Research article

A robust dual spectral-spline framework for stochastic fractional equations perturbed by white noise

  • Published: 02 April 2026
  • MSC : 60H15, 65C30, 65N35

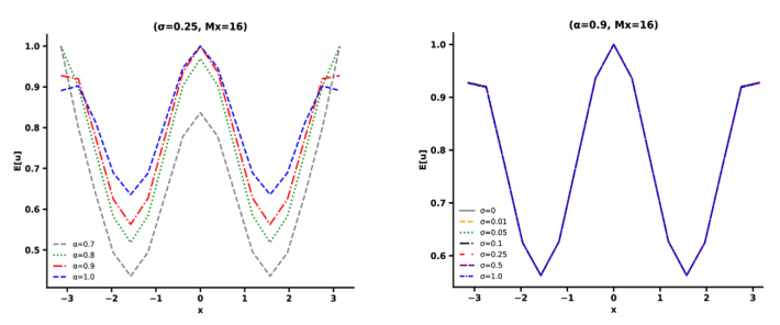
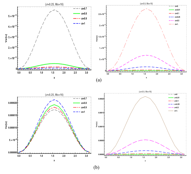
  • In this research, we introduced dual numerical frameworks for stochastic time-fractional partial differential equations (STFPDEs) driven by additive white noise. The sifted Vieta–Fibonacci polynomials (SVFPs) and the ten non-polynomial cubic spline (TNPCS) approach are the foundation for our spectral-spline frameworks. The suggested methods were used to solve two STFPDEs: The nonlinear STF Burger's equation and the linear STF heat equation, and they approximated stochastic trajectories with high precision. This analysis showed a substantial decrease in variance, and the mean profile remained constant despite stochastic effects. The key contribution of this paper is the introduction of two separate spectral-spline numerical approaches derived from the SVFPs and the TNPCS formulations for handling stochastic fractional models. By applying each approach independently and comparing their results side by side, the study provides clearer insight into their numerical performance, stability, and practical usefulness in simulating stochastic fractional dynamics. All computations were implemented using Mathematica 12 and Jupyter Notebook, which ensured the validity, dependability, and reliability of our algorithms against noise propagation.

    Citation: Aisha F. Fareed, Mourad S. Semary, Dokhyl M. Alqahtani, Emad A. Mohamed, Ahmed G. Khattab. A robust dual spectral-spline framework for stochastic fractional equations perturbed by white noise[J]. AIMS Mathematics, 2026, 11(4): 8966-8987. doi: 10.3934/math.2026370

    Related Papers:

  • In this research, we introduced dual numerical frameworks for stochastic time-fractional partial differential equations (STFPDEs) driven by additive white noise. The sifted Vieta–Fibonacci polynomials (SVFPs) and the ten non-polynomial cubic spline (TNPCS) approach are the foundation for our spectral-spline frameworks. The suggested methods were used to solve two STFPDEs: The nonlinear STF Burger's equation and the linear STF heat equation, and they approximated stochastic trajectories with high precision. This analysis showed a substantial decrease in variance, and the mean profile remained constant despite stochastic effects. The key contribution of this paper is the introduction of two separate spectral-spline numerical approaches derived from the SVFPs and the TNPCS formulations for handling stochastic fractional models. By applying each approach independently and comparing their results side by side, the study provides clearer insight into their numerical performance, stability, and practical usefulness in simulating stochastic fractional dynamics. All computations were implemented using Mathematica 12 and Jupyter Notebook, which ensured the validity, dependability, and reliability of our algorithms against noise propagation.



