Research article Special Issues

A class of solitary and periodic wave structures in (3+1)-dimensional space-time fractional KdV-BBM equation with Jacobi elliptic functions

  • Published: 16 March 2026
  • MSC : 35Q51, 35Q53, 37K40, 90C33

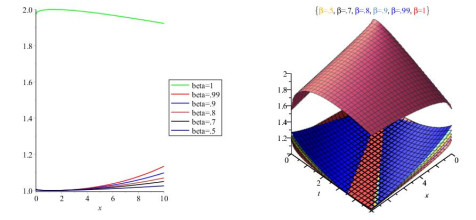
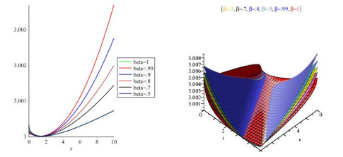
  • This paper considers the (3+1)-dimensional space-time fractional variable Korteweg-de Vries-Benjamin-Bona-Mahoney (KdV-BBM) equation. This equation is of critical importance in studying long-wave phenomena in nonlinear dispersive media. It is commonly accepted that classical equations fail to capture memory and fractal properties of physical phenomena. In fluid dynamics and plasma physics, fractional equations accurately capture the memory effect in nonlinear one-way wave propagation. Thus, we employ a fractional complex transformation that reduces the controlling nonlinear partial differential equations (NPDE) to a nonlinear ordinary differential equation (NODE). The newly introduced Jacobi elliptic function expansion method is systematically implemented to capture various types of exact or analytical wave solutions. Our findings explicitly reveal that by tuning the $ \beta $ parameter in the fractional variable KdV-BBM equation, one can capture solitary and double periodic nonlinear structures in terms of Jacobi sine and cosine functions. The major outcome is that it enormously regulates the topology of various solitary and double periodic nonlinear waves. Therefore, our investigation explicitly reveals that conformable fractional derivatives serve to be highly efficient operators in exploring higher-dimensional nonlinear or solitary and double periodic waves. The anticipated research could be considered a foundation that could be used in future experiments in nonlinear optics and water flows.

    Citation: Fahad Sameer Alshammari, A. A. Elsadany, A. Aldurayhim, Mohammed K. Elboree. A class of solitary and periodic wave structures in (3+1)-dimensional space-time fractional KdV-BBM equation with Jacobi elliptic functions[J]. AIMS Mathematics, 2026, 11(3): 6699-6719. doi: 10.3934/math.2026277

    Related Papers:

  • This paper considers the (3+1)-dimensional space-time fractional variable Korteweg-de Vries-Benjamin-Bona-Mahoney (KdV-BBM) equation. This equation is of critical importance in studying long-wave phenomena in nonlinear dispersive media. It is commonly accepted that classical equations fail to capture memory and fractal properties of physical phenomena. In fluid dynamics and plasma physics, fractional equations accurately capture the memory effect in nonlinear one-way wave propagation. Thus, we employ a fractional complex transformation that reduces the controlling nonlinear partial differential equations (NPDE) to a nonlinear ordinary differential equation (NODE). The newly introduced Jacobi elliptic function expansion method is systematically implemented to capture various types of exact or analytical wave solutions. Our findings explicitly reveal that by tuning the $ \beta $ parameter in the fractional variable KdV-BBM equation, one can capture solitary and double periodic nonlinear structures in terms of Jacobi sine and cosine functions. The major outcome is that it enormously regulates the topology of various solitary and double periodic nonlinear waves. Therefore, our investigation explicitly reveals that conformable fractional derivatives serve to be highly efficient operators in exploring higher-dimensional nonlinear or solitary and double periodic waves. The anticipated research could be considered a foundation that could be used in future experiments in nonlinear optics and water flows.



