Research article Special Issues

Fox H-function representations of temperature and displacement fields in unbounded domains with anomalous decelerating thermal conduction

  • Published: 24 April 2026
  • MSC : 34A08, 35B40, 74B05, 80A20

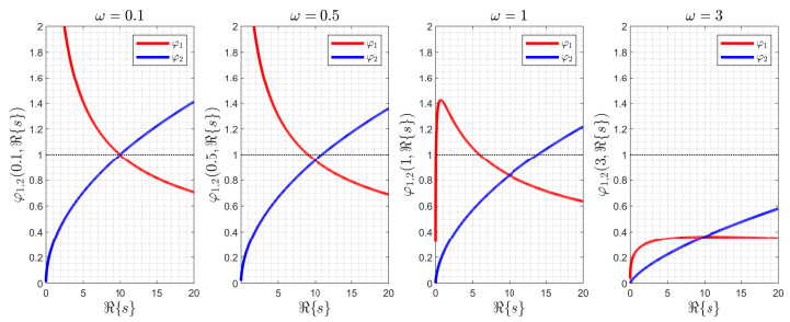
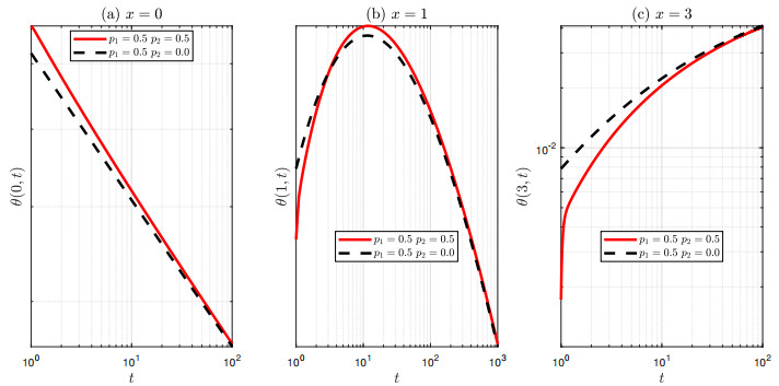
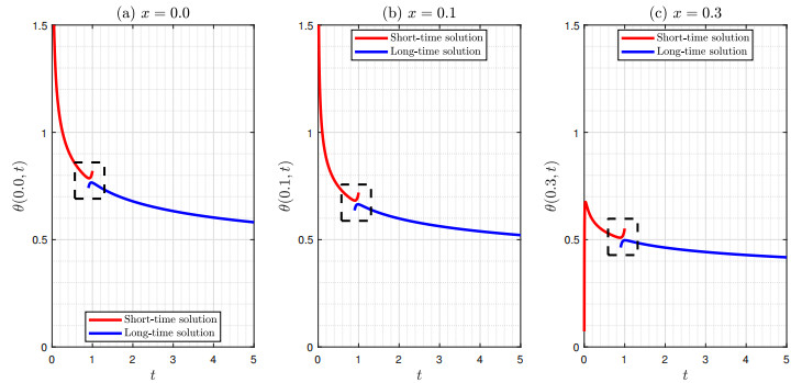
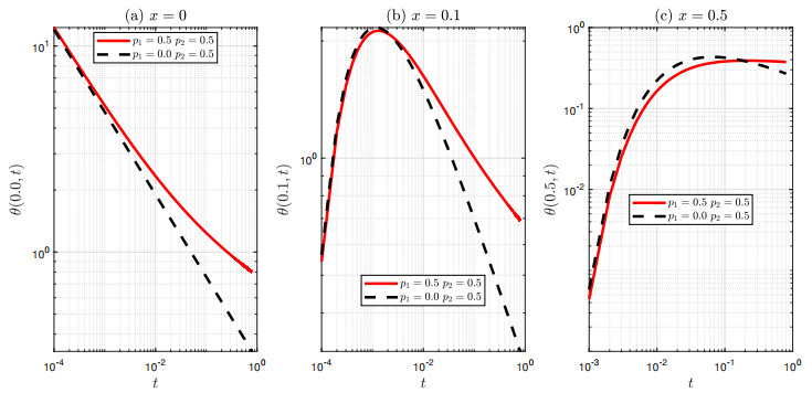
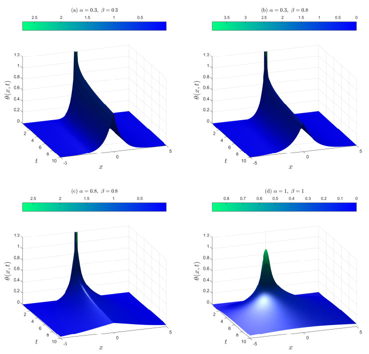
  • Recent advances in fractional calculus have highlighted the role of distributed-order operators in modeling anomalous diffusion processes, particularly through bi-fractional diffusion equations of the natural type. In this work, we introduce a distributed-order fractional integral formulation that leads to a generalized bi-fractional Fourier law involving two Riemann–Liouville fractional integrals. The proposed constitutive relation captures a class of anomalous heat conduction characterized by decelerating thermal transport, wherein the effective thermal conductivity is relatively large in the short-time regime and diminishes in the long-time regime. For a quasi-static thermoelastic problem in an unbounded domain, exact analytical solutions for the temperature and displacement fields are derived and expressed in terms of the Fox H-function. Within the quasi-static framework, it is rigorously shown that the appropriate zero initial condition must be imposed on the normal stress rather than on the volumetric strain. A damped cosinusoidal boundary condition at infinity is incorporated and is shown to affect the elastic response due to the infinite propagation speed of mechanical disturbances under the quasi-static assumption. The coupled thermo-mechanical analysis reveals that thermal and mechanical fields exhibit analogous transitional behavior: Decelerating thermal conduction induces a corresponding retardation in the deformation of the medium.

