Research article Special Issues

A logarithmic–gamma frailty model for first-failure times with heavy-tailed risk

  • Published: 01 April 2026
  • MSC : 60E05, 62E15, 62F10

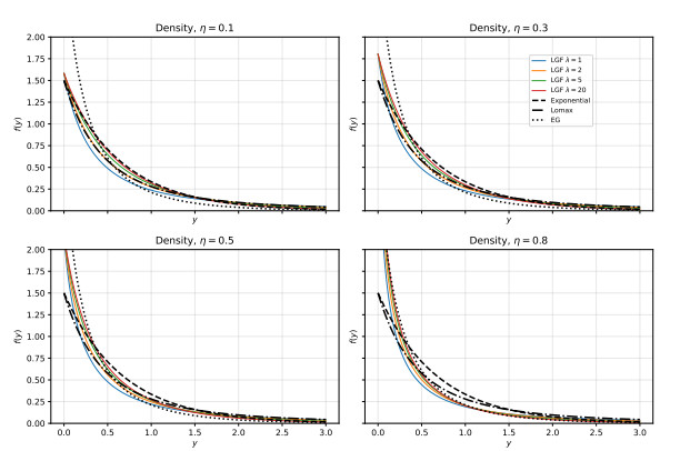
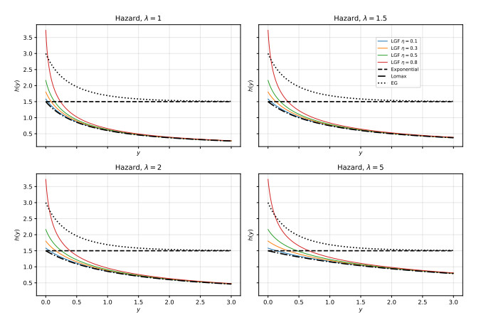
  • We propose a new lifetime distribution for first-failure times in heterogeneous systems by combining exponential component lifetimes with a shared gamma frailty and a logarithmic distribution governing the latent number of competing failure causes. The model is constructed as the minimum lifetime among a random number of conditionally exponential components, where the system size follows a logarithmic distribution, and all components share an unobserved gamma-distributed risk factor. The resulting marginal distribution is a logarithmic mixture of Lomax distributions and admits tractable series expressions for the probability density, distribution, survival, and hazard functions. We show that the conditional model $ Y\mid N = n $ has a strictly decreasing failure rate and exhibits heavy-tailed behavior. We investigate the marginal hazard behavior of the proposed mixture numerically, and classical models such as the exponential–logarithmic, Lomax, and exponential distributions arise as limiting cases. Maximum likelihood and expectation–maximization (EM)-type estimation procedures are developed, and the flexibility of the model is illustrated through simulation and a real data application. In first-failure-only settings, the logarithmic mixing parameter $ \eta $ may be weakly identifiable and therefore difficult to estimate reliably from the observed data alone.

    Citation: Mohieddine Rahmouni. A logarithmic–gamma frailty model for first-failure times with heavy-tailed risk[J]. AIMS Mathematics, 2026, 11(4): 8945-8965. doi: 10.3934/math.2026369

    Related Papers:

  • We propose a new lifetime distribution for first-failure times in heterogeneous systems by combining exponential component lifetimes with a shared gamma frailty and a logarithmic distribution governing the latent number of competing failure causes. The model is constructed as the minimum lifetime among a random number of conditionally exponential components, where the system size follows a logarithmic distribution, and all components share an unobserved gamma-distributed risk factor. The resulting marginal distribution is a logarithmic mixture of Lomax distributions and admits tractable series expressions for the probability density, distribution, survival, and hazard functions. We show that the conditional model $ Y\mid N = n $ has a strictly decreasing failure rate and exhibits heavy-tailed behavior. We investigate the marginal hazard behavior of the proposed mixture numerically, and classical models such as the exponential–logarithmic, Lomax, and exponential distributions arise as limiting cases. Maximum likelihood and expectation–maximization (EM)-type estimation procedures are developed, and the flexibility of the model is illustrated through simulation and a real data application. In first-failure-only settings, the logarithmic mixing parameter $ \eta $ may be weakly identifiable and therefore difficult to estimate reliably from the observed data alone.



