Research article Special Issues

Oncological data applications and risk measures of the heavy-tailed Weibull flexible-G family

  • Published: 30 March 2026
  • MSC : 62E10, 60E30

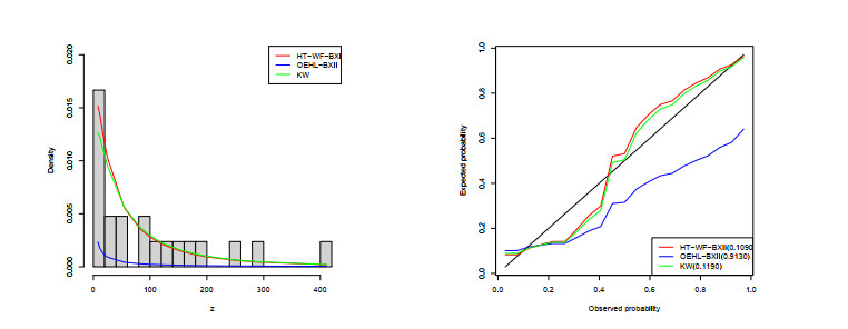
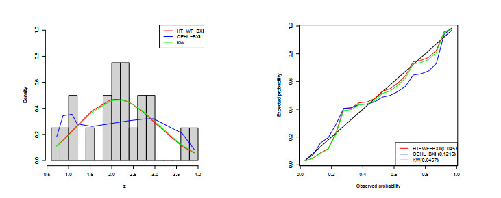
  • We introduce the heavy-tailed Weibull flexible-G (HT-WF-G) family of distributions and derive its fundamental properties, including quantile functions and moments. A maximum likelihood estimation procedure is developed for the parameter inference, with its finite-sample performance and asymptotic properties validated through rigorous Monte Carlo simulation studies. Furthermore, we formulate key actuarial risk metrics including the value at risk (VaR), tail value at risk (TVaR), tail variance (TV), and tail variance premium (TVP) within this flexible framework. The model's practical effectiveness is demonstrated through its application to oncology time-to-event data (lung cancer and acute myeloid leukemia). Empirical results consistently affirm the model's superiority over leading benchmark distributions, as evidenced by significant improvements in the goodness-of-fit criteria, thus establishing the HT-WF-G family as an effective tool for statistical modeling in heavy-tailed and complex survival settings.

    Citation: Fastel Chipepa, Mahmoud M. Abdelwahab, Wilbert Nkomo, Mustafa M. Hasaballah. Oncological data applications and risk measures of the heavy-tailed Weibull flexible-G family[J]. AIMS Mathematics, 2026, 11(3): 8382-8406. doi: 10.3934/math.2026344

    Related Papers:

  • We introduce the heavy-tailed Weibull flexible-G (HT-WF-G) family of distributions and derive its fundamental properties, including quantile functions and moments. A maximum likelihood estimation procedure is developed for the parameter inference, with its finite-sample performance and asymptotic properties validated through rigorous Monte Carlo simulation studies. Furthermore, we formulate key actuarial risk metrics including the value at risk (VaR), tail value at risk (TVaR), tail variance (TV), and tail variance premium (TVP) within this flexible framework. The model's practical effectiveness is demonstrated through its application to oncology time-to-event data (lung cancer and acute myeloid leukemia). Empirical results consistently affirm the model's superiority over leading benchmark distributions, as evidenced by significant improvements in the goodness-of-fit criteria, thus establishing the HT-WF-G family as an effective tool for statistical modeling in heavy-tailed and complex survival settings.