    Citation: Emad Awad, A. R. El-Dhaba. Fox H-function representations of temperature and displacement fields in unbounded domains with anomalous decelerating thermal conduction[J]. AIMS Mathematics, 2026, 11(4): 11489-11519. doi: 10.3934/math.2026473

    Related Papers:

  • Recent advances in fractional calculus have highlighted the role of distributed-order operators in modeling anomalous diffusion processes, particularly through bi-fractional diffusion equations of the natural type. In this work, we introduce a distributed-order fractional integral formulation that leads to a generalized bi-fractional Fourier law involving two Riemann–Liouville fractional integrals. The proposed constitutive relation captures a class of anomalous heat conduction characterized by decelerating thermal transport, wherein the effective thermal conductivity is relatively large in the short-time regime and diminishes in the long-time regime. For a quasi-static thermoelastic problem in an unbounded domain, exact analytical solutions for the temperature and displacement fields are derived and expressed in terms of the Fox H-function. Within the quasi-static framework, it is rigorously shown that the appropriate zero initial condition must be imposed on the normal stress rather than on the volumetric strain. A damped cosinusoidal boundary condition at infinity is incorporated and is shown to affect the elastic response due to the infinite propagation speed of mechanical disturbances under the quasi-static assumption. The coupled thermo-mechanical analysis reveals that thermal and mechanical fields exhibit analogous transitional behavior: Decelerating thermal conduction induces a corresponding retardation in the deformation of the medium.



