Research article Special Issues

An extended $ \frac{G'}{G} $-expansion method for the conformable space-time fractional Newell-Whitehead-Segel equation: Exact traveling-wave solutions and regularity features

  • Published: 22 April 2026
  • MSC : 35C07, 35G25, 35G60, 35K10, 35K55, 35R11

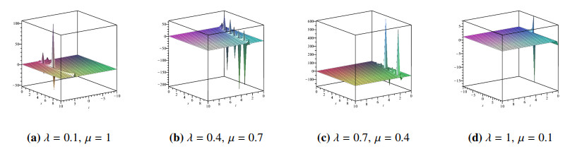
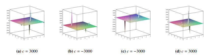
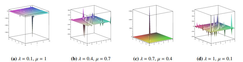
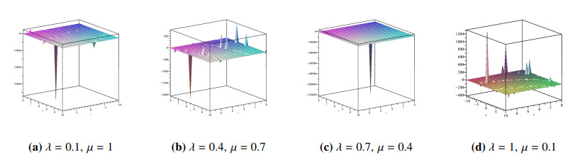
  • This paper employed an extended $ \frac{G'}{G} $-expansion method to investigate the conformal fractional Newell-Whitehead-Segel equation. By applying a traveling-wave transformation, we derive three types of analytical solutions that describe this fractional equation, thereby providing a useful theoretical foundation and intuitive interpretation for understanding its dynamical behavior. Analysis of the obtained solutions revealed that when both spatiotemporal orders approach $ 1 $, the regularity of the solutions becomes highly complex in a specific region. However, when one of the parameters $ {\lambda} $ or $ \mu $ is taken as $ 1 $ and the other as $ 0 $, the regularity region is significantly improved. Furthermore, the comparison showed that the regularity becomes worse as $ \frac{{\lambda}+\mu}{2} $ increases. The corresponding contour plots serve as a clear supplement to the complex variations in regularity. We also considered the influence of the parameter $ k $ on the solutions: larger values of $ k $ lead to more singularities in the solutions and increase the likelihood of blow-up, while smaller values of $ k $ reduce singularities and promote the global existence of the solutions.

    Citation: Chunyan Zhao, Jie Wu, Zheng Yang. An extended $ \frac{G'}{G} $-expansion method for the conformable space-time fractional Newell-Whitehead-Segel equation: Exact traveling-wave solutions and regularity features[J]. AIMS Mathematics, 2026, 11(4): 11347-11371. doi: 10.3934/math.2026467

    Related Papers:

  • This paper employed an extended $ \frac{G'}{G} $-expansion method to investigate the conformal fractional Newell-Whitehead-Segel equation. By applying a traveling-wave transformation, we derive three types of analytical solutions that describe this fractional equation, thereby providing a useful theoretical foundation and intuitive interpretation for understanding its dynamical behavior. Analysis of the obtained solutions revealed that when both spatiotemporal orders approach $ 1 $, the regularity of the solutions becomes highly complex in a specific region. However, when one of the parameters $ {\lambda} $ or $ \mu $ is taken as $ 1 $ and the other as $ 0 $, the regularity region is significantly improved. Furthermore, the comparison showed that the regularity becomes worse as $ \frac{{\lambda}+\mu}{2} $ increases. The corresponding contour plots serve as a clear supplement to the complex variations in regularity. We also considered the influence of the parameter $ k $ on the solutions: larger values of $ k $ lead to more singularities in the solutions and increase the likelihood of blow-up, while smaller values of $ k $ reduce singularities and promote the global existence of the solutions.



