Research article Special Issues

Incremental harmonic balance method based on asymptotic expansion and a trust-region strategy and application to strongly nonlinear systems

  • Published: 28 April 2026
  • MSC : 37M05, 37M15

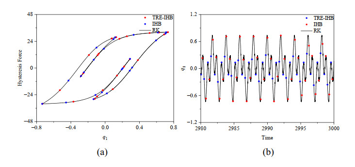
  • To address the narrow convergence basin and high sensitivity to initial guesses of the incremental harmonic balance method in the analysis of strongly nonlinear systems, this paper develops an enhanced approach that combines a trust region strategy with asymptotic expansion. In each incremental step, an artificial asymptotic parameter is introduced, and the nonlinear incremental equations are expanded into a series of linear recursive subproblems based on the Hessian matrix, enabling order-by-order decoupling of the response components. Furthermore, a trust region algorithm is employed as the inner solver to adaptively control the iteration step size, ensuring robustness and global convergence in solving each subproblem at each order. Numerical examples demonstrate that the proposed method preserves the accuracy of the traditional approach, while significantly widening the convergence basin, reducing dependence on initial guesses, and tracing the frequency response curve with fewer iterations and less computational time. The method, therefore, provides a semi-analytical framework with robust convergence and high computational efficiency for periodic response analysis of strongly nonlinear systems.

    Citation: Wentao Zhou, Zeliang Liu, Huijian Li. Incremental harmonic balance method based on asymptotic expansion and a trust-region strategy and application to strongly nonlinear systems[J]. AIMS Mathematics, 2026, 11(4): 11948-11976. doi: 10.3934/math.2026490

    Related Papers:

  • To address the narrow convergence basin and high sensitivity to initial guesses of the incremental harmonic balance method in the analysis of strongly nonlinear systems, this paper develops an enhanced approach that combines a trust region strategy with asymptotic expansion. In each incremental step, an artificial asymptotic parameter is introduced, and the nonlinear incremental equations are expanded into a series of linear recursive subproblems based on the Hessian matrix, enabling order-by-order decoupling of the response components. Furthermore, a trust region algorithm is employed as the inner solver to adaptively control the iteration step size, ensuring robustness and global convergence in solving each subproblem at each order. Numerical examples demonstrate that the proposed method preserves the accuracy of the traditional approach, while significantly widening the convergence basin, reducing dependence on initial guesses, and tracing the frequency response curve with fewer iterations and less computational time. The method, therefore, provides a semi-analytical framework with robust convergence and high computational efficiency for periodic response analysis of strongly nonlinear systems.



