Research article

Unified pricing model for corporate stocks and bonds under bankruptcy reorganization observation period and discrete bankruptcy time

  • Published: 13 April 2026
  • MSC : 91G40, 91G80

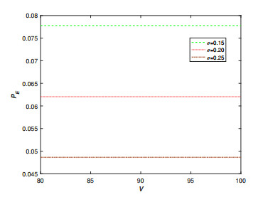
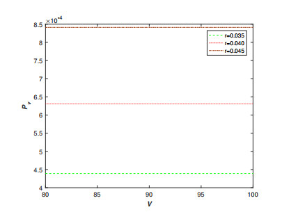
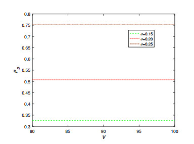
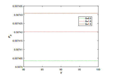
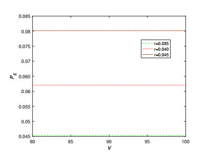
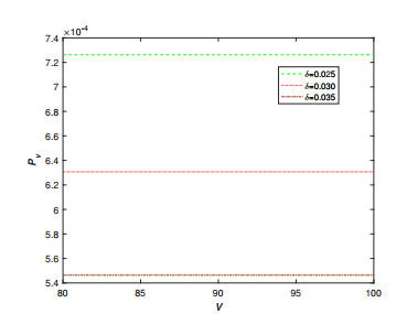
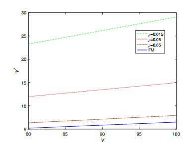
  • This paper investigates the impact of a finite bankruptcy reorganization observation period and discrete bankruptcy timing on corporate asset pricing and operational strategies. Discrete bankruptcy times are modeled by the jump moments of a Poisson process with intensity $ \rho $, and a bankruptcy reorganization mechanism based on strategic debt payments is incorporated. Within the structural credit risk framework, the problem is formulated as a nonlinear optimal stopping problem with a penalty term. By employing Itô's lemma and partial differential equation methods, explicit analytical solutions for the values of corporate equity, debt, and firm value are derived, together with expressions for the optimal bankruptcy boundary and the optimal coupon level. Numerical results show that, compared with the continuous bankruptcy model, the discrete bankruptcy mechanism significantly increases the optimal bankruptcy boundary and the optimal coupon level. While the overall impact on firm value is relatively small, it substantially changes the distribution of value between equity and debt: Equity value decreases by approximately $ 6\% $, whereas debt value increases by about $ 51\% $. Furthermore, when the bankruptcy reorganization observation period extends from $ 0.5 $ years to $ 1.5 $ years, the divergence between equity and debt values becomes more pronounced. The proposed model provides theoretical insights for corporate bankruptcy reorganization strategies, capital structure optimization, and the pricing of corporate stocks and bonds under uncertain bankruptcy environments.

    Citation: Jianwei Lin, Yuan Chen. Unified pricing model for corporate stocks and bonds under bankruptcy reorganization observation period and discrete bankruptcy time[J]. AIMS Mathematics, 2026, 11(4): 9788-9818. doi: 10.3934/math.2026405

    Related Papers:

  • This paper investigates the impact of a finite bankruptcy reorganization observation period and discrete bankruptcy timing on corporate asset pricing and operational strategies. Discrete bankruptcy times are modeled by the jump moments of a Poisson process with intensity $ \rho $, and a bankruptcy reorganization mechanism based on strategic debt payments is incorporated. Within the structural credit risk framework, the problem is formulated as a nonlinear optimal stopping problem with a penalty term. By employing Itô's lemma and partial differential equation methods, explicit analytical solutions for the values of corporate equity, debt, and firm value are derived, together with expressions for the optimal bankruptcy boundary and the optimal coupon level. Numerical results show that, compared with the continuous bankruptcy model, the discrete bankruptcy mechanism significantly increases the optimal bankruptcy boundary and the optimal coupon level. While the overall impact on firm value is relatively small, it substantially changes the distribution of value between equity and debt: Equity value decreases by approximately $ 6\% $, whereas debt value increases by about $ 51\% $. Furthermore, when the bankruptcy reorganization observation period extends from $ 0.5 $ years to $ 1.5 $ years, the divergence between equity and debt values becomes more pronounced. The proposed model provides theoretical insights for corporate bankruptcy reorganization strategies, capital structure optimization, and the pricing of corporate stocks and bonds under uncertain bankruptcy environments.