    加载中


    [1] M. Abdalla, Z. Liu, H. Hammad, Existence and stability analysis of impusive Caputo fractional delay systems, Bound. Value Probl., 2026 (2026), 32. https://doi.org/10.1186/s13661-025-02214-4 doi: 10.1186/s13661-025-02214-4
    [2] I. Ahmad, R. Jan, N. Razak, A. Khab, T. Abdeljawad, Numerical investigation of the dynamical behavior of Hepatitis B virus via Caputo-Fabrizio fractional derivative, Eur. J. Pure Appl. Math., 18 (2025), 5509. https://doi.org/10.29020/nybg.ejpam.v18i1.5509 doi: 10.29020/nybg.ejpam.v18i1.5509
    [3] M. Alaroud A comparative analysis using the Laplace transform approach for some nonlinear fractional physical problems, Part. Differ. Equ. Appl. Math., 15 (2025), 101253. https://doi.org/10.1016/j.padiff.2025.101253 doi: 10.1016/j.padiff.2025.101253
    [4] R. Ali, Z. Zhang, H. Ahmad, M. Alam, The analytical study of soliton dynamics in fractional coupled Higgs system using the generalized Khater method, OPt. Quant. Electron., 56 (2024), 1067. https://doi.org/10.1007/s11082-024-06924-4 doi: 10.1007/s11082-024-06924-4
    [5] Y. Alruwaily, R. Alzahrani, F. Alshahrani, B. Meftah, Parametric inequalities for $s$-convex stochastic processes via Caputo fractional derivatives, Axioms, 15 (2026), 147. https://doi.org/10.3390/axioms15020147 doi: 10.3390/axioms15020147
    [6] A. Ambrosetti, P. Rabinowitz, Dual variational methods in critical point theory and applications, J. Funct. Anal., 14 (1973), 349–381. https://doi.org/10.1016/0022-1236(73)90051-7 doi: 10.1016/0022-1236(73)90051-7
    [7] A. Anben, I. Jebril, Z. Dahmani, N. Bedjaoui, A. Lamamri, The Tanh method and the $\frac{G'}{G}$-expansion method for solving the space-time conformable FZK and FZZ evolution equations, Int. J. Innov. Comput. I., 20 (2024), 557–573. https://doi.org/10.24507/ijicic.20.02.557 doi: 10.24507/ijicic.20.02.557
    [8] A. Al-Mamun, S. Ananna, P. Protim, T. An, The improved modified extended tanh-function method to develop the exact traveling wave solutions of a family of 3D fractional WBBM equations, Results Phys., 41 (2022), 105969. https://doi.org/10.1016/j.rinp.2022.105969 doi: 10.1016/j.rinp.2022.105969
    [9] U. Bas, A. Akkurt, A. Has, H. Yildirim, Multiplicative Riemann-Liouville fractional integrals and derivatives, Chaos Solition. Fract., 196 (2025), 116310. https://doi.org/10.1016/j.chaos.2025.116310 doi: 10.1016/j.chaos.2025.116310
    [10] D. Booth, J. Burkart, X. Cao, et al., A differential harnack inequality for the Newell-Whitehead-Segel equation, Anal. Theory Appl., 35 (2019), 192–204. https://doi.org/10.4208/ata.OA-0005 doi: 10.4208/ata.OA-0005
    [11] R. Chauhan, Analyzing the memory-based transmission dynamics of Coffee Berry disease using Caputo derivative, Adv. Theor. Simul., 8 (2025), e00373. https://doi.org/10.1002/adts.202500373 doi: 10.1002/adts.202500373
    [12] M. Cortez, M. Yousif, B. Mahmood, P. Mohammed, N. Chorfi, A. Lupas, High-accuracy solutions to the time-fractional Kdv-Burgers equation using rational non-polynominal splines, Symmetry, 17 (2025), 16. https://doi.org/10.3390/sym17010016 doi: 10.3390/sym17010016
    [13] Z. Dahmani, A. Anber, I. Jebril, Solving conformable evolution equations by an extended numerical method, Jordan J. Math. Stat., 15 (2025), 363–380. https://doi.org/10.47013/15.2.14 doi: 10.47013/15.2.14
    [14] W. Dai, Z. Liu, Classification of nonnegative solutions to static Schrödinger-Hartree and Schrödinger-Maxwell equations with combined nonlinearities, Calc. Var., 58 (2019), 156. https://doi.org/10.1007/s00526-019-1595-z doi: 10.1007/s00526-019-1595-z
    [15] W. Dai, Z. Liu, G. Qin, Classification of nonnegative solutions to static Schrödinger-Hartree-Maxwell type equations, SIAM J. Math. Anal., 53 (2021), 1379–1410. https://doi.org/10.1137/20M1341908 doi: 10.1137/20M1341908