    加载中


    [1] T. Q. Qiu, C. L. Tien, Heat transfer mechanisms during short-pulse laser heating of metals, ASME J. Heat Transfer, 115 (1993), 835–841.
    [2] Z. M. Zhang, Nano/microscale heat transfer, New York: McGraw- Hill, 2007.
    [3] E. Awad, W. Dai, S. Sobolev, Thermal oscillations and resonance in electron–phonon interaction process, Z. Angew. Math. Phys., 75 (2024), 143. https://doi.org/10.1007/s00033-024-02277-w doi: 10.1007/s00033-024-02277-w
    [4] R. Berman, D. K. C. Macdonald, The thermal and electrical conductivity of sodium at low temperatures, Proc R Soc (London) A, 209 (1951), 368–375.
    [5] J. Hulm, Anomalous thermal conductivity of pure metals at low temperatures, Proceedings of the Physical Society. Section A, 65 (1952), 227.
    [6] G. Busch, M. Schneider, Heat conduction in semiconductors, Physica, 20 (1954), 1084–1086.
    [7] P. Price, Cxxxv. ambipolar thermodiffusion of electrons and holes in semiconductors, London Edinburgh Philos. Mag. J. Sci., 46 (1955), 1252–1260.
    [8] S. Lepri, R. Livi, A. Politi, On the anomalous thermal conductivity of one-dimensional lattices, Eur. Lett., 43 (1998), 271.
    [9] B. Li, J. Wang, Anomalous heat conduction and anomalous diffusion in one-dimensional systems, Phys. Rev. Lett., 91 (2003), 044301.
    [10] V. Lee, C.-H. Wu, Z.-X. Lou, W.-L. Lee, C.-W. Chang, Divergent and ultrahigh thermal conductivity in millimeter-long nanotubes, Phys. Rev. Lett., 118 (2017), 135901.
    [11] J. S. Kang, M. Li, H. Wu, H. Nguyen, Y. Hu, Experimental observation of high thermal conductivity in boron arsenide, Science, 361 (2018), 575–578.
    [12] W. Lin, J. He, X. Su, X. Zhang, Y. Xia, T. P. Bailey, et al., Ultralow thermal conductivity, multiband electronic structure and high thermoelectric figure of merit in tlcuse, Adv. Mater., 33 (2021), 2104908.
    [13] S. Guo, S. Chen, A. Nkansah, A. Zehri, M. Murugesan, Y. Zhang, et al., Toward ultrahigh thermal conductivity graphene films, 2D Mater., 10 (2022), 014002.
    [14] D. Li, Y. Wu, P. Kim, L. Shi, P. Yang, A. Majumdar, Thermal conductivity of individual silicon nanowires, Appl. Phys. Lett., 83 (2003), 2934–2936.
    [15] R. Metzler, J. Klafter, The random walk's guide to anomalous diffusion: A fractional dynamics approach, Phys. Rep., 339 (2000), 1–77.
    [16] J. Klafter, S. Lim, R. Metzler, Fractional dynamics: recent advances, World Scientific, 2012.
    [17] W. Schneider, W. Wyss, Fractional diffusion and wave equations, J. Math. Phys., 30 (1989), 134–144.
    [18] A. Chechkin, R. Gorenflo, I. Sokolov, Retarding subdiffusion and accelerating superdiffusion governed by distributed-order fractional diffusion equations, Phys. Rev. E, 66 (2002), 046129.
    [19] I. Sokolov, A. Chechkin, J. Klafter, Distributed-order fractional kinetics, Acta Phys. Pol. B, 35 (2004), 1323.
    [20] E. Awad, T. Sandev, R. Metzler, A. Chechkin, Closed-form multi-dimensional solutions and asymptotic behaviors for subdiffusive processes with crossovers: Ⅰ. retarding case, Chaos, Solitons Fractals, 152C (2021), 111357.
    [21] E. Awad, R. Metzler, Closed-form multi-dimensional solutions and asymptotic behaviours for subdiffusive processes with crossovers: Ii. accelerating case, J. Phys.A: Math. Gen., 55 (2022), 205003.
    [22] F. Mainardi, A. Mura, R. Gorenflo, M. Stojanović, The two forms of fractional relaxation of distributed order, J. Vib. Control, 13 (2007), 1249–1268.
