Research article Special Issues

A new generalized differential transform method for fractional ODEs with statistical applications

  • Published: 10 April 2026
  • MSC : 60E05, 34A30

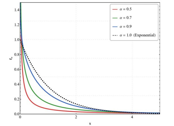
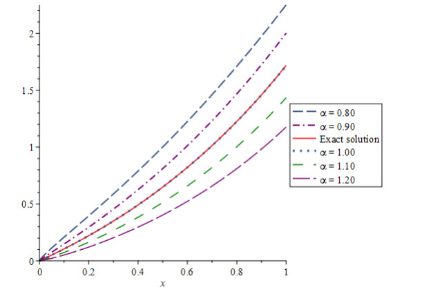
  • This paper presents a new generalized differential transform method (NGDTM) in the solution of fractional-order differential equations. The technique is based on the generalized Taylor formula and the Riemann–Liouville fractional derivative. Theorems of fundamental transformation are developed based on rigorous proofs, and the convergence and uniqueness of the solutions obtained are proven. A number of linear and nonlinear examples such as models of statistical relevance are provided to demonstrate the accuracy and efficiency of the proposed approach. Besides, the classical exponential distribution is derived using the proposed NGDTM, and a new fractional exponential distribution is proposed on the same basis with the use of the same framework. The findings reveal that the technique provides very good approximate solutions and, in few instances, the exact solution by only few iterations, thus validating it as a tool of fractional differential equations as well as use in statistics.

    Citation: Ammar Abuualshaikh, Mahmoud Z. Aldrabseh, Tariq S. Alshammari, Khudhayr A. Rashedi, Khalid M. K. Alshammari. A new generalized differential transform method for fractional ODEs with statistical applications[J]. AIMS Mathematics, 2026, 11(4): 9541-9562. doi: 10.3934/math.2026395

    Related Papers:

  • This paper presents a new generalized differential transform method (NGDTM) in the solution of fractional-order differential equations. The technique is based on the generalized Taylor formula and the Riemann–Liouville fractional derivative. Theorems of fundamental transformation are developed based on rigorous proofs, and the convergence and uniqueness of the solutions obtained are proven. A number of linear and nonlinear examples such as models of statistical relevance are provided to demonstrate the accuracy and efficiency of the proposed approach. Besides, the classical exponential distribution is derived using the proposed NGDTM, and a new fractional exponential distribution is proposed on the same basis with the use of the same framework. The findings reveal that the technique provides very good approximate solutions and, in few instances, the exact solution by only few iterations, thus validating it as a tool of fractional differential equations as well as use in statistics.



