Research article Special Issues

Some properties on dynamic cumulative Tsallis residual entropy measures based on Sarmanov family with applications to motor data

  • Published: 27 March 2026
  • MSC : 60B12, 62G30

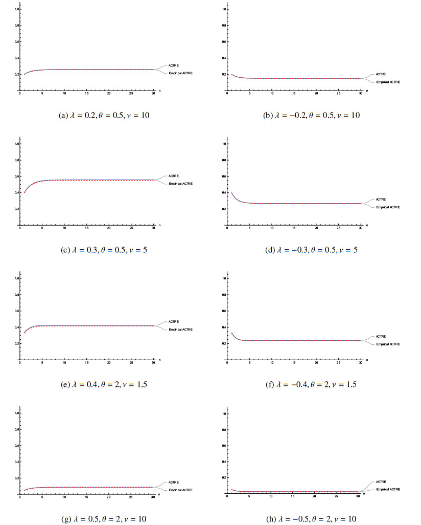
  • This study presents Tsallis and Rényi entropies as continuous measures of information for continuous distributions based on concomitants of generalized order statistics from the Sarmanov (SAR) family. Additionally, the characteristics and their relationship to other information measures are presented. One of such measures is the cumulative Tsallis residual entropy (CTRE), which can be regarded as an alternative measure of dispersion, and we study its dynamic version. Moreover, applications of these results are given for order statistics, and the record values as special cases with uniform, Weibull, and exponential marginal distributions. Furthermore, the empirical alternative CTRE (denoted ACTRE) was proposed to estimate these information measures. Finally, a real-world dataset has been examined for illustrative purposes and demonstrates superior goodness-of-fit and interpretability compared with classical bivariate distributions.

    Citation: M. A. Alawady, H. M. Barakat, Asamh Saleh M. Al Luhayb, G. M. Mansour. Some properties on dynamic cumulative Tsallis residual entropy measures based on Sarmanov family with applications to motor data[J]. AIMS Mathematics, 2026, 11(3): 8271-8307. doi: 10.3934/math.2026340

    Related Papers:

  • This study presents Tsallis and Rényi entropies as continuous measures of information for continuous distributions based on concomitants of generalized order statistics from the Sarmanov (SAR) family. Additionally, the characteristics and their relationship to other information measures are presented. One of such measures is the cumulative Tsallis residual entropy (CTRE), which can be regarded as an alternative measure of dispersion, and we study its dynamic version. Moreover, applications of these results are given for order statistics, and the record values as special cases with uniform, Weibull, and exponential marginal distributions. Furthermore, the empirical alternative CTRE (denoted ACTRE) was proposed to estimate these information measures. Finally, a real-world dataset has been examined for illustrative purposes and demonstrates superior goodness-of-fit and interpretability compared with classical bivariate distributions.