    [23] F. Mainardi, G. Pagnini, The role of the fox–wright functions in fractional sub-diffusion of distributed order, J. Comput. Appl. Math., 207 (2007), 245–257.
    [24] F. Mainardi, A. Mura, G. Pagnini, R. Gorenflo, Time-fractional diffusion of distributed order, J. Vib. Control, 14 (2008), 1267–1290.
    [25] E. Bazhlekova, I. Bazhlekov, Transition from diffusion to wave propagation in fractional jeffreys-type heat conduction equation, Fractal Fractional, 4 (2020), 32.
    [26] C.-c. Ji, W. Dai, Z.-z. Sun, Numerical method for solving the time-fractional dual-phase-lagging heat conduction equation with the temperature-jump boundary condition, J. Sci. Comput., 75 (2018), 1307–1336, https://doi.org/10.1007/s10915-017-0588-3 doi: 10.1007/s10915-017-0588-3
    [27] C.-c. Ji, W. Dai, Z.-z. Sun, Numerical schemes for solving the time-fractional dual-phase-lagging heat conduction model in a double-layered nanoscale thin film, J. Sci. Comput., 81 (2019), 1767–1800. https://doi.org/10.1007/s10915-019-01062-6 doi: 10.1007/s10915-019-01062-6
    [28] C.-c. Ji, W. Dai, Sub-diffusion two-temperature model and accurate numerical scheme for heat conduction induced by ultrashort-pulsed laser heating, Fractal Fractional, 7 (2023), 319.
    [29] A. Compte, R. Metzler, The generalized cattaneo equation for the description of anomalous transport processes, J. Phys. A: Math. Gen., 30 (1997), 7277.
    [30] E. Awad, On the time-fractional cattaneo equation of distributed order, Phys. A: Stat. Mech. Appl., 518 (2019), 210–233.
    [31] E. Awad, A. A. El-Bary, W. Dai, Linear damped oscillations underlying the fractional jeffreys equation, Fractal Fract, 9 (2025), 556. https://doi.org/10.3390/fractalfract9090556 doi: 10.3390/fractalfract9090556
    [32] M. A. Biot, Thermoelasticity and irreversible thermodynamics, J. Appl Phys, 27 (1956), 240–253.
    [33] J. Ignaczak, M. Ostoja-Starzewski, Thermoelasticity with Finite Wave Speeds, New York: Oxford University Press, 2010.
    [34] M. Abou-Dina, A. El Dhaba, A. Ghaleb, E. Rawy, A model of nonlinear thermo-electroelasticity in extended thermodynamics, Int. J. Eng. Sci., 119 (2017), 29–39.
    [35] W. Mahmoud, M. S. Abou-Dina, A. R. El Dhaba, A. F. Ghaleb, E. K. Rawy, A One-Dimensional Problem of Nonlinear Thermo-Electroelasticity with Thermal Relaxation, Cham: Springer International Publishing, 2018,505–516.
    [36] D. Y. Tzou, Macro-to microscale heat transfer: The lagging behavior, 2 Eds., John Wiley & Sons, 2014.
    [37] Y. Z. Povstenko, Fractional heat conduction equation and associated thermal stress, J. Therm. Stresses, 28 (2005), 83–102.
    [38] H. H. Sherief, A. M. A. El-Sayed, A. M. Abd El-Latief, Fractional order theory of thermoelasticity, Int. J. Solids Struct., 47 (2010), 269–275.
    [39] H. M. Youssef, Theory of fractional order generalized thermoelasticity, J. Heat Transfer, 132 (2010), 1–7.
    [40] M. A. Ezzat, A. S. El Karamany, Theory of fractional order in electro-thermoelasticity, Eur. J. Mech., A/Solids, 30 (2011), 491–500.
    [41] Y. Povstenko, Fractional cattaneo-type equations and generalized thermoelasticity, J. Thermal Stresses, 34 (2011), 97–114.
    [42] E. Awad, On the generalized thermal lagging behavior: Refined aspects, J. Thermal Stresses, 35 (2012), 293–325.
    [43] Y. Z. Povstenko, Fractional thermoelasticity, 2 Eds., Cham: Springer, 2024.
    [44] E. Awad, N. Samir, A closed-form solution for thermally induced affine deformation in unbounded domains with a temporally accelerated anomalous thermal conductivity, J. Phys. A: Math. Theor., 57 (2024), 455202.
