Research article

Modeling and estimation in aquaculture ponds based on bioenergetic fish growth models

  • Published: 20 April 2026
  • MSC : 34Dxx, 91-10, 81P50

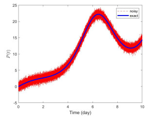
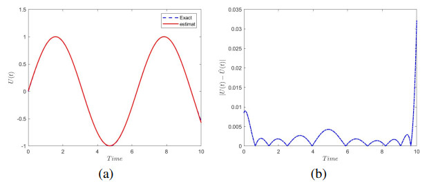
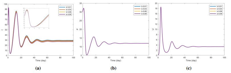
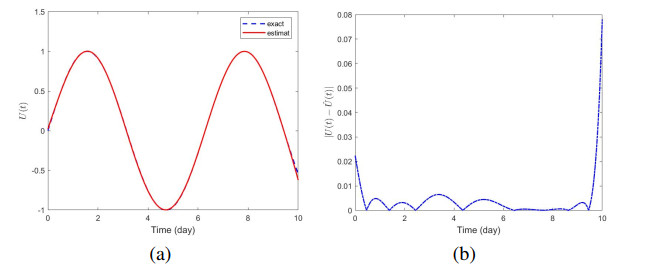
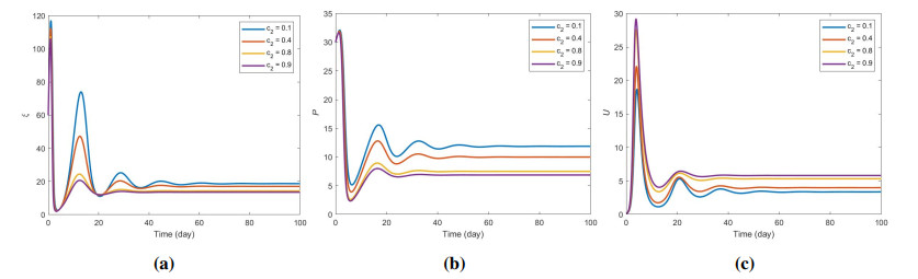
  • Aquaculture is a vital component in meeting the increasing demand for food by providing a sustainable alternative to traditional sources that are no longer sufficient to cover future needs. In this paper, we focused on studying the fundamental factors influencing the performance of aquaculture systems, where the accumulation of unionized ammonia (UIA) represents one of the most critical challenges directly affecting fish health, growth, and population density within ponds. In this work, a bioenergetic mathematical model for fish growth was developed to accurately represent the system dynamics through the integration of UIA effects and their relationship with total fish biomass ($ \xi $) and fish population ($ P $). The model was analyzed using qualitative mathematical tools to verify the positivity and boundedness of the state variables, determine equilibrium points, and assess their stability. Moreover, numerical simulations were performed to capture the growth dynamics under different conditions. In addition, the modulating function method was applied to estimate the UIA concentration.

    Citation: Sharefa Asiri, Salma Al-Tuwairqi, Sara Al-Amoudi. Modeling and estimation in aquaculture ponds based on bioenergetic fish growth models[J]. AIMS Mathematics, 2026, 11(4): 10963-10985. doi: 10.3934/math.2026450

    Related Papers:

  • Aquaculture is a vital component in meeting the increasing demand for food by providing a sustainable alternative to traditional sources that are no longer sufficient to cover future needs. In this paper, we focused on studying the fundamental factors influencing the performance of aquaculture systems, where the accumulation of unionized ammonia (UIA) represents one of the most critical challenges directly affecting fish health, growth, and population density within ponds. In this work, a bioenergetic mathematical model for fish growth was developed to accurately represent the system dynamics through the integration of UIA effects and their relationship with total fish biomass ($ \xi $) and fish population ($ P $). The model was analyzed using qualitative mathematical tools to verify the positivity and boundedness of the state variables, determine equilibrium points, and assess their stability. Moreover, numerical simulations were performed to capture the growth dynamics under different conditions. In addition, the modulating function method was applied to estimate the UIA concentration.