    加载中


    [1] L. Boltzmann, Weitere studien über das Wärmegleichgewicht unter Gasmolekülen, In: S. G. Brush, Kinetische Theorie II. WTB Wissenschaftliche Taschenbucher, Vieweg+Teubner Verlag, 1970. https://doi.org/10.1007/978-3-322-84986-1_3
    [2] C. E. Shannon, A mathematical theory of communication, Bell Syst. Tech. J., 27 (1948), 379–423. https://doi.org/10.1002/j.1538-7305.1948.tb01338.x doi: 10.1002/j.1538-7305.1948.tb01338.x
    [3] C. Tsallis, Possible generalization of Boltzmann-Gibbs statistics, J. Stat. Phys., 52 (1988), 479–487. https://doi.org/10.1007/BF01016429 doi: 10.1007/BF01016429
    [4] A. Rényi, On measures of entropy and information, Math. Stat. Probab., 1961 (1961), 547–562.
    [5] J. Cartwright, Roll over, Boltzmann, Phys. World, 27 (2014), 31–35. https://doi.org/10.1088/2058-7058/27/05/39
    [6] C. Beck, Generalised information and entropy measures in physics, Contemp. Phys., 50 (2009), 495–510. https://doi.org/10.1080/00107510902823517 doi: 10.1080/00107510902823517
    [7] B. Lesche, Instabilities of Rényi entropies, J. Stat. Phys., 27 (1982), 419–422. https://doi.org/10.1007/BF01008947 doi: 10.1007/BF01008947
    [8] C. Tsallis, M. Gell-Mann, Y. Sato, Asymptotically scale-invariant occupancy of phase space makes the entropy $S_{q}$ extensive, Proc. Nat. Acad. Sci., 102 (2005), 15377–15382. https://doi.org/10.1073/pnas.0503807102 doi: 10.1073/pnas.0503807102
    [9] G. Wilk, Z. Wlodarczyk, Example of a possible interpretation of Tsallis entropy, Phys. A, 387 (2008), 4809–4813. https://doi.org/10.1016/j.physa.2008.04.022 doi: 10.1016/j.physa.2008.04.022
    [10] M. Rao, Y. Chen, B. Vemuri, F. Wang, Cumulative residual entropy: a new measure of information, IEEE Trans. Inference Theory, 50 (2004), 1220–1228. https://doi.org/10.1109/TIT.2004.828057 doi: 10.1109/TIT.2004.828057
    [11] M. M. Sati, N. Gupta, Some characterization results on dynamic cumulative residual Tsallis entropy, J. Probab. Stat., 8 (2015), 694203. https://doi.org/10.1155/2015/694203 doi: 10.1155/2015/694203
    [12] M. Asadi, Y. Zohrevand, On the dynamic cumulative residual entropy, J. Stat. Plan. Inference, 137 (2007), 1931–1941. https://doi.org/10.1016/j.jspi.2006.06.035 doi: 10.1016/j.jspi.2006.06.035
    [13] G. Rajesh, S. M. Sunoj, Some properties of cumulative Tsallis entropy of order $\alpha$, Stat. Papers, 60 (2019), 933–943. https://doi.org/10.1007/s00362-016-0855-7 doi: 10.1007/s00362-016-0855-7
    [14] A. Toomaj, H. A. Atabay, Some new findings on the cumulative residual Tsallis entropy, J. Comput. Appl. Math., 400 (2022), 113669. https://doi.org/10.1016/j.cam.2021.113669 doi: 10.1016/j.cam.2021.113669
    [15] N. Kumar, A. Dixit, V. Vijay, Entropy measures and their applications: a comprehensive review, arXiv, 2025. https://doi.org/10.48550/arXiv.2503.15660
    [16] U. Kamps, A concept of generalized order statistics, J. Stat. Plan. Inference, 48 (1995), 1–23. https://doi.org/10.1016/0378-3758(94)00147-N doi: 10.1016/0378-3758(94)00147-N
    [17] U. Kamps, E. Cramer, On distribution of generalized order statistics, Statistics, 35 (2001), 269–280. https://doi.org/10.1080/02331880108802736 doi: 10.1080/02331880108802736
    [18] I. Bairamov, S. Kotz, Dependence structure and symmetry of Huang-Kotz -FGM distributions and their extensions, Metrika, 56 (2002), 55–72. https://doi.org/10.1007/s001840100158 doi: 10.1007/s001840100158
    [19] S. Cambanis, Some properties and generalizations of multivariate Eyraud-Gumbel-Morgenstern distributions, J. Multivar. Anal., 7 (1977), 551–559. https://doi.org/10.1016/0047-259X(77)90066-5 doi: 10.1016/0047-259X(77)90066-5
