Research article

The stability of predictor-corrector methods of Runge-Kutta type for uncertain differential equations

  • Published: 27 April 2026
  • MSC : 34D20, 65L20

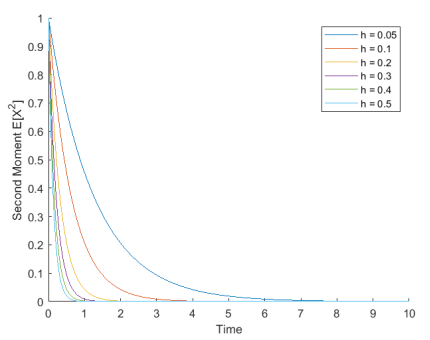
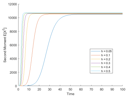
  • This paper studies the asymptotically mean-square stability of a Runge–Kutta type predictor–corrector numerical scheme for uncertain differential equations. The method consists of a fourth-order Runge–Kutta predictor coupled with a one-step implicit correction, which leads to a fully discrete scheme for the associated $ \alpha $-path equations. For a linear test equation driven by a Liu process, the corresponding growth factor of the numerical solution is derived. By employing vectorization techniques and Kronecker product representations, a recursive relation is established for the second-moment matrix of the numerical solution. It is shown that the asymptotically mean-square stability of the proposed scheme is equivalent to a necessary and sufficient condition on the modulus of the growth factor. Numerical examples are provided to illustrate the theoretical results and to demonstrate the influence of the step size on the stability.

    Citation: Qiaohong Liu, Zhi Li, Liping Xu. The stability of predictor-corrector methods of Runge-Kutta type for uncertain differential equations[J]. AIMS Mathematics, 2026, 11(4): 11617-11633. doi: 10.3934/math.2026479

    Related Papers:

  • This paper studies the asymptotically mean-square stability of a Runge–Kutta type predictor–corrector numerical scheme for uncertain differential equations. The method consists of a fourth-order Runge–Kutta predictor coupled with a one-step implicit correction, which leads to a fully discrete scheme for the associated $ \alpha $-path equations. For a linear test equation driven by a Liu process, the corresponding growth factor of the numerical solution is derived. By employing vectorization techniques and Kronecker product representations, a recursive relation is established for the second-moment matrix of the numerical solution. It is shown that the asymptotically mean-square stability of the proposed scheme is equivalent to a necessary and sufficient condition on the modulus of the growth factor. Numerical examples are provided to illustrate the theoretical results and to demonstrate the influence of the step size on the stability.