    [45] E. Awad, A. A. El-Bary, H. M. Youssef, Anomalous thermal stresses induced in an infinitely long circular cylinder with accelerated thermal conductivity, Int. Commun. Heat Mass Transfer, 167 (2025), 109297.
    [46] E. Awad, A. A. El-Bary, N. Samir, H. M. Youssef, Numerical and exact solutions to the deformations of unbounded domains induced by time-accelerated thermal conduction and electromagnetic induction, Z. Angew. Math. Mech., 105 (2025), e70161. https://doi.org/10.1002/zamm.70161 doi: 10.1002/zamm.70161
    [47] A. Youssef, N. Amein, N. Abdelrahman, M. Abou-Dina, A. Ghaleb, Nonlinear rayleigh wave propagation in a layered half-space in dual-phase-lag, Sci. Rep., 13 (2023), 2187.
    [48] H. Sherief, A. M. Abd El-Latief, Effect of variable thermal conductivity on a half-space under the fractional order theory of thermoelasticity, Int. J. Mech. Sci., 74 (2013), 185–189.
    [49] A. A. Kilbas, H. M. Srivastava, J. J. Trujillo, Theory and Applications of Fractional Differential Equations, Amsterdam: Elsevier, 2006.
    [50] D. E. Carlson, Linear Thermoelasticity, In: Linear Theories of Elasticity and Thermoelasticity, Berlin, Heidelberg: Springer, 1973. http://doi.org/10.1007/978-3-662-39776-3_2
    [51] E. Awad, R. Metzler, Crossover dynamics from superdiffusion to subdiffusion: Models and solutions, Fractional Calculus Appl. Anal., 23 (2020), 55–102. https://doi.org/10.1515/fca-2020-0003 doi: 10.1515/fca-2020-0003
    [52] R. L. Schilling, R. Song, Z. Vondracek, Bernstein functions: Theory and applications, Berlin/Boston: De Gruyter, 2012.
    [53] R. Gorenflo, Y. Luchko, M. Stojanović, Fundamental solution of a distributed order time-fractional diffusion-wave equation as probability density, Fractional Calculus Appl. Anal., 16 (2013), 297–316.
    [54] T. Sandev, A. V. Chechkin, N. Korabel, H. Kantz, I. M. Sokolov, R. Metzler, Distributed-order diffusion equations and multifractality: Models and solutions, Phys. Rev. E, 92 (2015), 042117.
    [55] E. Awad, A. R. El-Dhaba, The role of fractional calculus in modeling vibrations of a timoshenko beam influenced by low and high thermal conduction, Eur. J. Mech.-A/Solids, 118 (2026), 106100.
    [56] E. Awad, Asymptotic analysis for cauchy stresses in a semi-infinite space with anomalous thermal conduction, Fractional Calculus Appl. Anal., 2026. https://doi.org/10.1007/s13540-026-00507-8
    [57] R. Garra, R. Garrappa, The prabhakar or three parameter mittag–leffler function: Theory and application, Commun. Nonlinear Sci. Numer. Simul., 56 (2018), 314–329.
    [58] E. Bazhlekova, Completely monotone multinomial mittag-leffler type functions and diffusion equations with multiple time-derivatives, Fractional Calculus Appl. Anal., 24 (2021), 88–111.
    [59] A. M. Mathai, R. K. Saxena, H. J. Haubold, The H-function: Theory and applications, Berlin: Springer, 2010.
  • Reader Comments
  • © 2026 the Author(s), licensee AIMS Press. This is an open access article distributed under the terms of the Creative Commons Attribution License (http://creativecommons.org/licenses/by/4.0)
通讯作者: 陈斌, bchen63@163.com
  • 1. 

    沈阳化工大学材料科学与工程学院 沈阳 110142

  1. 本站搜索
  2. 百度学术搜索
  3. 万方数据库搜索
  4. CNKI搜索

Metrics

Article views(271) PDF downloads(28) Cited by(0)

Article outline

Figures and Tables

Figures(11)

Other Articles By Authors

/

DownLoad:  Full-Size Img  PowerPoint
Return
Return

Catalog