Research article Special Issues

Novel adaptive synchronization criteria of fractional-order fuzzy neural networks with parameter uncertainties and information interactions

  • Published: 02 April 2026
  • MSC : 26A33

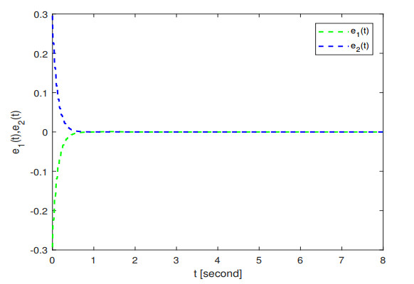
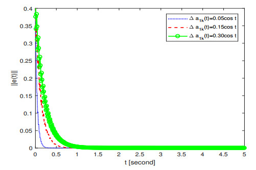
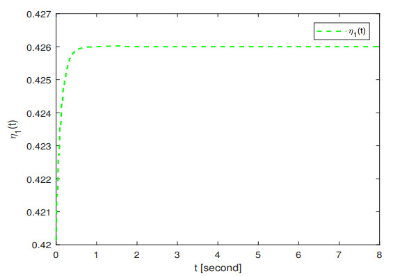
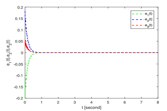
  • This research demonstrates a focus on the complete synchronization of fractional-order neural networks with bounded parameter uncertainties and information interactions. The drive-response network models considered in this article contain the operators fuzzy AND, fuzzy OR, and nonlinear interaction modes, which makes the systems in this article more generalized. To achieve complete synchronization tasks, we design a new nonlinear adaptive control scheme. Unlike existing control strategies, the controller incorporates a sign function and a monotonically decreasing function, ensuring the boundedness of the controller even as the error approaches zero, while reducing the conservatism of the control intensity. By virtue of fractional calculus properties and inequality analysis techniques, new synchronization criteria of the concerned drive–response networks are established under the adaptive control schemes. Numerical examples demonstrate the effectiveness of the method proposed in this research.

    Citation: Anran Zhou, Hongguang Fan. Novel adaptive synchronization criteria of fractional-order fuzzy neural networks with parameter uncertainties and information interactions[J]. AIMS Mathematics, 2026, 11(4): 9166-9190. doi: 10.3934/math.2026378

    Related Papers:

  • This research demonstrates a focus on the complete synchronization of fractional-order neural networks with bounded parameter uncertainties and information interactions. The drive-response network models considered in this article contain the operators fuzzy AND, fuzzy OR, and nonlinear interaction modes, which makes the systems in this article more generalized. To achieve complete synchronization tasks, we design a new nonlinear adaptive control scheme. Unlike existing control strategies, the controller incorporates a sign function and a monotonically decreasing function, ensuring the boundedness of the controller even as the error approaches zero, while reducing the conservatism of the control intensity. By virtue of fractional calculus properties and inequality analysis techniques, new synchronization criteria of the concerned drive–response networks are established under the adaptive control schemes. Numerical examples demonstrate the effectiveness of the method proposed in this research.