    [20] J. S. Huang, S. Kotz, Modifications of the Farlie-Gumbel-Morgenstern distributions. A tough hill to climb, Metrika, 49 (1999), 135–145. https://doi.org/10.1007/s001840050030 doi: 10.1007/s001840050030
    [21] H. Bekrizadeh, G. A. Parham, M. R. Zadkarmi, The new generalization of Farlie-Gumbel-Morgenstern copulas, App. Math. Sci., 6 (2012), 3527–3533.
    [22] M. A. Abd Elgawad, H. M. Barakat, S. Xiong, S. A. Alyami, Information measures for generalized order statistics and their concomitants under general framework from Huang-Kotz FGM bivariate distribution, Entropy, 23 (2021), 335. https://doi.org/10.3390/e23030335 doi: 10.3390/e23030335
    [23] M. A. Abd Elgawad, M. A. Alawady, H. M. Barakat, G. M. Mansour, I. A. Husseiny, S. A. Alyami, et al., Bivariate power Lomax Sarmanov distribution: statistical properties, reliability measures, and parameter estimation, Alex. Eng. J., 113 (2025), 593–610. https://doi.org/10.1016/j.aej.2024.10.074 doi: 10.1016/j.aej.2024.10.074
    [24] M. A. Alawady, H. M. Barakat, M. A. A. Elgawad, Concomitants of generalized order statistics from bivariate cambanis family of distributions under a general setting, Bull. Malays. Math. Sci. Soc., 44 (2021), 3129–3159. https://doi.org/10.1007/s40840-021-01102-1 doi: 10.1007/s40840-021-01102-1
    [25] M. A. Alawady, H. M. Barakat, S. Xiong, M. A. A. Elgawad, On concomitants of dual generalized order statistics from Bairamov-Kotz-Becki Farlie-Gumbel-Morgenstern bivariate distributions, Asian Eur. J. Math., 14 (2021), 2150185. https://doi.org/10.1142/S1793557121501850 doi: 10.1142/S1793557121501850
    [26] H. M. Barakat, I. A. Husseiny, Some information measures in concomitants of generalized order statistics under iterated Farlie-Gumbel-Morgenstern bivariate type, Quaestiones Math., 44 (2021), 581–598. https://doi.org/10.2989/16073606.2020.1729271 doi: 10.2989/16073606.2020.1729271
    [27] I. A. Husseiny, H. M. Barakat, G. M. Mansour, M. A. Alawady, Information measures in records and their concomitants arising from Sarmanov family of bivariate distributions, J. Comput. Appl. Math., 408 (2022), 114120. https://doi.org/10.1016/j.cam.2022.11412 doi: 10.1016/j.cam.2022.11412
    [28] I. A. Husseiny, A. M. A. Aldawsari, A. S. M. A. Luhayb, R. Alotaibi, Advanced modeling of dependent structures using the FGM-quadratic exponential bivariate distribution: Applications in computer and material sciences, AIMS Math., 10 (2025), 21642–21674. https://doi.org/10.3934/math.2025962 doi: 10.3934/math.2025962
    [29] G. M. Mansour, H. M. Barakat, M. A. Alawady, M. A. A. Elgawad, H. N. Alqifari, T. S. Taher, et al., Uncertainty measures for concomitants of upper $k$-record values based on the Huang-Kotz-Morgenstern type II family, AIMS Math., 10 (2025), 29071–29106. https://doi.org/10.3934/math.20251279 doi: 10.3934/math.20251279
    [30] M. A. Alawady, H. M. Barakat, G. M. Mansour, I. A. Husseiny, Information measures and concomitants of $k$-record values based on Sarmanov family of bivariate distributions, Bull. Malays. Math. Sci. Soc., 46 (2023), 9. https://doi.org/10.1007/s40840-022-01396-9 doi: 10.1007/s40840-022-01396-9
    [31] H. M. Barakat, M. A. Alawady, I. A. Husseiny, G. M. Mansour, Sarmanov family of bivariate distributions: statistical properties-concomitants of order statistics-information measures, Bull. Malays. Math. Sci. Soc., 45 (2022), 49–83. https://doi.org/10.1007/s40840-022-01241-z doi: 10.1007/s40840-022-01241-z