    加载中


    [1] A. Alzaatreh, C. Lee, F. Famoye, A new method for generating families of continuous distributions, Metron, 71 (2013), 63–79. https://doi.org/10.1007/s40300-013-0007-y doi: 10.1007/s40300-013-0007-y
    [2] M. H. Tahir, M. Zubair, M. Mansoor, G. M. Cordeiro, M. Alizadeh, G. G. Hamedani, A new Weibull-G family of distributions, Hacettepe J. Math. Stat., 45 (2016), 629–647.
    [3] G. M. Cordeiro, M. Alizadeh, E. M. Ortega, The expo- nentiated half-logistic family of distributions: properties and applications, J. Probab. Stat., 4 (2014), 864396. https://doi.org/10.1155/2014/864396 doi: 10.1155/2014/864396
    [4] W. Zhao, S. K. Khosa, Z. Ahmad, M. Aslam, A. Z. Afify, Type-Ⅰ heavy tailed family with applications in medicine, engineering and insurance, PloS One, 15 (2020), e0237462. https://doi.org/10.1371/journal.pone.0237462 doi: 10.1371/journal.pone.0237462
    [5] J. Zhao, Z. Ahmad, E. Mahmoudi, E. H. Hafez, M. M. Mohie El-Din, A new class of heavy-tailed distributions: modeling and simulating actuarial measures, Complexity, 2021 (2021), 5580228. https://doi.org/10.1155/2021/5580228 doi: 10.1155/2021/5580228
    [6] W. Nkomo, B. Oluyede, F. Chipepa, Topp-Leone type Ⅰ heavy-tailed-G power series class of distributions: properties, risk measures, and applications, Stat., Optim. Inf. Comput., 13 (2025), 88–110. https://doi.org/10.19139/soic-2310-5070-2039 doi: 10.19139/soic-2310-5070-2039
    [7] A. Z. Afify, A. M. Gemeay, N. A. Ibrahim, The heavy-tailed exponential distribution: risk measures, estimation, and application to actuarial data, Mathematics, 8 (2020), 1–28. https://doi.org/10.3390/math8081276 doi: 10.3390/math8081276
    [8] A. A. M. Teamah, A. A. Elbanna, A. M. Gemeay, Heavy-tailed log-logistic distribution: Properties, risk measures and applications, Stat., Optim. Inf. Comput., 9 (2021), 910–941. https://doi.org/10.19139/soic-2310-5070-1220 doi: 10.19139/soic-2310-5070-1220
    [9] T. Moakofi, B. Oluyede, The type Ⅰ heavy-tailed odd power generalized Weibull-G family of distributions with applications, Commun. Fac. Sci. Univ. Ankara Ser. A1 Math. Stat., 72 (2023), 921–958. https://doi.org/10.31801/cfsuasmas.1195058 doi: 10.31801/cfsuasmas.1195058
    [10] M. Gwazane, B. Oluyede, F. Chipepa, The new family of exponentiated half logistic-type Ⅰ heavy-tailed-G distributions with applications, Electron. J. Appl. Stat. Anal., 18 (2025), 102–132. https://doi.org/10.1285/i20705948v18n1p102 doi: 10.1285/i20705948v18n1p102
    [11] G. Warahena-Liyanage, B. Oluyede, T. Moakofi, The new Ristić-Balakrishnan-heavy-tailed-type Ⅱ Topp-Leone-G family of distributions with ap- plications, J. Stat. Theory Appl., 24 (2025), 354–393. https://doi.org/10.1007/s44199-025-00113-2 doi: 10.1007/s44199-025-00113-2
    [12] W. Nkomo, B. Oluyede, F. Chipepa, Type Ⅰ heavy-tailed family of generalized Burr Ⅲ distributions: properties, actuarial measures, regression and applications, Stat. Transition New Ser., 26 (2025), 93–115. https://doi.org/10.59139/stattrans-2025-006 doi: 10.59139/stattrans-2025-006
    [13] G. M. Cordeiro, E. C. Biazatti, E. M. M Ortega, M. de Lima, S. D. Carmo, L. H. De Santana, The Weibull flexible generalized family of bimodal distributions: properties, simulation, regression models, and applications, Chilean J. Stat., 15 (2024), 27–43. https://doi.org/10.32372/ChJS.15-01-02 doi: 10.32372/ChJS.15-01-02
    [14] M. H. Tahir, M. A. Hussain, G. M. Cordeiro, A new flexible generalized family for constructing many families of distributions, J. Appl. Stat., 49 (2022), 1615–1635. https://doi.org/10.1080/02664763.2021.1874891 doi: 10.1080/02664763.2021.1874891
    [15] M. Bourguignon, R. B. Silva, G. M. Cordeiro, The Weibull-G family of probability distributions, J. Data Sci., 12 (2014), 53–68.
    [16] I. W. Burr, Cumulative frequency functions, Ann. Math. Statist., 13 (1942), 215–232. https://doi.org/10.1214/aoms/1177731607 doi: 10.1214/aoms/1177731607
    [17] A. Henningsen, O. Toomet, maxLik: A package for maximum likelihood estima- tion in R, Comput. Stat., 26 (2011), 443–458. https://doi.org/10.1007/s00180-010-0217-1 doi: 10.1007/s00180-010-0217-1
    [18] M. Aldahlan, A. Z. Afify, The odd exponentiated half-logistic Burr XII distribution, Pak. J. Stat. Oper. Res., 14 (2018), 305–317. https://doi.org/10.18187/pjsor.v14i2.2285 doi: 10.18187/pjsor.v14i2.2285
    [19] T. Moakofi, B. Oluyede, M. Gabanakgosi, The Topp-Leone odd Burr Ⅲ-G family of distributions: model, properties and applications, Stat., Optim. Inf. Comput., 10 (2022), 236–262. https://doi.org/10.19139/soic-2310-5070-1135 doi: 10.19139/soic-2310-5070-1135
    [20] G. M. Cordeiro, E. M. M. Ortega, S. Nadarajah, The Kumaraswamy Weibull distribution with application to failure data, J. Franklin Inst., 347 (2010), 1399–1429. https://doi.org/10.1016/j.jfranklin.2010.06.010 doi: 10.1016/j.jfranklin.2010.06.010
    [21] B. Oluyede, P. O. Peter, N. Ndwapi, H. Bindele, The exponentiated half-logistic odd Burr Ⅲ-G: model, properties and applications, Pak. J. Stat. Oper. Res., 18 (2022), 33–57. https://doi.org/10.18187/pjsor.v18i1.3668 doi: 10.18187/pjsor.v18i1.3668
    [22] E. T. Lee, J. Wang, Statistical methods for survival data analysis, 2 Eds., John Wiley & Sons, 2003. https://doi.org/10.1002/0471458546
    [23] A. Z. Afify, Z. M. Nofal, N. S. Butt, Transmuted complementary Weibull geometric distribution, Pak. J. Stat. Oper. Res., 10 (2014), 435–454. https://doi.org/10.18187/pjsor.v10i4.836 doi: 10.18187/pjsor.v10i4.836
    [24] D. N. P. Murthy, M. Xie, R. Jiang, Weibull models, John Wiley & Sons, 2004. http://dx.doi.org/10.1002/047147326X
  • Reader Comments
  • © 2026 the Author(s), licensee AIMS Press. This is an open access article distributed under the terms of the Creative Commons Attribution License (http://creativecommons.org/licenses/by/4.0)
通讯作者: 陈斌, bchen63@163.com
  • 1. 

    沈阳化工大学材料科学与工程学院 沈阳 110142

  1. 本站搜索
  2. 百度学术搜索
  3. 万方数据库搜索
  4. CNKI搜索

Metrics

Article views(201) PDF downloads(19) Cited by(0)

Article outline

Figures and Tables

Figures(14)  /  Tables(4)

/

DownLoad:  Full-Size Img  PowerPoint
Return
Return

Catalog