    加载中


    [1] L. K. Pooja, T. Senthilkumar, Synchronization results for uncertain complex-valued neural networks under delay-dependent flexible impulsive control, Chaos Soliton. Fract., 178 (2024), 114338. https://doi.org/10.1016/j.chaos.2023.114338 doi: 10.1016/j.chaos.2023.114338
    [2] X. He, X. Li, S. Song, Finite-time stability of state dependent delayed systems and application to coupled neural networks, Neural Netw.‌, 154 (2022), 303–309. http://dx.doi.org/10.1016/j.neunet.2022.07.009 doi: 10.1016/j.neunet.2022.07.009
    [3] A. R. Zhou, C. M. Yang, C. B. Yi, H. G. Fan, New $\mu$-synchronization criteria for nonlinear drive–response complex networks with uncertain inner couplings and variable delays of unknown bounds, Axioms, 14 (2025), 161. https://doi.org/10.3390/axioms14030161 doi: 10.3390/axioms14030161
    [4] D. Ding, X. Yao, H. Zhang, Complex projection synchronization of fractional-order complex-valued memristive neural networks with multiple delays, Neural Process. Lett., 51 (2020), 325–345. http://dx.doi.org/10.1007/s11063-019-10093-x doi: 10.1007/s11063-019-10093-x
    [5] Y. Xu, Z. Chen, W. X. Li, Y. B. Wu, Exponential stability of fractional-order fuzzy multilayer networks with short memory and noninstantaneous impulses via intermittent control, IEEE T. Fuzzy Syst., 33 (2025), 1639–1649. http://dx.doi.org/10.1109/TFUZZ.2025.3528975 doi: 10.1109/TFUZZ.2025.3528975
    [6] Q. Peng, J. G. Jian, Asymptotic synchronization of second-fractional-order fuzzy neural networks with impulsive effects, Chaos Soliton. Fract., 168 (2023), 113150. https://doi.org/10.1016/j.chaos.2023.113150 doi: 10.1016/j.chaos.2023.113150
    [7] W. X. Fang, Z. H. Ma, F. X. Li, H. R. Lian, Finite-time stability analysis of fractional-order neural networks with inertial terms and fuzzy logics, Neurocomputing, 652 (2025), 131167. https://doi.org/10.1016/j.neucom.2025.131167 doi: 10.1016/j.neucom.2025.131167
    [8] K. Wu, M. Tang, Z. H. Liu, H. Ren, L. Zhao, Pinning synchronization of multiple fractional-order fuzzy complex-valued delayed spatiotemporal neural networks, Chaos Soliton. Fract., 182 (2024), 114801. https://doi.org/10.1016/j.chaos.2024.114801 doi: 10.1016/j.chaos.2024.114801
    [9] H. G. Fan, K. B. Shi, Z. Z. Guo, A. R. Zhou, J. Y. Cai, Finite-time synchronization and Mittag–Leffler synchronization for uncertain fractional-order delayed cellular neural networks with fuzzy operators via nonlinear adaptive control, Fractal Fract‌., 9 (2025), 634. http://dx.doi.org/10.3390/fractalfract9100634 doi: 10.3390/fractalfract9100634
    [10] J. Xiao, S. Wen, X. Guo, Y. Li, New amplified inequalities and their application on mittag-leffler synchronization problem of fractional-order fuzzy bidirectional associative memory neural networks in octonion-valued field by using a genetic algorithm, Inform. Sci., 727 (2026), 122747. https://doi.org/10.1016/j.ins.2025.122747 doi: 10.1016/j.ins.2025.122747
    [11] J. Ran, Y. H. Zhou, H. Pu, Global stability and synchronization of stochastic discrete-time variable-order fractional-order delayed quaternion-valued neural networks, Math. Comput. Simulat., 226 (2024), 413–437. https://doi.org/10.1016/j.matcom.2024.07.017 doi: 10.1016/j.matcom.2024.07.017
    [12] J. Y. Xiao, Y. T. Li, Deep analysis on MLSY for fractional-order higher-dimension-valued neural networks under the action of free quadratic coefficients, Expert Syst. Appl., 298 (2026), 129586. https://doi.org/10.1016/j.eswa.2025.129586 doi: 10.1016/j.eswa.2025.129586