    加载中


    [1] A. Abuualshaikh, F. A. Abdullah, M. A. Akbar, Application of new generalized differential transform method to solve Riccati fractional differential equation, In: 2023 International Conference on Fractional Differentiation and Its Applications (ICFDA), Ajman, United Arab Emirates, 2023, 1–6. https://doi.org/10.1109/ICFDA58234.2023.10153326
    [2] Y. Yang, S. J. Liao, Comparison between homotopy analysis method and homotopy renormalization method in fluid mechanics, Eur. J. Mech. B-Fluid., 97 (2023), 187–198. https://doi.org/10.1016/j.euromechflu.2022.10.005 doi: 10.1016/j.euromechflu.2022.10.005
    [3] G. Monzon, Fractional variational iteration method for higher-order fractional differential equations, J. Fract. Calc. Appl., 15 (2024), 1–15.
    [4] A. Abuualshaikh, F. A. Abdullah, A. Akbar, A new generalized differential transform method for analytical solutions of the Bagley-Torvik equation, Int. J. Anal. Appl., 23 (2025), 138. https://doi.org/10.28924/2291-8639-23-2025-138 doi: 10.28924/2291-8639-23-2025-138
    [5] J. K. Zhou, Differential transformation and its applications for electrical circuits, Wuhan: Huazhong University Press, 1986.
    [6] G. G. E. Pukhov, Differential transforms and circuit theory, Int. J. Circ. Theor. Appl., 10 (1982), 265–276. https://doi.org/10.1002/cta.4490100307 doi: 10.1002/cta.4490100307
    [7] A. Elsaid, Fractional differential transform method combined with the Adomian polynomials, Appl. Math. Comput., 218 (2012), 6899–6911. https://doi.org/10.1016/j.amc.2011.12.066 doi: 10.1016/j.amc.2011.12.066
    [8] A. Arikoglu, I. Ozkol, Solution of fractional differential equations by using differential transform method, Chaos Soliton. Fract., 34 (2007), 1473–1481. https://doi.org/10.1016/j.chaos.2006.09.004 doi: 10.1016/j.chaos.2006.09.004
    [9] M. Caputo, Linear models of dissipation whose Q is almost frequency independent—II, Geophys. J. Int., 13 (1967), 529–539. https://doi.org/10.1111/j.1365-246X.1967.tb02303.x doi: 10.1111/j.1365-246X.1967.tb02303.x
    [10] Z. Odibat, S. Momani, V. S. Erturk, Generalized differential transform method: Application to differential equations of fractional order, Appl. Math. Comput., 197 (2008), 467–477. https://doi.org/10.1016/j.amc.2007.07.068 doi: 10.1016/j.amc.2007.07.068
    [11] R. Cont, Long range dependence in financial markets, In: Fractals in engineering, London: Springer, 2005. https://doi.org/10.1007/1-84628-048-6_11
    [12] F. Lindgren, H. Rue, J. Lindström, An explicit link between Gaussian fields and Gaussian Markov random fields: The stochastic partial differential equation approach, J. Roy. Stat. Soc. B, 73 (2011), 423–498. https://doi.org/10.1111/j.1467-9868.2011.00777.x doi: 10.1111/j.1467-9868.2011.00777.x
    [13] Y. Hu, D. Nualart, Parameter estimation for fractional Ornstein–Uhlenbeck processes, Stat. Probabil. Lett., 80 (2010), 1030–1038. https://doi.org/10.1016/j.spl.2010.02.018 doi: 10.1016/j.spl.2010.02.018
    [14] C. P. Li, F. H. Zeng, Numerical methods for fractional calculus, Chapman and Hall/CRC, 2015.
    [15] S. M. Alzahrani, R. Saadeh, M. A. Abdoon, A. Qazza, F. E. Guma, M. Berir, Numerical simulation of an influenza epidemic: Prediction with fractional SEIR and the ARIMA model, Appl. Math., 18 (2024), 1–12. http://dx.doi.org/10.18576/amis/180101 doi: 10.18576/amis/180101
    [16] B. W. Silverman, Density estimation for statistics and data analysis, Routledge, 2018.
    [17] A. K. Nanda, S. P. Mukherjee, Properties of life distributions. In: Probability models in reliability analysis, Singapore: Springer, 2025, 13–45. https://doi.org/10.1007/978-981-96-3049-3_2