    [16] H. Durur, Different types analytic solutions of the $(1+1)$-dimensional resonant nonlinear Schrödinger's equation using $\frac{G'}{G}$-expansion method, Mod. Phys. Lett. B, 34 (2020), 2050036. https://doi.org/10.1142/S0217984920500360 doi: 10.1142/S0217984920500360
    [17] M. Freitag, The fast signal diffusion limit in nonlinear chemotaxis systems, Discrete Cont. Dyn. B, 25 (2020), 1109–1128. https://doi.org/10.3934/dcdsb.2019211 doi: 10.3934/dcdsb.2019211
    [18] H. Gandhi, A. Tomar, D. Singh, The comparative study of time fractional linear and nonlinear Newell-Whitehead-Segel equation, In: Soft computing: Theories and applications, Singapore: Springer, 2022. https://doi.org/10.1007/978-981-16-1740-9_34
    [19] Y. Gu, Y. Lai, Analytical investigation of the fractional Klein-Gordon equation along with analysis of bifurcation, sensitivity and chaotic behaviors, Mod. Phys. Lett. B, 39 (2025), 2550124. https://doi.org/10.1142/S0217984925501246 doi: 10.1142/S0217984925501246
    [20] D. Horstmann, M. Winkler, Boundedness vs. blow-up in a chemotaxis system, J. Differ. Equations, 215 (2005), 52–107. https://doi.org/10.1016/j.jde.2004.10.022 doi: 10.1016/j.jde.2004.10.022
    [21] M. Inc, E. Ulutas, A. Biswas, Singular solitons and other solutions to a couple of nonlinear wave equations, Chin. Phys. B, 22 (2013), 060204. https://doi.org/10.1088/1674-1056/22/6/060204 doi: 10.1088/1674-1056/22/6/060204
    [22] Y. Jabri, The mountain pass theorem: Variants, generalizations and some applications, Cambridge University Press, 2003.
    [23] T. Jin, Y. Li, J. Xiong, On a fractional Nirenberg problem, part I: blow up analysis and compactness of solutions, J. Eur. Math. Soc., 16 (2014), 1111–1171. https://doi.org/10.4171/jems/456 doi: 10.4171/jems/456
    [24] M. Jornet, J. Nieto, Representation and inequalities involving continuous linear functionals and fractional derivatives, Adv. Oper. Theory, 10 (2025), 9. https://doi.org/10.1007/s43036-024-00397-8 doi: 10.1007/s43036-024-00397-8
    [25] R. Khalil, M. Al Horani, A. Yousef, M. Sababheh, A new definition of fractional derivative, J. Comput. Appl. Math., 264 (2014), 65–70. https://doi.org/10.1016/j.cam.2014.01.002 doi: 10.1016/j.cam.2014.01.002
    [26] H. Khan, A. Khan, R. Shah, D. Baleanu, A novel fractional case study of nonlinear dynamics via analytical approach, Appl. Math. J. Chin. Univ., 39 (2024), 276–290. https://doi.org/10.1007/s11766-024-4148-y doi: 10.1007/s11766-024-4148-y
    [27] M. Liaqat, A. Khan, M. Alam, M. K. Pandit, S. Etemad, S. Rezapour, Approximate and closed‐form solutions of Newell-Whitehead-Segel equations via modified conformable Shehu transform decomposition method, Math. Probl. Eng., 1 (2022), 6752455. https://doi.org/10.1155/2022/6752455 doi: 10.1155/2022/6752455
    [28] M. Luo, M. Liu, T. Guo, D. Xu, Temporally second-order compact difference method with variable time steps for semi-linear nonlocal Sobolev-type equations, Commun. Nonlinear Sci., 152 (2026), 109155. https://doi.org/10.1016/j.cnsns.2025.109155 doi: 10.1016/j.cnsns.2025.109155
    [29] K. Manikandan, N. Serikbayev, D. Aravinthan, K. Hosseini, Solitary wave solutions of the conformable space-time fractional coupled diffusion equation, Part. Differ. Equ. Appl. Math., 9 (2024), 100630. https://doi.org/10.1016/j.padiff.2024.100630 doi: 10.1016/j.padiff.2024.100630
    [30] M. Mohammed., Experimental investigation on ultra high-performance concrete beams without shear reinforcement, Alex. Eng. J., 71 (2023), 581–589. https://doi.org/10.1016/j.aej.2023.03.043 doi: 10.1016/j.aej.2023.03.043
    [31] P. Mohammed, H. Srivastava, D. Baleanu, E. Sarairah, M. Yousif, N. Chorfi, Analytical and approximate monotone solutions of the mixed order fractional nabla operators subject to bounded conditions, Math. Comp. Model. Dyn., 30 (2024), 626–639. https://doi.org/10.1080/13873954.2024.2366335 doi: 10.1080/13873954.2024.2366335