    加载中


    [1] H. Fan, S. M. Sundaresan, Debt valuation, renegotiation, and optimal dividend policy, Rev. Financ. Stud., 13 (2000), 1057–1099. http://doi.org/10.1093/rfs/13.4.1057 doi: 10.1093/rfs/13.4.1057
    [2] P. François, E. Morellec, Capital structure and asset prices: Some effects of bankruptcy procedures, The Journal of Business, 77 (2004), 387–411. https://doi.org/10.1086/381280 doi: 10.1086/381280
    [3] M. Broadie, Ö. Kaya, A binomial lattice method for pricing corporate debt and modeling chapter 11 proceedings, J. Financ. Quant. Anal., 42 (2007), 279–312. http://doi.org/10.1017/S0022109000003288 doi: 10.1017/S0022109000003288
    [4] M. Dai, L. S. Jiang, J. W. Lin, Pricing corporate debt with finite maturity and chapter 11 proceedings, Quant. Financ., 13 (2013), 1855–1861. https://doi.org/10.1080/14697688.2013.816436 doi: 10.1080/14697688.2013.816436
    [5] J. Gupta, M. Barzotto, A. A. F. De Moura, Bankruptcy resolution: misery or strategy, Abacus, 60 (2024), 665–708. https://doi.org/10.1111/abac.12311 doi: 10.1111/abac.12311
    [6] U. Khan, S. Longoria, Reorganizations dominate 2024 US corporate bankruptcy filings, S & P Global Market Intelligence, 2025. Available from: https://www.spglobal.com/market-intelligence/en/news-insights/articles/2025/1/reorganizations-dominate-2024-us-corporate-bankruptcy-filings-87314168.
    [7] J. Mazur, Duopoly investment behavior in the presence of chapter 11 reorganization, working paper, 2022. Available from: https://joemazur.io/wp-content/uploads/2022/10/mazur_duopolyinvestmentchapter11.pdf.
    [8] P. Dupuis, H. Wang, Optimal stopping with random intervention times, Adv. Appl. Probab., 34 (2002), 141–157. http://doi.org/10.1239/aap/1019160954 doi: 10.1239/aap/1019160954
    [9] G. C. Liang, H. D. Sun, Dynkin games with Poisson random intervention times, SIAM J. Control Optim., 57 (2019), 2962–2991. https://doi.org/10.1137/18M1175720 doi: 10.1137/18M1175720
    [10] Z. Palmowski, J. L. Pérez, B. A. Surya, K. Yamazaki, The Leland–Toft optimal capital structure model under Poisson observations, Finance Stoch., 24 (2020), 1035–1082. https://doi.org/10.1007/s00780-020-00431-6 doi: 10.1007/s00780-020-00431-6
    [11] H. E. Leland, K. B. Toft, Optimal capital structure, endogenous bankruptcy, and the term structure of credit spreads, J. Financ., 51 (1996), 987–1019. https://doi.org/10.1111/j.1540-6261.1996.tb02714.x doi: 10.1111/j.1540-6261.1996.tb02714.x
  • Reader Comments
  • © 2026 the Author(s), licensee AIMS Press. This is an open access article distributed under the terms of the Creative Commons Attribution License (http://creativecommons.org/licenses/by/4.0)
通讯作者: 陈斌, bchen63@163.com
  • 1. 

    沈阳化工大学材料科学与工程学院 沈阳 110142

  1. 本站搜索
  2. 百度学术搜索
  3. 万方数据库搜索
  4. CNKI搜索

Metrics

Article views(326) PDF downloads(26) Cited by(0)

Article outline

Figures and Tables

Figures(17)  /  Tables(2)

Other Articles By Authors

/

DownLoad:  Full-Size Img  PowerPoint
Return
Return

Catalog