    加载中


    [1] A. Hasegawa, Plasma instabilities and nonlinear effects, 1 Eds., Berlin: Springer, 1975. https://doi.org/10.1007/978-3-642-65980-5
    [2] G. P. Agrawal, Nonlinear fiber optics, 5 Eds., New York: Academic Press, 1989. https://doi.org/10.1016/C2011-0-00045-5
    [3] A. Hesegawa, Y. Kodama, Solitons in optical communication, Oxford: Oxford University Press, 1995. https://doi.org/10.1093/oso/9780198565079.001.0001
    [4] A. Biswas, S. Konar, Introduction to non-Kerr law optical solitons, 1 Eds, New York: CRC Press, 1995. https://doi.org/10.1201/9781420011401
    [5] S. Li, L. X. Shu, X.-B. Shu, F. Xu, Existence and Hyers-Ulam stability of random impulsive stochastic functional differential equations with finite delays, Stochastics, 91 (2019), 857–872. https://doi.org/10.1080/17442508.2018.1551400 doi: 10.1080/17442508.2018.1551400
    [6] X. Y. Tang, S. Y. Lou, Y. Zhang, Localized excitations in (2+1)-dimensional systems, Phys. Rev. E, 66 (2002), 046601. https://doi.org/10.1103/PhysRevE.66.046601 doi: 10.1103/PhysRevE.66.046601
    [7] X. M. Qian, S. Y. Lou, X. B. Hu, Variable separation approach for a differential difference system: special Toda equation, J. Phys. A: Math. Gen., 37 (2004), 2401. https://doi.org/10.1088/0305-4470/37/6/029 doi: 10.1088/0305-4470/37/6/029
    [8] R. Hirota, Exact solution of the Korteweg–de Vries equation for multiple collisions of solitons, Phys. Rev. Lett., 27 (1971), 1192–1194. https://doi.org/10.1103/PhysRevLett.27.1192 doi: 10.1103/PhysRevLett.27.1192
    [9] C. S. Gardner, J. M. Greene, M. D. Kruskal, R. M. Miura, Method for solving the Korteweg-deVries equation, Phys. Rev. Lett., 19 (1967), 1095–1097. https://doi.org/10.1103/PhysRevLett.19.1095 doi: 10.1103/PhysRevLett.19.1095
    [10] R. M. Miura, Backlund transformations, the inverse scattering method, solitons, and their applications, In: Proceedings of the NSF Research Workshop on Contact Transformations, held in Nashville, Tennessee, Berlin: Springer, 1976. https://doi.org/10.1007/BFb0081158
    [11] M. L. Wang, Solitary wave solutions for variant Boussinesq equations, Phys. Lett. A, 199 (1995), 169–172. https://doi.org/10.1016/0375-9601(95)00092-H doi: 10.1016/0375-9601(95)00092-H
    [12] M. L. Wang, Exact solutions for a compound KdV-Burgers equation, Phys. Lett. A, 213 (1996), 279–287. https://doi.org/10.1016/0375-9601(96)00103-X doi: 10.1016/0375-9601(96)00103-X
    [13] E. Fendzi-Donfack, J. P. Nguenang, L. Nana, On the traveling waves in nonlinear electrical transmission lines with intrinsic fractional-order using discrete tanh method, Chaos Soliton. Fract., 131 (2020), 109468. https://doi.org/10.1016/j.chaos.2019.109486 doi: 10.1016/j.chaos.2019.109486
    [14] W. Malfliet, W. Hereman, The tanh method: Ⅰ. Exact solutions of nonlinear evolution and wave equations, Phys. Scr., 54 (1996), 563. https://doi.org/10.1088/0031-8949/54/6/003 doi: 10.1088/0031-8949/54/6/003
    [15] S. K. Liu, Z. T. Fu, S. D. Liu, Q. Zhao, Jacobi elliptic function expansion method and periodic wave solutions of nonlinear wave equations, Phys. Lett. A, 289 (2001), 69–74. https://doi.org/10.1016/S0375-9601(01)00580-1 doi: 10.1016/S0375-9601(01)00580-1
    [16] E. Fendzi-Donfack, J. P. Nguenang, L. Nana, Fractional analysis for nonlinear electrical transmission line and nonlinear Schrodinger equations with incomplete sub-equation, Eur. Phys. J. Plus, 133 (2018), 32. https://doi.org/10.1140/epjp/i2018-11851-1 doi: 10.1140/epjp/i2018-11851-1