    [18] Z. Y. Xie, Z. Li, L. P. Xu, Distribution dependent stochastic differential equations driven by fractional Brownian motion and standard Brownian motion, Adv. Contin. Discret. M., 2025 (2025), 165. https://doi.org/10.1186/s13662-025-04026-3 doi: 10.1186/s13662-025-04026-3
    [19] R. Gorenflo, A. A. Kilbas, F. Mainardi, S. V. Rogosin, Mittag-Leffler functions, related topics and applications. Berlin: Springer, 1451 (2014).
    [20] J. J. Trujillo, M. Rivero, B. Bonilla, On a Riemann–Liouville generalized Taylor's formula, J. Math. Anal. Appl., 231 (1999), 255–265. https://doi.org/10.1006/jmaa.1998.6224 doi: 10.1006/jmaa.1998.6224
    [21] J. H. He, Homotopy perturbation method: A new nonlinear analytical technique, Appl. Math. Comput., 135 (2–3), 73–79. https://doi.org/10.1016/S0096-3003(01)00312-5
    [22] S. A. Pasha, Y. Nawaz, M. S. Arif, The modified homotopy perturbation method with an auxiliary term for the nonlinear oscillator with discontinuity, J. Low Freq. Noise V. A., 38 (2019), 1363–1373. https://doi.org/10.1177/0962144X18820454 doi: 10.1177/0962144X18820454
    [23] M. Turkyilmazoglu, Accelerating the convergence of Adomian decomposition method (ADM), J. Comput. Sci., 31 (2019), 54–59. https://doi.org/10.1016/j.jocs.2018.12.014 doi: 10.1016/j.jocs.2018.12.014
    [24] G. Arora, S. Hussain, R. Kumar, Comparison of variational iteration and Adomian decomposition methods to solve growth, aggregation and aggregation-breakage equations, J. Comput. Sci., 67 (2023), 101973. https://doi.org/10.1016/j.jocs.2023.101973 doi: 10.1016/j.jocs.2023.101973
    [25] A. Salih, Weighted residual methods, Department of Aerospace Engineering, Indian Institute of Space Science and Technology, Thiruvananthapuram, December, 2016.
    [26] A. Harir, S. Melliani, H. E. Harfi, L. S. Chadli, Variational iteration method and differential transformation method for solving the SEIR epidemic model, Int. J. Differ. Equat., 2020 (2020), 3521936. https://doi.org/10.1155/2020/3521936 doi: 10.1155/2020/3521936
    [27] Z. M. Odibat, N. T. Shawagfeh, Generalized Taylor's formula, Appl. Math. Comput., 186 (2007), 286–293. https://doi.org/10.1016/j.amc.2006.07.102 doi: 10.1016/j.amc.2006.07.102
    [28] G. Jumarie, Modified Riemann–Liouville derivative and fractional Taylor series of nondifferentiable functions further results, Comput. Math. Appl., 51 (2006), 1367–1376. https://doi.org/10.1016/j.camwa.2006.02.001 doi: 10.1016/j.camwa.2006.02.001
    [29] A. Ebaid, H. K. Al-Jeaid, The Mittag–Leffler functions for a class of first-order fractional initial value problems: Dual solution via Riemann–Liouville fractional derivative, Fractal Fract., 6 (2022), 85. https://doi.org/10.3390/fractalfract6020085 doi: 10.3390/fractalfract6020085
    [30] N. T. Shawagfeh, Analytical approximate solutions for nonlinear fractional differential equations, Appl. Math. Comput., 131 (2002), 517–529. https://doi.org/10.1016/S0096-3003(01)00167-9 doi: 10.1016/S0096-3003(01)00167-9
    [31] A. A. Kilbas, H. M. Srivastava, J. J. Trujillo, Theory and applications of fractional differential equations, Elsevier, 204 (2006).
    [32] S. Momani, Z. Odibat, Numerical comparison of methods for solving linear differential equations of fractional order, Chaos Soliton. Fract., 31 (2007), 1248–1255. https://doi.org/10.1016/j.chaos.2005.10.068 doi: 10.1016/j.chaos.2005.10.068
  • Reader Comments
  • © 2026 the Author(s), licensee AIMS Press. This is an open access article distributed under the terms of the Creative Commons Attribution License (http://creativecommons.org/licenses/by/4.0)
通讯作者: 陈斌, bchen63@163.com
  • 1. 

    沈阳化工大学材料科学与工程学院 沈阳 110142

  1. 本站搜索
  2. 百度学术搜索
  3. 万方数据库搜索
  4. CNKI搜索

Metrics

Article views(561) PDF downloads(115) Cited by(0)

Article outline

Figures and Tables

Figures(3)  /  Tables(3)

/

DownLoad:  Full-Size Img  PowerPoint
Return
Return

Catalog