    加载中


    [1] B. Liu, Uncertainty theory, Berlin, Heidelberg: Springer, 2015. https://doi.org/10.1007/978-3-662-44354-5
    [2] B. Liu, Fuzzy process, hybrid process and uncertain process, J. Uncertain Syst., 2 (2008), 3–16.
    [3] X. Chen, B. Liu, Existence and uniqueness theorem for uncertain differential equations, Fuzzy Optim. Decis. Making, 9 (2010), 69–81. https://doi.org/10.1007/s10700-010-9073-2 doi: 10.1007/s10700-010-9073-2
    [4] X. Yang, Y. Shen, Runge–Kutta method for solving uncertain differential equations, J. Uncertain Anal. Appl., 3 (2015), 17. https://doi.org/10.1186/s40467-015-0038-4 doi: 10.1186/s40467-015-0038-4
    [5] B. Liu, Some research problems in uncertainty theory, J. Uncertain Syst., 3 (2009), 3–10.
    [6] Y. Sheng, C. Wang, Stability in p-th moment for uncertain differential equation, J. Intell. Fuzzy Syst., 26 (2014), 1263–1271.
    [7] H. Liu, H. Ke, W. Fei, Almost sure stability for uncertain differential equation, Fuzzy Optim. Decis. Making, 13 (2014), 463–473. https://doi.org/10.1007/s10700-014-9188-y doi: 10.1007/s10700-014-9188-y
    [8] K. Yao, H. Ke, Y. Sheng, Stability in mean for uncertain differential equation, Fuzzy Optim. Decis. Making, 14 (2015), 365–379. https://doi.org/10.1007/s10700-014-9204-2 doi: 10.1007/s10700-014-9204-2
    [9] Y. Sheng, J. Gao, Exponential stability of uncertain differential equation, Soft Comput., 20 (2016), 3673–3678. https://doi.org/10.1007/s00500-015-1727-0 doi: 10.1007/s00500-015-1727-0
    [10] L. Jia, Y. Sheng, Stability in distribution for uncertain delay differential equation, Appl. Math. Comput., 343 (2019), 49–56. https://doi.org/10.1016/j.amc.2018.09.037 doi: 10.1016/j.amc.2018.09.037
    [11] N. Tao, Y. Zhu, Attractivity and stability analysis of uncertain differential systems, Int. J. Bifurcat. Chaos, 25 (2015), 1550022. https://doi.org/10.1142/s0218127415500224 doi: 10.1142/s0218127415500224
    [12] S. Peng, Z. Li, J. Zhang, Y. Zhu, L. Xu, Stability for Caputo–Hadamard fractional uncertain differential equation, Fractal Fract., 10 (2026), 50. https://doi.org/10.3390/fractalfract10010050 doi: 10.3390/fractalfract10010050
    [13] K. Yao, X. Chen, A numerical method for solving uncertain differential equations, J. Intell. Fuzzy Syst., 25 (2013), 825–832.
    [14] Y. Liu, An analytic method for solving uncertain differential equations, J. Uncertain Syst., 6 (2012), 244–249.
    [15] K. Yao, Extreme values and integral of solution of uncertain differential equation, J. Uncertain Anal. Appl., 1 (2013), 2. https://doi.org/10.1186/2195-5468-1-2 doi: 10.1186/2195-5468-1-2
    [16] K. Yao, No-arbitrage determinant theorems on mean-reverting stock model in uncertain market, Knowl.-Based Syst., 35 (2012), 259–263. https://doi.org/10.1016/j.knosys.2012.05.008 doi: 10.1016/j.knosys.2012.05.008
    [17] J. Peng, K. Yao, A new option pricing model for stocks in uncertainty markets, Int. J. Oper. Res., 8 (2011), 18–26.
    [18] Y. Sun, T. Su, Mean-reverting stock model with floating interest rate in uncertain environment, Fuzzy Optim. Decis. Making, 16 (2017), 235–255. https://doi.org/10.1007/s10700-016-9247-7 doi: 10.1007/s10700-016-9247-7
    [19] Y. Zhu, Uncertain optimal control with application to a portfolio selection model, Cybern. Syst., 41 (2010), 535–547. https://doi.org/10.1080/01969722.2010.511552 doi: 10.1080/01969722.2010.511552
    [20] X. Yang, J. Gao, Uncertain differential games with application to capitalism, J. Uncertain Anal. Appl., 1 (2013), 17. https://doi.org/10.1186/2195-5468-1-17 doi: 10.1186/2195-5468-1-17
    [21] Y. Chen, A. Xiao, W. Wang, Numerical solutions of SDEs with Markovian switching and jumps under non-Lipschitz conditions, J. Comput. Appl. Math., 360 (2019), 41–54. https://doi.org/10.1016/j.cam.2019.03.035 doi: 10.1016/j.cam.2019.03.035
    [22] B. Izgi, C. Cetin, Semi-implicit split-step numerical methods for a class of nonlinear stochastic differential equations with non-Lipschitz drift terms, J. Comput. Appl. Math., 343 (2018), 62–79. https://doi.org/10.1016/j.cam.2018.03.027 doi: 10.1016/j.cam.2018.03.027
    [23] Y. Komori, A. Eremin, K. Burrage, S-ROCK methods for stochastic delay differential equations with one fixed delay, J. Comput. Appl. Math., 353 (2019), 345–354. https://doi.org/10.1016/j.cam.2018.12.042 doi: 10.1016/j.cam.2018.12.042
    [24] G. Lan, F. Xia, Q. Wang, Polynomial stability of exact solution and a numerical method for stochastic differential equations with time-dependent delay, J. Comput. Appl. Math., 346 (2019), 340–356. https://doi.org/10.1016/j.cam.2018.07.024 doi: 10.1016/j.cam.2018.07.024
    [25] X. Mao, C. Yuan, G. Yin, Numerical method for stationary distribution of stochastic differential equations with Markovian switching, J. Comput. Appl. Math., 174 (2005), 1–27. https://doi.org/10.1016/j.cam.2004.03.016 doi: 10.1016/j.cam.2004.03.016
    [26] F. Mirzaee, S. Alipour, Cubic B-spline approximation for linear stochastic integro-differential equation of fractional order, J. Comput. Appl. Math., 366 (2020), 112440. https://doi.org/10.1016/j.cam.2019.112440 doi: 10.1016/j.cam.2019.112440
    [27] X. Yang, D. A. Ralescu, Adams method for solving uncertain differential equations, Appl. Math. Comput., 270 (2015), 993–1003. https://doi.org/10.1016/j.amc.2015.08.109 doi: 10.1016/j.amc.2015.08.109
    [28] R. Gao, Milne method for solving uncertain differential equations, Appl. Math. Comput., 274 (2016), 774–785. https://doi.org/10.1016/j.amc.2015.11.043 doi: 10.1016/j.amc.2015.11.043
    [29] X. Wang, Y. Ning, T. A. Moughal, X. Chen, Adams–Simpson method for solving uncertain differential equation, Appl. Math. Comput., 271 (2015), 209–219. https://doi.org/10.1016/j.amc.2015.09.009 doi: 10.1016/j.amc.2015.09.009
    [30] Y. Zhang, J. Gao, Z. Huang, Hamming method for solving uncertain differential equations, Appl. Math. Comput., 313 (2017), 331–341. https://doi.org/10.1016/j.amc.2017.05.080 doi: 10.1016/j.amc.2017.05.080
    [31] K. Yao, J. Gao, Y. Gao, Some stability theorems of uncertain differential equation, Fuzzy Optim. Decis. Making, 12 (2013), 3–13. https://doi.org/10.1007/s10700-012-9139-4 doi: 10.1007/s10700-012-9139-4
  • Reader Comments
  • © 2026 the Author(s), licensee AIMS Press. This is an open access article distributed under the terms of the Creative Commons Attribution License (http://creativecommons.org/licenses/by/4.0)
通讯作者: 陈斌, bchen63@163.com
  • 1. 

    沈阳化工大学材料科学与工程学院 沈阳 110142

  1. 本站搜索
  2. 百度学术搜索
  3. 万方数据库搜索
  4. CNKI搜索

Metrics

Article views(252) PDF downloads(16) Cited by(0)

Article outline

Figures and Tables

Figures(2)

Other Articles By Authors

/

DownLoad:  Full-Size Img  PowerPoint
Return
Return

Catalog