    加载中


    [1] F. Liu, P. Zhuang, Q. Liu, Numerical methods of fractional partial differential equations and applications, Science Press, 2015.
    [2] D. Baleanu, K. Diethelm, E. Scalas, J. J. Trujillo, Fractional calculus: models and numerical methods, World Scientific, 2012. https://doi.org/10.1142/8180
    [3] M. D'Elia, Q. Du, C. Glusa, M. Gunzburger, X. Tian, Z. Zhou, Numerical methods for nonlocal and fractional models, Acta Numer., 29 (2020), 1–124. https://doi.org/10.1017/S096249292000001X doi: 10.1017/S096249292000001X
    [4] R. L. Magin, Fractional calculus models of complex dynamics in biological tissues, Comput. Math. Appl., 59 (2010), 1586–1593. https://doi.org/10.1016/j.camwa.2009.08.039 doi: 10.1016/j.camwa.2009.08.039
    [5] K. Moaddy, A. G. Radwan, K. N. Salama, S. Momani, I. Hashim, The fractional-order modeling and synchronization of electrically coupled neuron systems, Comput. Math. Appl., 64 (2012), 3329–3339. https://doi.org/10.1016/j.camwa.2012.01.005 doi: 10.1016/j.camwa.2012.01.005
    [6] A. Kilbas, H. M. Srivastava, J. J. Trujillo, Theory and applications of fractional differential equations, Elsevier, 2006.
    [7] A. F. Fareed, M. S. Semary, Stochastic improved Simpson for solving nonlinear fractional-order systems using product integration rules, Nonlinear Eng., 14 (2025), 20240070. https://doi.org/10.1515/nleng-2024-0070 doi: 10.1515/nleng-2024-0070
    [8] A. F. Fareed, E. A. Mohamed, A. Mokhtar, M. S. Semary, A novel fractional integral transform-based homotopy perturbation method for some nonlinear differential systems, Fractal Fract., 9 (2025), 212. https://doi.org/10.3390/fractalfract9040212 doi: 10.3390/fractalfract9040212
    [9] D. Uma, H. Jafari, S. R. Balachandar, S. G. Venkatesh, An approximation method for stochastic heat equation driven by white noise, Int. J. Appl. Comput. Math., 8 (2022), 274. https://doi.org/10.1007/s40819-022-01376-4 doi: 10.1007/s40819-022-01376-4
    [10] A. Nouy, Recent developments in spectral stochastic methods for the numerical solution of stochastic partial differential equations, Arch. Comput. Methods Eng., 16 (2009), 251–285. https://doi.org/10.1007/s11831-009-9034-5 doi: 10.1007/s11831-009-9034-5
    [11] A. G. Khattab, D. A. Hammad, M. S. Semary, E. A. Mohamed, I. Malik, A. F. Fareed, A novel spectral framework for stochastic differential equations: leveraging shifted Vieta–Fibonacci polynomials, AIMS Math., 10 (2025), 30134–30161. https://doi.org/10.3934/math.20251324 doi: 10.3934/math.20251324
    [12] A. F. Fareed, A. G. Khattab, M. S. Semary, A novel stochastic ten non-polynomial cubic splines method for heat equations with noise term, Partial Differ. Equations Appl. Math., 10 (2024) 100677. https://doi.org/10.1016/j.padiff.2024.100677 doi: 10.1016/j.padiff.2024.100677
    [13] Y. H. Youssri, M. M. Muttardi, A mingled tau-finite difference method for stochastic first-order partial differential equations, Int. J. Appl. Comput. Math., 9 (2023), 14. https://doi.org/10.1007/s40819-023-01489-4 doi: 10.1007/s40819-023-01489-4
    [14] M. Gerencsér, I. Gyöngy, Finite difference schemes for stochastic partial differential equations in Sobolev spaces, Appl. Math. Optim., 72 (2015), 77–100. https://doi.org/10.1007/s00245-014-9272-2 doi: 10.1007/s00245-014-9272-2
    [15] A. G. Khattab, M. S. Semary, D. A. Hammad, A. F. Fareed, Exploring stochastic heat equations: a numerical analysis with fast discrete fourier transform techniques, Axioms, 13 (2024), 886. https://doi.org/10.3390/axioms13120886 doi: 10.3390/axioms13120886
    [16] I. Masti, K. Sayevand, On collocation-Galerkin method and fractional B-spline functions for a class of stochastic fractional integro-differential equations, Math. Comput. Simul., 216 (2024), 263–287. https://doi.org/10.1016/j.matcom.2023.09.013 doi: 10.1016/j.matcom.2023.09.013
    [17] A. F. Fareed, E. A. Mohamed, M. Aly, M. S. Semary, A novel numerical method for stochastic conformable fractional differential systems, AIMS Math., 10 (2025) 7509–7525. https://doi.org/10.3934/math.2025345 doi: 10.3934/math.2025345