    [13] J. S. Zhou, G. C. Chen, D. Y. Li, G. D. Zhang, J. H. Hu, Fixed/prescribed-time synchronization of fractional-order fuzzy cellular neural networks with time-varying delays via adaptive control, Commun. Nonlinear Sci. Numer. Simulat., 152 (2026), 109483. https://doi.org/10.1016/j.cnsns.2025.109483 doi: 10.1016/j.cnsns.2025.109483
    [14] G. Narayanan, M. Ali, S. Ahn, Y. Joo, R. Karthikeyan, G. Rajchakit, Fractional impulsive controller design of fractional-order fuzzy systems with average dwell-time strategy and its application to wind energy systems, Commun. Nonlinear Sci. Numer. Simulat., 140 (2025), 108394. http://dx.doi.org/10.1016/j.cnsns.2024.108394 doi: 10.1016/j.cnsns.2024.108394
    [15] Y. Xu, W. X. Liu, Y. B. Wu, W. X. Li, Finite-time synchronization of fractional-order fuzzy time-varying coupled neural networks subject to reaction-diffusion, IEEE T. Fuzzy Syst., 31 (2023), 3423–3432. http://dx.doi.org/10.1109/TFUZZ.2023.3257100 doi: 10.1109/TFUZZ.2023.3257100
    [16] H. L. Li, C. Hu, L. Zhang, H. J. Jiang, J. D. Cao, Complete and finite-time synchronization of fractional-order fuzzy neural networks via nonlinear feedback control, Fuzzy Set. Syst., 443 (2022), 50–69. https://doi.org/10.1016/j.fss.2021.11.004 doi: 10.1016/j.fss.2021.11.004
    [17] H. L. Li, J. D. Cao, C. Hu, L. Zhang, H. J. Jiang, Adaptive control-based synchronization of discrete-time fractional-order fuzzy neural networks with time-varying delays, Neural Netw., 168 (2023), 59–73. https://doi.org/10.1016/j.neunet.2023.09.019 doi: 10.1016/j.neunet.2023.09.019
    [18] J. Li, H. L. Li, J. Yang, L. Zhang, Hybrid control-based synchronization of fractional-order delayed complex-valued fuzzy neural networks, Comput. Appl. Math., 42 (2023), 154. https://doi.org/10.1007/s40314-023-02286-x doi: 10.1007/s40314-023-02286-x
    [19] R. Q. Zhu, Z. Q. Zhang, Asymptotic synchronization of fractional-order fuzzy delayed BAM neural networks by using the integral mean-valued theorem, Fuzzy Set. Syst., 523 (2026), 109637. https://doi.org/10.1016/j.fss.2025.109637 doi: 10.1016/j.fss.2025.109637
    [20] F. Lin, Z. Q. Zhang, Global asymptotic synchronization of a class of BAM neural networks with time delays via integrating inequality techniques, J. Syst. Sci. Complex., 33 (2020), 366–382. http://dx.doi.org/10.1007/s11424-019-8121-4 doi: 10.1007/s11424-019-8121-4
    [21] X. S. Xiong, Z. Q. Zhang, Asymptotic synchronization of conformable fractional-order neural networks by L' Hopital's rule, Chaos Soliton. Fract., 173 (2023), 113665. http://dx.doi.org/10.1016/j.chaos.2023.113665 doi: 10.1016/j.chaos.2023.113665
    [22] F. F. Du, J. G. Lu, Adaptive finite-time synchronization of fractional-order delayed fuzzy cellular neural networks, Fuzzy Set. Syst., 466 (2023), 108480. https://doi.org/10.1016/j.fss.2023.02.001 doi: 10.1016/j.fss.2023.02.001
    [23] H. G. Fan, K. B. Shi, Z. Z. Guo, A. R. Zhou, Finite-time synchronization criteria for Caputo fractional-order uncertain memristive neural networks with fuzzy operators and transmission delay under communication feedback, Fractal Fract., 8 (2024), 619. https://doi.org/10.3390/fractalfract8110619 doi: 10.3390/fractalfract8110619