    [32] A. Newell, J. Whitehead, Finite bandwidth, finite amplitude convection, J. Fluid Mech., 38 (1969), 279–303. https://doi.org/10.1017/S0022112069000176 doi: 10.1017/S0022112069000176
    [33] I. Podlubny, An introduction to fractional derivatives, fractional differential equations, to methods of their solution and some of their applications, Math. Sci. Eng, 198 (1999), 340.
    [34] S. Rametse, R. Herbst, Numerical discretization of Riemann-Liouville fractional derivatives with strictly positive eigenvalues, Appl. Math., 5 (2025), 130. https://doi.org/10.3390/appliedmath5040130 doi: 10.3390/appliedmath5040130
    [35] R. Ravi, C. Kanchana, P. Siddheshwar, Effects of second diffusing component and cross diffusion on primary and secondary thermoconvective instabilities in couple stress liquids, Appl. Math. Mech. Engl. Ed., 38 (2017), 1579–1600. https://doi.org/10.1007/s10483-017-2280-9 doi: 10.1007/s10483-017-2280-9
    [36] R. Santos, J. Sales, G. Santos, Symmetrized neural network operators in fractional calculus: Caputo derivatives, asymptotic analysis, and the Voronovskaya-Santos-Sales theorem, Axioms, 14 (2025), 510. https://doi.org/10.3390/axioms14070510 doi: 10.3390/axioms14070510
    [37] I. Sim, S. Tanaka, Positive solutions for fractional-order boundary value problems with or without dependence of integer-order ones, Fract. Calc. Appl. Anal., 29 (2026), 66–100. https://doi.org/10.1007/s13540-026-00483-z doi: 10.1007/s13540-026-00483-z
    [38] S. Tarei, A. Kanaujiya, J. Mohapatra, An efficient numerical solution to generalized New-Whitehead-Segel Equation using Jaiswal-Laguerre functions, Eng. Computation., 42 (2025), 1845–1861. https://doi.org/10.1108/EC-11-2024-1050 doi: 10.1108/EC-11-2024-1050
    [39] N. Tuǧrul, K. Karacuha, E. Ergün, V. Tabatadze, E. Karacuha, A novel modeling and prediction approach using Caputo derivative: An economical review via multi-deep assessment methodology, AIMS Math., 9 (2024), 23512–23543. https://doi.org/10.3934/math.20241143 doi: 10.3934/math.20241143
    [40] E. Ünal, A. Gökdoǧan, Solution of conformable fractional ordinary differential equations via differential transform method, Optik, 128 (2017), 264–273. https://doi.org/10.1016/j.ijleo.2016.10.031 doi: 10.1016/j.ijleo.2016.10.031
    [41] K. Wang, S. Li, G. Wang, P. Xu, F. Shi, X. Liu, Localized wave and other special wave solutions to the (3+1)-dimensional Kudryashov-Sinelshchikov equation, Math. Method. Appl. Sci., 48 (2025), 8911–8924. https://doi.org/10.1002/mma.10764 doi: 10.1002/mma.10764
    [42] K. Wang, X. Liu, F. Shi, G. Li, Bifurcation and sensitivity analysis, chaotic behavior, variational principle, hamiltonian and diverse wave solutions of the new extended integrable Kadomtsev-Petviashvili equation, Phys. Lett. A, 534 (2025), 130246. https://doi.org/10.1016/j.physleta.2025.130246 doi: 10.1016/j.physleta.2025.130246
    [43] K. Wang, An efficient scheme for two different types of fractional evolution equations, Fractals, 32 (2024), 2450093. https://doi.org/10.1142/S0218348X24500932 doi: 10.1142/S0218348X24500932
    [44] K. Wang, New computational approaches to the fractional coupled nonlinear Helmholtz equation, Eng. Computation., 41 (2024), 1285–1300. https://doi.org/10.1108/EC-08-2023-0501 doi: 10.1108/EC-08-2023-0501
    [45] M. Wang, X. Li, J. Zhang, The $\frac{G'}{G}$-expansion method and traveling wave solutions of nonlinear evolution equations in mathematical physics, Phys. Lett. A, 372 (2008), 417–423. https://doi.org/10.1016/j.physleta.2007.07.051 doi: 10.1016/j.physleta.2007.07.051
    [46] Y. Wang, M. Winkler, Z. Xiang, The fast signal diffusion limit in Keller-Segel(-fluid) systems, Calc. Var., 58 (2019), 196. https://doi.org/10.1007/s00526-019-1656-3 doi: 10.1007/s00526-019-1656-3