    加载中


    [1] FAO, The state of world fisheries and aquaculture: meeting the sustainable development goals, 2018. Available from: https://openknowledge.fao.org/handle/20.500.14283/i9540en.
    [2] T. Gjedrem, Selection and breeding programs in aquaculture, Springer, 2005. https://doi.org/10.1007/1-4020-3342-7
    [3] C. E. Boyd, General relationship between water quality and aquaculture performance in ponds, Fish Dis., 2017,147–166. https://doi.org/10.1016/B978-0-12-804564-0.00006-5 doi: 10.1016/B978-0-12-804564-0.00006-5
    [4] M. R. Darmawan, Y. Andriani, U. Subhan, I. Zidni, The effect of the aeration system on fish health performance in aquaponics, J. Fish Health, 5 (2025), 177–185. https://doi.org/10.29303/jfh.v5i2.6288 doi: 10.29303/jfh.v5i2.6288
    [5] P. Satanwat, Acclimatization and application of biofilters for nitrogen removal in marine recirculating shrimp culture system, Ph. D. thesis, Thammasat School of Engineering, 2018. https://doi.org/10.58837/CHULA.THE.2018.222
    [6] E. Batır, Ö. Metin, M. Yıldız, O. T. Özel, D. Fidan, Sustainable land-based imta: holistic management of finfish, mussel, and macroalgae interactions, emphasizing water quality and nutrient dynamics, J. Environ. Manage., 372 (2024), 123411. https://doi.org/10.1016/j.jenvman.2024.123411 doi: 10.1016/j.jenvman.2024.123411
    [7] S. Tabrett, I. Ramsay, B. Paterson, M. A. Burford, A review of the benefits and limitations of waste nutrient treatment in aquaculture pond facilities, Rev. Aquacult., 16 (2024), 1766–1786. https://doi.org/10.1111/raq.12921 doi: 10.1111/raq.12921
    [8] M. Flores-Iwasaki, G. A. Guadalupe, M. Pachas-Caycho, S. Chapa-Gonza, R. C. Mori-Zabarburú, J. C. Guerrero-Abad, Internet of things (iot) sensors for water quality monitoring in aquaculture systems: a systematic review and bibliometric analysis, AgriEngineering, 7 (2025), 78. https://doi.org/10.3390/agriengineering7030078 doi: 10.3390/agriengineering7030078
    [9] Y. Yi, A bioenergetics growth model for nile tilapia (oreochromis niloticus) based on limiting nutrients and fish standing crop in fertilized ponds, Aquacult. Eng., 18 (1998), 157–173. https://doi.org/10.1016/S0144-8609(98)00028-4 doi: 10.1016/S0144-8609(98)00028-4
    [10] I. Seginer, Growth models of gilthead sea bream (sparus aurata L.) for aquaculture: a review, Aquacult. Eng., 70 (2026), 15–32. https://doi.org/10.1016/j.aquaeng.2015.12.001 doi: 10.1016/j.aquaeng.2015.12.001
    [11] J. A. Buentello, D. M. Gatlin Ⅲ, W. H. Neill, Effects of water temperature and dissolved oxygen on daily feed consumption, feed utilization and growth of channel catfish (ictalurus punctatus), Aquaculture, 182 (2000), 339–352. https://doi.org/10.1016/S0044-8486(99)00274-4 doi: 10.1016/S0044-8486(99)00274-4
    [12] Y. Yilmaz, M. Arabacİ, The influence of stocking density on growth and feed efficiency in gilthead seabream, sparus aurata, J. Anim. Vet. Adv., 9 (2010), 1280–1284. https://doi.org/10.3923/javaa.2010.1280.1284 doi: 10.3923/javaa.2010.1280.1284