    [18] A. F. Fareed, M. Aly, E. A. Mohamed, M. S. Semary, An effective numerical approach to stochastic systems with conformable fractional noise: a unified analysis of convergence and stability, Mathematics, 13 (2025), 3966. https://doi.org/10.3390/math13243966 doi: 10.3390/math13243966
    [19] R. Anton, D. Cohen, L. Quer-Sardanyons, A fully discrete approximation of the one-dimensional stochastic heat equation, IMA J. Numer. Anal., 40 (2020), 247–284. https://doi.org/10.1093/imanum/dry060 doi: 10.1093/imanum/dry060
    [20] S. M. Hosseini, Z. Asgari, Solution of stochastic nonlinear time fractional PDEs using polynomial chaos expansion combined with an exponential integrator, Comput. Math. Appl., 73 (2017), 997–1007. https://doi.org/10.1016/j.camwa.2016.07.021 doi: 10.1016/j.camwa.2016.07.021
    [21] G. A. Zou, A Galerkin finite element method for time-fractional stochastic heat equation, Comput. Math. Appl., 75 (2018), 4135–4150. https://doi.org/10.1016/j.camwa.2018.03.019 doi: 10.1016/j.camwa.2018.03.019
    [22] R. Sharma, Rajeev, A numerical approach based on Vieta–Fibonacci polynomials to solve fractional order advection–reaction diffusion problem, J. Anal., 33 (2024), 1251–1275. https://doi.org/10.1007/s41478-024-00804-6 doi: 10.1007/s41478-024-00804-6
    [23] A. Moumen, A. Mennouni, M. Bouye, A novel Vieta–Fibonacci projection method for solving a system of fractional integrodifferential equations, Mathematics, 11 (2023), 3985. https://doi.org/10.3390/math11183985 doi: 10.3390/math11183985
    [24] S. M. Sivalingam, P. Kumar, V. Govindaraj, R. A. Qahiti, W. Hamali, Z. M. Mutum, An operational matrix approach with Vieta–Fibonacci polynomial for solving generalized Caputo fractal-fractional differential equations, Ain Shams Eng. J., 15 (2024), 102678. https://doi.org/10.1016/j.asej.2024.102678 doi: 10.1016/j.asej.2024.102678
    [25] H. Azin, M. H. Heydari, F. Mohammadi, Vieta–Fibonacci wavelets: application in solving fractional pantograph equations, Math. Methods Appl. Sci., 45 (2022), 411–422. https://doi.org/10.1002/mma.7783 doi: 10.1002/mma.7783
    [26] K. Sadri, K. Hosseini, D. Baleanu, S. Salahshour, C. Park, Designing a matrix collocation method for fractional delay integro-differential equations with weakly singular kernels based on Vieta–Fibonacci polynomials, Fractal Fract., 6 (2022), 2. https://doi.org/10.3390/fractalfract6010002 doi: 10.1002/mma.7783
    [27] P. Agarwal, A. A. El-Sayed, J. Tariboon, Vieta–Fibonacci operational matrices for spectral solutions of variable-order fractional integro-differential equations, J. Comput. Appl. Math., 382 (2021), 113063. https://doi.org/10.1016/j.cam.2020.113063 doi: 10.3390/fractalfract6010002
    [28] M. H. Heydari, Z. Avazzadeh, A. Atangana, Shifted Vieta-Fibonacci polynomials for the fractal-fractional fifth-order KdV equation, Math. Methods Appl. Sci., 44 (2021), 7219. https://doi.org/10.1002/mma.7219 doi: 10.1016/j.cam.2020.113063
    [29] D. A. Hammad, M. S. Semary, A. G. Khattab, Ten non-polynomial cubic splines for some classes of Fredholm integral equations, Ain Shams Eng. J., 13 (2022), 101666. https://doi.org/10.1016/j.asej.2021.101666 doi: 10.1002/mma.7219
    [30] D. A. Hammad, M. S. Semary, A. G. Khattab, Parametric quintic spline for time fractional Burger's and coupled Burgers' equations, Fixed Point Theory Algorithms Sci. Eng., 2023 (2023), 9. https://doi.org/10.1186/s13663-023-00740-3 doi: 10.1016/j.asej.2021.101666
  • Reader Comments
  • © 2026 the Author(s), licensee AIMS Press. This is an open access article distributed under the terms of the Creative Commons Attribution License (http://creativecommons.org/licenses/by/4.0)
通讯作者: 陈斌, bchen63@163.com
  • 1. 

    沈阳化工大学材料科学与工程学院 沈阳 110142

  1. 本站搜索
  2. 百度学术搜索
  3. 万方数据库搜索
  4. CNKI搜索

Metrics

Article views(462) PDF downloads(44) Cited by(0)

Article outline

Figures and Tables

Figures(6)  /  Tables(2)

/

DownLoad:  Full-Size Img  PowerPoint
Return
Return

Catalog