    加载中


    [1] J. Liu, F. Wang, Y. Yang, Study of nonlinear aerodynamic self-excited force in flutter bifurcation and limit cycle oscillation of long-span suspension bridge, Appl. Sci., 13 (2023), 10272. https://doi.org/10.3390/app131810272 doi: 10.3390/app131810272
    [2] H. Zhang, E. Wang, F. Min, N. Zhang, C. Su, S. Rakheja, Nonlinear dynamics analysis of the semiactive suspension system with magneto-rheological damper, Shock Vib., 2015 (2015), 971731. https://doi.org/10.1155/2015/971731 doi: 10.1155/2015/971731
    [3] B. Patel, P. Kundu, S. Chatterjee, Nonlinear feedback anti-control of limit cycle and chaos in a mechanical oscillator: Theory and experiment, Nonlinear Dyn., 104 (2021), 3223‒3246. https://doi.org/10.1007/s11071-021-06493-1 doi: 10.1007/s11071-021-06493-1
    [4] C. S. Liu, Y. W. Chen, A simplified Lindstedt-Poincare method for saving computational cost to determine higher order nonlinear free vibrations, Mathematics, 9 (2021), 3070. https://doi.org/10.3390/math9233070 doi: 10.3390/math9233070
    [5] P. Amore, A. Aranda, Improved Lindstedt-Poincare method for the solution of nonlinear problems, J. Sound Vib., 283 (2005), 1115‒1136. https://doi.org/10.1016/j.jsv.2004.06.009 doi: 10.1016/j.jsv.2004.06.009
    [6] A. Chakib, A. Hadri, A. Nachaoui, M. Nachaoui, Multiscale computational method for nonlinear heat transmission problem in periodic porous media, Appl. Numer. Math., 150 (2020), 164‒181. https://doi.org/10.1016/j.apnum.2019.09.015 doi: 10.1016/j.apnum.2019.09.015
    [7] H. Li, S. Wang, S. Liu, Z. Deng, J. Xu, Lateral-vertical coupled nonlinear vibration characteristics of HTS maglev based on multiscale method and experimental test, Mech. Syst. Signal Process., 240 (2025), 113449. https://doi.org/10.1016/j.ymssp.2025.113449 doi: 10.1016/j.ymssp.2025.113449
    [8] G. Ge, Z. Li, Q. Gao, J. Duan, A stochastic averaging method on the strongly nonlinear Duffing-Rayleigh oscillator under Gaussian colored noise excitation, J. Vibroeng., 18 (2016), 4766‒4775. https://doi.org/10.21595/jve.2016.17011 doi: 10.21595/jve.2016.17011
    [9] G. Ge, N. Xie, An approach dealing with inertia nonlinearity of a cantilever model subject to lateral basal Gaussian white noise excitation, Chaos Soliton Fract., 131 (2020), 109469. https://doi.org/10.1016/j.chaos.2019.109469 doi: 10.1016/j.chaos.2019.109469
    [10] M. Cai, W. F. Liu, J. K. Liu, Bifurcation and chaos of airfoil with multiple strong nonlinearities, Appl. Numer. Math., 34 (2013), 627‒636. https://doi.org/10.1007/s10483-013-1696-x doi: 10.1007/s10483-013-1696-x
    [11] T. Tuloup, R. W. Bomantara, J. Gong, Breakdown of quantization in nonlinear Thouless pumping, New J. Phys., 25 (2023), 083048. https://doi.org/10.1088/1367-2630/acef4d doi: 10.1088/1367-2630/acef4d
    [12] R. Kruse, Optimal error estimates of Galerkin finite element methods for stochastic partial differential equations with multiplicative noise, IMA J. Numer. Anal., 34 (2014), 217‒251. https://doi.org/10.1093/imanum/drs055 doi: 10.1093/imanum/drs055
    [13] J. Li, B. Wang, A finite element method for nonlinear and fully coupled transient hygrothermal transfer, Appl. Sci., 15 (2025), 7372. https://doi.org/10.3390/app15137372 doi: 10.3390/app15137372
    [14] Z. Liu, Y. Qiao, X. Cheng, Z. Huang, IBEM-FEM coupling method for full process nonlinear ground motion simulation of near-fault sedimentary basins, Soil Dyn. Earthq. Eng., 170 (2023), 107916. https://doi.org/10.1016/j.soildyn.2023.107916 doi: 10.1016/j.soildyn.2023.107916