    加载中


    [1] J. Guo, X. Kong, N. Wu, L. Xie, Evaluating the lifetime distribution parameters and reliability of products using successive approximation method, Qual. Reliab. Eng. Int., 40 (2024), 3280–3303. http://dx.doi.org/10.1002/qre.3559 doi: 10.1002/qre.3559
    [2] M. Xu, H. Mao, q-weibull distributions: Perspectives and applications in reliability engineering, IEEE T. Reliab., 74 (2025), 3112–3125. http://dx.doi.org/10.1109/tr.2024.3448289 doi: 10.1109/tr.2024.3448289
    [3] Y. J. Yang, W. Wang, X. Y. Zhang, Y. L. Xiong, G. H. Wang, Lifetime data modelling and reliability analysis based on modified weibull extension distribution and bayesian approach, J. Mech. Sci. Technol., 32 (2018), 5121–5126. http://dx.doi.org/10.1007/s12206-018-1009-8 doi: 10.1007/s12206-018-1009-8
    [4] M. E. Bakr, O. S. Balogun, A. A. El-Toony, A. M. Gadallah, Reliability analysis for unknown age class of lifetime distribution with real applications in medical science, Symmetry, 16 (2024), 2073–8994. http://dx.doi.org/10.3390/sym16111514 doi: 10.3390/sym16111514
    [5] N. Feroze, U. Tahir, M. Noor-ul Amin, K. S. Nisar, M. S. Alqahtani, M. Abbas, et al., Applicability of modified weibull extension distribution in modeling censored medical datasets: A Bayesian perspective, Sci. Rep., 12 (2022), 2045–2322. http://dx.doi.org/10.1038/s41598-022-21326-w doi: 10.1038/s41598-022-21326-w
    [6] N. M. Alfaer, A. M. Gemeay, H. M. Aljohani, A. Z. Afify, The extended log-logistic distribution: Inference and actuarial applications, Mathematics, 9 (2021), 1386. http://dx.doi.org/10.3390/math9121386 doi: 10.3390/math9121386
    [7] S. Chowdhury, A. K. Nanda, A new lifetime distribution with applications in inventory and insurance, Int. J. Qual. Reliab. Ma., 35 (2018), 527–544. http://dx.doi.org/10.1108/ijqrm-12-2016-0227 doi: 10.1108/ijqrm-12-2016-0227
    [8] F. H. Riad, A. Radwan, E. M. Almetwally, M. Elgarhy, A new heavy tailed distribution with actuarial measures, J. Radiat. Res. Appl. Sci., 16 (2023), 100562. http://dx.doi.org/10.1016/j.jrras.2023.100562 doi: 10.1016/j.jrras.2023.100562
    [9] A. Hurwitz, O. S. Mitchell, Financial regret at older ages and longevity awareness, J. Risk Insur., 92 (2025), 719–739. http://dx.doi.org/10.1111/jori.70008 doi: 10.1111/jori.70008
    [10] R. C. Merton, Lifetime portfolio selection under uncertainty: The continuous-time case, Rev. Econ. Stat., 51 (1969), 247. http://dx.doi.org/10.2307/1926560 doi: 10.2307/1926560
    [11] K. K. Anakha, V. M. Chacko, On comparative lifetime analysis with the generalized Lindley distribution: Insights from joint adaptive progressive Type-Ⅱ censoring, J. Stat. Comput. Sim., 95 (2025), 2466–2493. http://dx.doi.org/10.1080/00949655.2025.2496397 doi: 10.1080/00949655.2025.2496397
    [12] J. Lei, W. Kuo, An order statistics perspective for system reliability, Appl. Stoch. Model. Bus., 41 (2024). http://dx.doi.org/10.1002/asmb.2895 doi: 10.1002/asmb.2895
    [13] H. W. Jones, Four problematic methods in reliability analysis, In: 2025 Annual Reliability and Maintainability Symposium (RAMS), IEEE, 2025, 1–6. http://dx.doi.org/10.1109/rams48127.2025.10935161
    [14] J. Gillariose, M. M. Abdelwahab, J. Joseph, M. M. Hasaballah, A gauss hypergeometric-type model for heavy-tailed survival times in biomedical research, Symmetry, 17 (2025), 1795. http://dx.doi.org/10.3390/sym17111795 doi: 10.3390/sym17111795