    [24] H. L. Li, C. Hu, L. Zhang, H. Jiang, J. D. Cao, Non-separation method-based robust finite-time synchronization of uncertain fractional-order quaternion-valued neural networks, Appl. Math. Comput., 409 (2021), 126377. http://dx.doi.org/10.1016/j.amc.2021.126377 doi: 10.1016/j.amc.2021.126377
    [25] M. X. Wang, S. Zhu, W. W. Luo, Z. Zhang, Finite-/Fixed-Time synchronization of coupled memristive neural networks with actuator nonlinearity and applications in secure communication, IEEE T. Circuits-I., 72 (2025), 4334–4345. http://dx.doi.org/10.1109/TCSI.2024.3486586 doi: 10.1109/TCSI.2024.3486586
    [26] H. G. Fan, H. Wen, K. B. Shi, J. Y. Xiao, New fixed-time synchronization criteria for fractional-order fuzzy cellular neural networks with bounded uncertainties and transmission delays via multi-module control schemes, Fractal Fract‌., 10 (2026), 91. https://doi.org/10.3390/fractalfract10020091 doi: 10.3390/fractalfract10020091
    [27] Y. Wan, L. Q. Zhou, Fixed-time synchronization of discontinuous proportional delay inertial neural networks with uncertain parameters, Inform. Sci., 678 (2024), 120931. http://dx.doi.org/10.1016/j.ins.2024.120931 doi: 10.1016/j.ins.2024.120931
    [28] P. Kumar, E. A. Assali, Fixed-time synchronization of fractional-order Hopfield neural networks with proportional delays, Math. Comput. Simulat., ‌ 240 (2026), 367–380. https://doi.org/10.1016/j.matcom.2025.07.035 doi: 10.1016/j.matcom.2025.07.035
    [29] Z. Tang, J. H. Park, Y. Wang, J. W. Feng, Distributed impulsive quasi-synchronization of Lure networks with proportional delay, IEEE T. Cybern.‌, 49 (2019), 3105–3115. http://dx.doi.org/10.1109/TCYB.2018.2839178 doi: 10.1109/TCYB.2018.2839178
    [30] H. Y. Yan, Y. H. Qiao, L. J. Duan, J. Miao, New results of quasi-projective synchronization for fractional-order complex-valued neural networks with leakage and discrete delays, Chaos Soliton. Fract., 159 (2022), 112121. http://dx.doi.org/10.1016/j.chaos.2022.112121 doi: 10.1016/j.chaos.2022.112121
    [31] C. H. Wang, H. L. Li, L. Zhang, C. Hu, J. D. Cao, Synchronization of fractional-order complex-valued T-S fuzzy reaction-diffusion neural networks with time delays and parameter uncertainties, Commun. Nonlinear Sci. Numer. Simulat., 155 (2026), 109594. https://doi.org/10.1016/j.cnsns.2025.109594 doi: 10.1016/j.cnsns.2025.109594
    [32] H. Li, C. Hu, J. Cao, H. Jiang, A. Alsaedi, Quasi-projective and complete synchronization of fractional-order complex-valued neural networks with time delays, Neural Netw., 118 (2019), 102–109. http://dx.doi.org/10.1016/j.neunet.2019.06.008 doi: 10.1016/j.neunet.2019.06.008
    [33] X. B. Chen, R. Y. Ye, H. Zhang, I. Stamova, J. D. Cao, Finite-time synchronization criteria on delayed FOCVNNs with uncertain parameters and difference operator, J. Franklin Inst., 361 (2024), 107017. https://doi.org/10.1016/j.jfranklin.2024.107017 doi: 10.1016/j.jfranklin.2024.107017
    [34] R. Y. Ye, X. B. Chen, H. Zhang, J. D. Cao, Novel adaptive pinning synchronization criteria for delayed Caputo-type fuzzy neural networks with uncertain parameters, Int. J. Control Autom., 22 (2024), 2942–2953. http://dx.doi.org/10.1007/s12555-023-0908-3 doi: 10.1007/s12555-023-0908-3
    [35] Z. J. Su, H. L. Li, Y. Wang, Y. Q. Chen, J. D. Cao, Synchronization of discrete-time tempered fractional-order fuzzy competitive neural networks with uncertain parameters and time-varying delays, Commun. Nonlinear Sci., ‌ 155 (2026), 109603. http://dx.doi.org/10.1016/j.cnsns.2025.109603 doi: 10.1016/j.cnsns.2025.109603
