest-lion prey-predator system incorporating a constant prey refuge in the Serengeti ecosystem, Appl. Comput. Math., 4 (2015), 296–312. http://doi.org/10.11648/j.acm.20150404.18 doi: 10.11648/j.acm.20150404.18
    [21] K. Sujatha, M. Gunasekaran, Dynamics in a harvested prey-predator model with susceptible-infected-susceptible (SIS) epidemic disease in the prey, Advances in Applied Mathematical Biosciences, 7 (2016), 23–31.
    [22] T. A. S. Obaid, A. K. Hamoud, Predator-prey relationships system, International Journal of Computer Applications, 140 (2016), 42–44. http://doi.org/10.5120/ijca2016909310 doi: 10.5120/ijca2016909310
    [23] T. Abdeljawad, M. Sher, K. Shah, M. Sarwar, I. Amacha, M. Alqudah, et al., Analysis of a class of fractal hybrid fractional differential equation with application to a biological model, Sci. Rep., 14 (2024), 18937. http://doi.org/10.1038/s41598-024-67158-8 doi: 10.1038/s41598-024-67158-8
    [24] K. Shah, T. Abdeljawad, S. S. Aiady, M. Arfan, Study of variable order mathematical model by using algae as bio-fertilizers, J. Nonlinear Math. Phys., 32 (2025), 92. http://doi.org/10.1007/s44198-025-00331-3 doi: 10.1007/s44198-025-00331-3
    [25] X. Y. Li, H. X. Li, B. Y. Wu, A new numerical method for variable order fractional functional differential equations, Appl. Math. Lett., 68 (2017), 80–86. https://doi.org/10.1016/j.aml.2017.01.001 doi: 10.1016/j.aml.2017.01.001
    [26] H. G. Sun, A. L. Chang, Y. Zhang, W. Chen, A review on variable-order fractional differential equations: mathematical foundations, physical models, numerical methods and applications, Fract. Calc. Appl. Anal., 22 (2019), 27–59. http://doi.org/10.1515/fca-2019-0003 doi: 10.1515/fca-2019-0003
  • Reader Comments
  • © 2026 the Author(s), licensee AIMS Press. This is an open access article distributed under the terms of the Creative Commons Attribution License (http://creativecommons.org/licenses/by/4.0)
通讯作者: 陈斌, bchen63@163.com
  • 1. 

    沈阳化工大学材料科学与工程学院 沈阳 110142

  1. 本站搜索
  2. 百度学术搜索
  3. 万方数据库搜索
  4. CNKI搜索

Metrics

Article views(194) PDF downloads(9) Cited by(0)

Article outline

Figures and Tables

Figures(19)  /  Tables(10)

/

DownLoad:  Full-Size Img  PowerPoint
Return
Return

Catalog