    [15] V. P. Iu, Y. K. Cheung, S. L. Lau, Non-linear vibration analysis of multilayer besams by incremental finite elements, Part Ⅰ: Theory and numerical formulation, J. Sound Vib., 100 (1985), 359‒372. https://doi.org/10.1016/0022-460X(85)90292-5 doi: 10.1016/0022-460X(85)90292-5
    [16] J. L. Huang, B. X. Zhang, W. D. Zhu, Quasi-periodic solutions of a damped nonlinear quasi-periodic mathieu equation by the incremental harmonic balance method with two time scales, J. Appl. Mech., 89 (2022), 091009. https://doi.org/10.1115/1.4055086 doi: 10.1115/1.4055086
    [17] A. Hadji, N. Mureithi, Validation of friction model parameters identified using the IHB method using finite element method, Shock Vib., 2019 (2019), 3493052. https://doi.org/10.1155/2019/3493052 doi: 10.1155/2019/3493052
    [18] Z. Chang, L. Hou, R. Lin, Y. Jin, Y. Chen, A modified IHB method for nonlinear dynamic and thermal coupling analysis of rotor-bearing systems, Mech. Syst. Signal Process., 200 (2023), 110586. https://doi.org/10.1016/j.ymssp.2023.110586 doi: 10.1016/j.ymssp.2023.110586
    [19] Y. Cong, S. Jin, H. Kang, Dynamic analysis of a double-cable-stayed shallow arch model under multi-frequency excitation by IHB method, Int. J. Struct. Stab. Dyn., 25 (2025), 2550033. https://doi.org/10.1142/S0219455425500336 doi: 10.1142/S0219455425500336
    [20] X. Wu, R. Zhong, R. Wang, Q. Wang, A Chebyshev-IHB solution for nonlinear vibrations of laminated circular plates, Nonlinear Dyn., 113 (2025), 25787‒25800. https://doi.org/10.1007/s11071-025-11440-5 doi: 10.1007/s11071-025-11440-5
    [21] Z. Li, S. Zhou, H. Zhang, S. Zhou, Periodic solutions and bifurcations of a tristable flutter-based energy harvester, Aerosp. Sci. Technol., 144 (2024), 108815. https://doi.org/10.1016/j.ast.2023.108815 doi: 10.1016/j.ast.2023.108815
    [22] Q. Wu, Y. Wang, D. Cao, Nonlinear dynamic analysis of high aspect ratio wings via IHB method, Nonlinear Dyn., 113 (2025), 16225‒16244. https://doi.org/10.1007/s11071-025-10975-x doi: 10.1007/s11071-025-10975-x
    [23] W. Lu, F. Ge, X. Wu, Y. Hong, Nonlinear dynamics of a submerged floating moored structure by incremental harmonic balance method with FFT, Mar. Struct., 31 (2013), 63‒81. https://doi.org/10.1016/j.marstruc.2013.01.002 doi: 10.1016/j.marstruc.2013.01.002
    [24] X. F. Wang, W. D. Zhu, A modified incremental harmonic balance method based on the fast Fourier transform and Broyden's method, Nonlinear Dyn., 81 (2015), 981‒989. https://doi.org/10.1007/s11071-015-2045-x doi: 10.1007/s11071-015-2045-x
    [25] R. Ju, W. Fan, W. Zhu, An efficient Galerkin averaging-incremental harmonic balance method based on the fast fourier transform and tensor contraction, J. Vib. Acoust., 142 (2020), 061011. https://doi.org/10.1115/1.4047235 doi: 10.1115/1.4047235
    [26] Y. Hui, S. S. Law, W. Zhu, Efficient algorithm for the dynamic analysis of large civil structures with a small number of nonlinear components, Mech. Syst. Signal Process., 152 (2021), 107480. https://doi.org/10.1016/j.ymssp.2020.107480 doi: 10.1016/j.ymssp.2020.107480
    [27] Y. Chen, Y. Jin, R. Lin, Y. Jiang, X. Mei, L. Hou, et al., Harmonic balance-automatic differentiation method: A practical nonlinear dynamics solver, Int. J. Mech. Sci., 312 (2026), 111192. https://doi.org/10.1016/j.ijmecsci.2026.111192 doi: 10.1016/j.ijmecsci.2026.111192
    [28] Y. Chen, L. Hou, R. Lin, J. Song, T. Ng, Y. Chen, A harmonic balance method combined with dimension reduction and FFT for nonlinear dynamic simulation, Mech. Syst. Signal Process., 223 (2025), 111848. https://doi.org/10.1016/j.ymssp.2024.111848 doi: 10.1016/j.ymssp.2024.111848
    [29] Y. Chen, J. Liu, Improving convergence of incremental harmonic balance method using homotopy analysis method, Acta Mech. Sin., 25 (2009), 707‒712. https://doi.org/10.1007/s10409-009-0256-4 doi: 10.1007/s10409-009-0256-4