    [36] F. F. Du, J. G. Lu, Finite-time synchronization of fractional-order delayed fuzzy cellar neural networks with parameter uncertainties, IEEE T. Fuzzy Syst., 31 (2023), 1769–1779. https://doi.org/10.1109/Tfuzz.2022.3214070 doi: 10.1109/Tfuzz.2022.3214070
    [37] W. G. Sun, Y. Q. Wu, J. Y. Zhang, S. Qin, Inner and outer synchronization between two coupled networks with interactions, J. Franklin Inst., 352 (2015), 3166–3177. http://dx.doi.org/10.1016/j.jfranklin.2014.08.004 doi: 10.1016/j.jfranklin.2014.08.004
    [38] W. Y. Ma, C. P. Li, Y. J. Wu, Y. Q. Wu, Synchronization of fractional fuzzy cellular neural networks with interactions, Chaos, 27 (2017), 103106. https://doi.org/10.1063/1.5006194 doi: 10.1063/1.5006194
    [39] J. Liu, W. J. Deng, S. Q. Sun, K. B. Shi, Novel fixed-time synchronization results of fractional-order fuzzy cellular neural networks with delays and interactions, AIMS Math., 9 (2024), 13245–13264. http://dx.doi.org/10.3934/math.2024646 doi: 10.3934/math.2024646
    [40] X. N. Yin, H. M. Zhang, H. Zhang, W. W. Zhang, J. D. Cao, New results of global Mittag-Leffler synchronization on Caputo fuzzy delayed inertial neural networks, Nonlinear Anal.-Model., 28 (2023), 613–631. http://dx.doi.org/10.15388/namc.2023.28.31878 doi: 10.15388/namc.2023.28.31878
    [41] H. Dai, W. Chen, New power law inequalities for fractional derivative and stability analysis of fractional order systems, Nonlinear Dyn., 87 (2017), 1531–1542. http://dx.doi.org/10.1007/s11071-016-3131-4 doi: 10.1007/s11071-016-3131-4
    [42] S. Zhang, Y. Yu, H. Wang, Mittag-Leffler stability of fractional-order Hopfield neural networks, Nonlinear Anal.-Hybri., 16 (2015), 104–121. http://dx.doi.org/10.1016/j.nahs.2014.10.001 doi: 10.1016/j.nahs.2014.10.001
    [43] J. Yu, C. Hu, H. Jiang, Corrigendum to "projective synchronization for fractional neural networks", Neural Netw., 67 (2015), 152–154. https://doi.org/10.1016/j.neunet.2015.02.007 doi: 10.1016/j.neunet.2015.02.007
    [44] D. Basua, S. N. Bora, Nonlinear analysis for Hilfer fractional differential equations, Franklin Open, 13 (2025), 100383. https://doi.org/10.1016/j.fraope.2025.100383 doi: 10.1016/j.fraope.2025.100383
    [45] P. Mani, R. Rajan, L. Shanmugam, Y. Joo, Adaptive control for fractional order induced chaotic fuzzy cellular neural networks and its application to image encryption, Inform. Sci., 491 (2019), 74–89. https://doi.org/10.1016/j.ins.2019.04.007 doi: 10.1016/j.ins.2019.04.007
    [46] A. M. Zou, Z. G. Hou, M. Tan, Adaptive control of a class of nonlinear pure feedback systems using fuzzy backstepping approach, IEEE T. Fuzzy Syst., 16 (2008), 886–897. http://dx.doi.org/10.1109/tfuzz.2008.917301 doi: 10.1109/tfuzz.2008.917301
  • Reader Comments
  • © 2026 the Author(s), licensee AIMS Press. This is an open access article distributed under the terms of the Creative Commons Attribution License (http://creativecommons.org/licenses/by/4.0)
通讯作者: 陈斌, bchen63@163.com
  • 1. 

    沈阳化工大学材料科学与工程学院 沈阳 110142

  1. 本站搜索
  2. 百度学术搜索
  3. 万方数据库搜索
  4. CNKI搜索

Metrics

Article views(544) PDF downloads(49) Cited by(1)

Article outline

Figures and Tables

Figures(13)  /  Tables(2)

Other Articles By Authors

/

DownLoad:  Full-Size Img  PowerPoint
Return
Return

Catalog