    [47] M. Wang, Y. Zhou, Z. Li, Application of a homogeneous balance method to exact solutions of nonlinear equations in mathematical physics, Phys. Lett. A, 216 (1996), 67–75. https://doi.org/10.1016/0375-9601(96)00283-6 doi: 10.1016/0375-9601(96)00283-6
    [48] M. Winkler, Global large-data solutions in a chemotaxis-(Navier-)Stokes system modeling cellular swimming in fluid drops, Commun. Part. Diff. Eq., 37 (2012), 319–351. https://doi.org/10.1080/03605302.2011.591865 doi: 10.1080/03605302.2011.591865
    [49] J. Wu, Y. Huang, Boundedness of solutions for an attraction-repulsion model with indirect signal production, Mathematics, 12 (2024), 1143. https://doi.org/10.3390/math12081143 doi: 10.3390/math12081143
    [50] J. Wu, Z. Li, H. Tian, Z. Yang, The extended-$\left(\frac{G'}{G}\right)$-expansion method and new exact solutions for the conformable space-time fractional diffusive predator-prey system, Sci. Rep., 15 (2025), 19053. https://doi.org/10.1038/s41598-025-02856-5 doi: 10.1038/s41598-025-02856-5
    [51] J. Wu, Z. Yang, Global existence and boundedness of chemotaxis-fluid equations to the coupled Solow-Swan model, AIMS Math., 8 (2023), 17914–17942. https://doi.org/10.3934/math.2023912 doi: 10.3934/math.2023912
    [52] W. Wu, L. Zeng, C. Liu, W. Xie, M. Goh, A time power-based grey model with conformable fractional derivative and its applications, Chaos Soliton. Fract., 155 (2022), 111657. https://doi.org/10.1016/j.chaos.2021.111657 doi: 10.1016/j.chaos.2021.111657
    [53] J. Yin, Extended expansion method for $\frac{G'}{G}$ and new exact solutions of Zakharov equations, Acta Phys. Sin., 62 (2013), 200202. https://doi.org/10.7498/aps.62.200202 doi: 10.7498/aps.62.200202
    [54] M. A. Yousif, D. Baleanu, M. Abdelwahed, S. Azzo, P. Mohammed, Finite difference $\beta$-fractional approach for solving the time-fractional FitzHugh-Nagumo equation, Alex. Eng. J., 125 (2025), 127–132. https://doi.org/10.1016/j.aej.2025.04.035 doi: 10.1016/j.aej.2025.04.035
    [55] E. Zayed, K. Gepreel, The $\frac{G'}{G}$-expansion method for finding traveling wave solutions of nonlinear partial differential equations in mathematical physics, J. Math. Phys., 50 (2009), 013502. https://doi.org/10.1063/1.3033750 doi: 10.1063/1.3033750
    [56] Z. Zhour, N. AI-Mutairi, F. Alrawajeh, R. Alkhasawneh, Series solutions for the Laguerre and Lane-Emden fractional differential equations in the sense of conformable fractional derivative, Alex. Eng. J., 58 (2019), 1413–1420. https://doi.org/10.1016/j.aej.2019.11.012 doi: 10.1016/j.aej.2019.11.012
    [57] B. Zheng, The $\frac{G'}{G}$-expansion method for solving fractional partial differential equations in the theory of mathematical physics, Commun. Theor. Phys., 58 (2012), 623–630. https://doi.org/10.1088/0253-6102/58/5/02 doi: 10.1088/0253-6102/58/5/02
    [58] S. Zheng, L. Chen, J. Lu, Numerical analysis of a fractional micro/nano beam-based micro-electromechanical system, Fractals, 33 (2025), 2550028. https://doi.org/10.1142/S0218348X25500288 doi: 10.1142/S0218348X25500288
    [59] S. Zheng, Y. Lou, S. Shen, J. Lu, Numerical investigation of fractal oscillator for a pendulum with a rolling wheel, Fractals, 33 (2025), 2550077. https://doi.org/10.1142/S0218348X2550077X doi: 10.1142/S0218348X2550077X
  • Reader Comments
  • © 2026 the Author(s), licensee AIMS Press. This is an open access article distributed under the terms of the Creative Commons Attribution License (http://creativecommons.org/licenses/by/4.0)
通讯作者: 陈斌, bchen63@163.com
  • 1. 

    沈阳化工大学材料科学与工程学院 沈阳 110142

  1. 本站搜索
  2. 百度学术搜索
  3. 万方数据库搜索
  4. CNKI搜索

Metrics

Article views(352) PDF downloads(27) Cited by(0)

Article outline

Figures and Tables

Figures(28)  /  Tables(6)

Other Articles By Authors

/

DownLoad:  Full-Size Img  PowerPoint
Return
Return

Catalog