    [30] Z. C. Zheng, Z. R. Lu, Y. M. Chen, J. K. Liu, G. Liu, A modified incremental harmonic balance method combined with tikhonov regularization for periodic motion of nonlinear system, J. Appl. Mech., 89 (2022), 021001. https://doi.org/10.1115/1.4052573 doi: 10.1115/1.4052573
    [31] Y. L. Li, J. L. Huang, W. D. Zhu, An enhanced incremental harmonic balance method to improve the computational efficiency and convergence for systems with non-polynomial nonlinearities, Nonlinear Dyn., 113 (2025), 8265‒8294. https://doi.org/10.1007/s11071-024-10739-z doi: 10.1007/s11071-024-10739-z
    [32] H. Dai, Z. Yan, X. Wang, X. Yue, S. Atluri, Collocation-based harmonic balance framework for highly accurate periodic solution of nonlinear dynamical system, Int. J. Numer. Methods Eng., 124 (2023), 458‒481. https://doi.org/10.1002/nme.7128 doi: 10.1002/nme.7128
    [33] H. Dai, Q. Wang, Z. Yan, X. Yue, Reconstruction harmonic balance method and its application in solving complex nonlinear dynamical systems, Chin. J. Theor. Appl. Mech., 56 (2024), 212‒224. https://doi.org/10.6052/0459-1879-23-369 doi: 10.6052/0459-1879-23-369
    [34] P. Wu, J. Wang, C. Mao, Y. Zhao, Nonlinear random vibration analysis of bolted composite structure considering hysteresis effect, J. Vib. Shock, 43 (2024), 223‒230.
    [35] J. Huang, B. Zhang, S. Chen, Two generalized incremental harmonic balance methods with optimization for iteration step, Chin. J. Theor. Appl. Mech., 54 (2022), 1353‒1363. https://doi.org/10.6052/0459-1879-22-042 doi: 10.6052/0459-1879-22-042
    [36] S. Dou, An improved tensorial implementation of the incremental harmonic balance method for frequency-domain stability analysis, In: Advances in nonlinear dynamics, 2022,443‒452.
    [37] M. Xu, Q. Zhu, H. Xiao, An improved non-monotonic adaptive trust region algorithm for unconstrained optimization, Mathematics, 12 (2024), 3398. https://doi.org/10.3390/math12213398 doi: 10.3390/math12213398
    [38] Y. Dong, Z. Wang, X. Mao, M. Amabili, On the combined iteration scheme of harmonic balance-pseudo arclength-extrapolation method applied to the nonlinear systems with nonlinear damping and time delay, Nonlinear Dyn., 113 (2025), 20729‒20746. https://doi.org/10.1007/s11071-025-11284-z doi: 10.1007/s11071-025-11284-z
    [39] J. Huang, T. Wang, W. Zhu, An incremental harmonic balance method with two time-scales for quasi-periodic responses of a Van der Pol-Mathieu equation, Int. J. Non-Linear Mech., 135 (2021), 103767. https://doi.org/10.1016/j.ijnonlinmec.2021.103767 doi: 10.1016/j.ijnonlinmec.2021.103767
    [40] M. Ghayesh, M. Amabili, M. Païdoussis, Nonlinear dynamics of axially moving plates, J. Sound Vib., 332 (2013), 391‒406. https://doi.org/10.1016/j.jsv.2012.08.013 doi: 10.1016/j.jsv.2012.08.013
    [41] Y. Hui, S. S. Law, W. Zhu, Q. Yang, Extended IHB method for dynamic analysis of structures with geometrical and material nonlinearities, Eng. Struct., 205 (2020), 110084. https://doi.org/10.1016/j.engstruct.2019.110084 doi: 10.1016/j.engstruct.2019.110084
  • Reader Comments
  • © 2026 the Author(s), licensee AIMS Press. This is an open access article distributed under the terms of the Creative Commons Attribution License (http://creativecommons.org/licenses/by/4.0)
通讯作者: 陈斌, bchen63@163.com
  • 1. 

    沈阳化工大学材料科学与工程学院 沈阳 110142

  1. 本站搜索
  2. 百度学术搜索
  3. 万方数据库搜索
  4. CNKI搜索

Metrics

Article views(302) PDF downloads(32) Cited by(0)

Article outline

Figures and Tables

Figures(18)  /  Tables(2)

Other Articles By Authors

/

DownLoad:  Full-Size Img  PowerPoint
Return
Return

Catalog