    [13] F. Aljehani, I. N'Doye, T. M. Laleg-Kirati, Model-based versus model-free feeding control and water-quality monitoring for fish-growth tracking in aquaculture systems, IFAC J. Syst. Control, 26 (2023), 100226. https://doi.org/10.1016/j.ifacsc.2023.100226 doi: 10.1016/j.ifacsc.2023.100226
    [14] F. Aljehani, I. N'Doye, T. M. Laleg-Kirati, Extended kalman filter for fish weight estimation using augmented fish population growth model, IFAC-PapersOnLine, 56 (2023), 9855–9861. https://doi.org/10.1016/j.ifacol.2023.10.407 doi: 10.1016/j.ifacol.2023.10.407
    [15] S. Asiri, Modulating function-based method for parameter and source estimation of partial differential equations, Ph. D. thesis, King Abdullah University of Science and Technology, 2017. https://doi.org/10.25781/KAUST-4B3A9
    [16] S. Asiri, S. Elmetennani, T. M. Laleg-Kirati, Moving-horizon modulating functions-based algorithm for online source estimation in a first-order hyperbolic partial differential equation, J. Sol. Energy Eng., 139 (2017), 061007. https://doi.org/10.1115/1.4037743 doi: 10.1115/1.4037743
    [17] S. Asiri, D. Y. Liu, Finite-time estimation for a class of systems with unknown time-delay using modulating functions-based method, Asian J. Control, 25 (2023), 746–757. https://doi.org/10.1002/asjc.2858 doi: 10.1002/asjc.2858
    [18] D. Y. Liu, O. Gibaru, W. Perruquetti, T. M. Laleg-Kirati, Fractional order differentiation by integration and error analysis in noisy environment, IEEE Trans. Autom. Control, 60 (2015), 2945–2960. https://doi.org/10.1109/TAC.2015.2417852 doi: 10.1109/TAC.2015.2417852
    [19] G. Bo, H. Wei, T. Zhang, M. Duan, D. Li, Y. Wang, et al., Acute and chronic un-ionized ammonia toxicity to 'all-fish'growth hormone transgenic common carp (cyprinus carpio L.), Chin. Sci. Bull., 55 (2010), 4032–4036. https://doi.org/10.1007/s11434-010-4165-5 doi: 10.1007/s11434-010-4165-5
    [20] P. Khamchuai, M. Maleewong, S. Rujivan, Developed bioenergetics fish growth model for nile tilapia (oreochromis niloticus) aquacultured in wastewater treatment pond: the royal project in petchaburi, Thailand, Proceedings of the ANSCSE16 Conference, 2012.
    [21] M. Martcheva, An introduction to mathematical epidemiology, Springer, 2015. https://doi.org/10.1007/978-1-4899-7612-3
    [22] S. Barnard, M. W. V. Goethem, S. Z. de Scally, D. A. Cowan, P. J. van Rensburg, S. Claassens, et al., Increased temperatures alter viable microbial biomass, ammonia oxidizing bacteria and extracellular enzymatic activities in antarctic soils, FEMS Microbiol. Ecol., 96 (2020), fiaa065. https://doi.org/10.1093/femsec/fiaa065 doi: 10.1093/femsec/fiaa065
  • Reader Comments
  • © 2026 the Author(s), licensee AIMS Press. This is an open access article distributed under the terms of the Creative Commons Attribution License (http://creativecommons.org/licenses/by/4.0)
通讯作者: 陈斌, bchen63@163.com
  • 1. 

    沈阳化工大学材料科学与工程学院 沈阳 110142

  1. 本站搜索
  2. 百度学术搜索
  3. 万方数据库搜索
  4. CNKI搜索

Metrics

Article views(321) PDF downloads(21) Cited by(0)

Article outline

Figures and Tables

Figures(14)  /  Tables(3)

Other Articles By Authors

/

DownLoad:  Full-Size Img  PowerPoint
Return
Return

Catalog