    [15] J. Yslas, Phase-type frailty models: A flexible approach to modeling unobserved heterogeneity in survival analysis, Scand. Actuar. J., 2025, 1–29. http://dx.doi.org/10.1080/03461238.2025.2520586 doi: 10.1080/03461238.2025.2520586
    [16] M. Rahmouni, D. Ziedan, The weibull-generalized shifted geometric distribution: Properties, estimation, and applications, AIMS Math., 10 (2025), 9773–9804. http://dx.doi.org/10.3934/math.2025448 doi: 10.3934/math.2025448
    [17] M. Rahmouni, The doubly generalized exponential-geometric frailty distribution, AIMS Math., 10 (2025), 30384–30428. http://dx.doi.org/10.3934/math.20251334 doi: 10.3934/math.20251334
    [18] K. Adamidis, S. Loukas, A lifetime distribution with decreasing failure rate, Stat. Probabil. Lett., 39 (1998), 35–42. http://dx.doi.org/10.1016/s0167-7152(98)00012-1 doi: 10.1016/s0167-7152(98)00012-1
    [19] D. D. Hanagal, Frailty models in public health, Disease Modelling and Public Health, Part B, Handbook of Statistics, chapter Frailty Models in Public Health, Elsevier, 37 (2017), 209–247. http://dx.doi.org/10.1016/bs.host.2017.07.004
    [20] P. Hougaard, Frailty models for survival data, Lifetime Data Anal., 1 (1995), 255–273. http://dx.doi.org/10.1007/bf00985760 doi: 10.1007/bf00985760
    [21] C. D. Lai, M. Izadi, Generalized logistic frailty model, Stat. Probabil. Lett., 82 (2012), 1969–1977. http://dx.doi.org/10.1016/j.spl.2012.06.012 doi: 10.1016/j.spl.2012.06.012
    [22] T. A. Balan, H. Putter, A tutorial on frailty models, Stat. Methods Med. Res., 29 (2020), 3424–3454. http://dx.doi.org/10.1177/0962280220921889 doi: 10.1177/0962280220921889
    [23] K. S. Lomax, Business failures: Another example of the analysis of failure data, J. Am. Stat. Assoc., 49 (1954), 847–852. http://dx.doi.org/10.1080/01621459.1954.10501239 doi: 10.1080/01621459.1954.10501239
    [24] F. A. Moala, L. M. Garcia, A bayesian analysis for the parameters of the exponential-logarithmic distribution, Qual. Eng., 25 (2013), 282–291. http://dx.doi.org/10.1080/08982112.2013.764431 doi: 10.1080/08982112.2013.764431
    [25] M. Rahmouni, A. Orabi, A generalization of the exponential-logarithmic distribution for reliability and life data analysis, Life Cycle Reliab. Safety Eng., 7 (2018), 159–171. http://dx.doi.org/10.1007/s41872-018-0049-5 doi: 10.1007/s41872-018-0049-5
    [26] A. S. Nayal, P. L. Ramos, A. Tyagi, B. Singh, Improving inference in exponential logarithmic distribution, Commun. Stat.- Simul. C., 2025, 1–25. http://dx.doi.org/10.1080/03610918.2024.2446346 doi: 10.1080/03610918.2024.2446346
    [27] E. T. Lee, J. W. Wang, Statistical methods for survival data analysis, Wiley Series in Probability and Statistics, John Wiley & Sons, 2003. http://dx.doi.org/10.1002/0471458546
  • Reader Comments
  • © 2026 the Author(s), licensee AIMS Press. This is an open access article distributed under the terms of the Creative Commons Attribution License (http://creativecommons.org/licenses/by/4.0)
通讯作者: 陈斌, bchen63@163.com
  • 1. 

    沈阳化工大学材料科学与工程学院 沈阳 110142

  1. 本站搜索
  2. 百度学术搜索
  3. 万方数据库搜索
  4. CNKI搜索

Metrics

Article views(551) PDF downloads(138) Cited by(0)

Article outline

Figures and Tables

Figures(3)  /  Tables(2)

Other Articles By Authors

/

DownLoad:  Full-Size Img  PowerPoint
Return
Return

Catalog