    [32] H. M. Barakat, M. A. Alawady, G. M. Mansour, I. A. Husseiny, Sarmanov bivariate distribution: dependence structure-Fisher information in order statistics and their concomitants, Ricerche Mat., 74 (2025), 185–206. https://doi.org/10.1007/s11587-022-00731-3 doi: 10.1007/s11587-022-00731-3
    [33] G. M. Mansour, M. A. A. Elgawad, A. S. Al-Moisheer, H. M. Barakat, M. A. Alawady, I. A. Husseiny, et al., Bivariate Epanechnikov-Weibull distribution based on sarmanov copula: properties, simulation, and uncertainty measures with applications, AIMS Math., 10 (2025), 12689–12725. https://doi.org/10.3934/math.2025572 doi: 10.3934/math.2025572
    [34] N. Balakrishnan, C. D. Lai, Continuous bivariate distributions, 2 Eds., Springer, 2009. https://doi.org/10.1007/b101765
    [35] H. A. David, Concomitants of order statistics, Bull. Int. Stat. Inst., 45 (1973), 295–300.
    [36] H. A. David, H. N. Nagaraja, Concomitants of order statistics, Handbook Stat., 16 (1998), 487–513. https://doi.org/10.1016/S0169-7161(98)16020-0 doi: 10.1016/S0169-7161(98)16020-0
    [37] M. I. Beg, M. Ahsanullah, Concomitants of generalized order statistics from Farlie-Gumbel-Morgenstern distributions, Statist. Methodol., 5 (2008), 1–20. https://doi.org/10.1016/j.stamet.2007.04.001 doi: 10.1016/j.stamet.2007.04.001
    [38] F. Domma, S. Giordano, Concomitants of m-generalized order statistics from generalized Farlie-Gumbel-Morgenstern distribution family, J. Comput. Appl. Math., 294 (2016), 413–435. https://doi.org/10.1016/j.cam.2015.08.022 doi: 10.1016/j.cam.2015.08.022
    [39] M. A. A. Elgawad, M. A. Alawady, On concomitants of generalized order statistics from generalized FGM family under a general setting, Math. Slovaca, 72 (2022), 507–526. https://doi.org/10.1515/ms-2022-0033 doi: 10.1515/ms-2022-0033
    [40] M. M. M. El-Din, M. M. Amein, M. S. Mohamed, Concomitants of case-II of generalized order statistics from Farlie-Gumbel-Morgenstern distributions, J. Stat. Appl. Prob., 3 (2015), 345–353. https://doi.org/10.12785/jsap/030305 doi: 10.12785/jsap/030305
    [41] M. A. Alawady, H. M. Barakat, G. M. Mansour, I. A. Husseiny, Uncertainty measures and concomitants of generalized order statistics in the Sarmanov family, Filomat, 39 (2025), 3463–3487. https://doi.org/10.2298/FIL2510463A doi: 10.2298/FIL2510463A
    [42] I. A. Husseiny, M. Nagy, A. H. Mansi, M. A. Alawady, Some Tsallis entropy measures in concomitants of generalized order statistics under iterated FGM bivariate distribution, AIMS Math., 9 (2024), 23268–23290. https://doi.org/10.3934/math.20241131 doi: 10.3934/math.20241131
    [43] R. Pyke, Spacings, J. R. Stat. Soc., 27 (1965), 395–436. https://doi.org/10.1111/j.2517-6161.1965.tb00602.x
    [44] R. R. Softs, D. Staff, Using QALT models to analyze system configurations with load sharing, Reliab. Edge, 3 (2002), 1–4.
    [45] O. Kharazmi, N. Balakrishnan, Cumulative residual and relative cumulative residual fisher information and their properties, IEEE Trans. Inf. Theory, 67 (2021), 6306–6312. https://doi.org/10.1109/TIT.2021.3073789 doi: 10.1109/TIT.2021.3073789
  • Reader Comments
  • © 2026 the Author(s), licensee AIMS Press. This is an open access article distributed under the terms of the Creative Commons Attribution License (http://creativecommons.org/licenses/by/4.0)
通讯作者: 陈斌, bchen63@163.com
  • 1. 

    沈阳化工大学材料科学与工程学院 沈阳 110142

  1. 本站搜索
  2. 百度学术搜索
  3. 万方数据库搜索
  4. CNKI搜索

Metrics

Article views(258) PDF downloads(23) Cited by(0)

Article outline

Figures and Tables

Figures(3)  /  Tables(18)

/

DownLoad:  Full-Size Img  PowerPoint
Return
Return

Catalog