    [17] E. Fendzi-Donfack, J. P. Nguenang, L. Nana, On the soliton solutions for an intrinsic fractional discrete nonlinear electrical transmission line, Nonlinear Dyn., 104 (2021), 691–704. https://doi.org/10.1007/s11071-021-06300-x doi: 10.1007/s11071-021-06300-x
    [18] C. Y. Qin, Y. H. Li, P. L. Ma, S. B. Jin, Approximate solutions of Korteweg-de Vries-Benjamin-Bona-Mahony-Burgers equation with dissipative terms, J. Low Freq. Noise, 44 (2025), 762–783. https://doi.org/10.1177/14613484241304044 doi: 10.1177/14613484241304044
    [19] K. J. Wang, F. Shi, J. H. Liu, J. Si, Application of the extended f-expansion method for solving the fractional gardner equation with conformable fractional derivative, Fractals, 30 (2022), 2250139. https://doi.org/10.1142/S0218348X22501390 doi: 10.1142/S0218348X22501390
    [20] O. S. Iyiola, O. G. Olayinka, Analytical solutions of time-fractional models for homogeneous Gardner equation and non-homogeneous differential equations, Ain Shams Eng. J., 5 (2014), 999–1004. https://doi.org/10.1016/j.asej.2014.03.014 doi: 10.1016/j.asej.2014.03.014
    [21] A. A. Elsadany, F. S. Alshammari, M. K. Elboree, Wave solutions in (3+1)-dimensional generalized fractional mKdV-ZK equation utilizing jacobi elliptic functions, Phys. Scr., 99 (2024), 055242. https://doi.org/10.1088/1402-4896/ad3b41 doi: 10.1088/1402-4896/ad3b41
    [22] R. Khalil, M. A. Horani, A. Yousef, M. Sababheh, A new definition of fractional derivative, J. Comput. Appl. Math., 264 (2014), 65–70. https://doi.org/10.1016/j.cam.2014.01.002 doi: 10.1016/j.cam.2014.01.002
    [23] E. J. Parkes, B. R. Duffy, Traveling solitary wave solution to a compound KdV-Burgers equation, Phys. Lett. A, 229 (1997), 217–220. https://doi.org/10.1016/S0375-9601(97)00193-X doi: 10.1016/S0375-9601(97)00193-X
    [24] E. G. Fan, Extened tanh-function method and its applications to nonlinear equations, Phys. Lett. A, 277 (2000), 212–218. https://doi.org/10.1016/S0375-9601(00)00725-8 doi: 10.1016/S0375-9601(00)00725-8
    [25] A. S. A. Rady, A. H. Khater, E. S. Osman, M. Khalfallah, New periodic wave and soliton solutions for system of coupled Korteweg-de Vries equations, Appl. Math. Comput., 207 (2009), 406–414. https://doi.org/10.1016/j.amc.2008.10.064 doi: 10.1016/j.amc.2008.10.064
    [26] Y. Z. Peng, Exact solutions for some nonlinear partial differential equations, Phys. Lett. A, 314 (2003), 401–408. https://doi.org/10.1016/S0375-9601(03)00909-5 doi: 10.1016/S0375-9601(03)00909-5
    [27] E. J. Parkes, B. R. Duffy, An automated tanh-function method for finding solitary wave solutions to non-linear evolution equations, Comput. Phys. Commun., 98 (1996), 288–300. https://doi.org/10.1016/0010-4655(96)00104-X doi: 10.1016/0010-4655(96)00104-X
    [28] Y. H. Liang, K. J. Wang, Resonant multiple soliton, non-singular complexiton and singular complexiton solutions to the (3+1)-dimensional shallow water wave equation, Int. J. Comput. Math., 2025 (2025), 2608755. https://doi.org/10.1080/00207160.2025.2608755 doi: 10.1080/00207160.2025.2608755
    [29] K. J. Wang, S. Li, K. H. Yan, Resonant multiple wave, multi-lump wave and complex N-soliton solutions to the (3+1)-dimensional Jimbo–Miwa equation, Mod. Phys. Lett. B, 40 (2026), 2650001. https://doi.org/10.1142/S0217984926500016 doi: 10.1142/S0217984926500016
    [30] Y. L. Cao, H. Tian, B. Ghanbari, On constructing of multiple rogue wave solutions to the (3+1)-dimensional Korteweg-de Vries Benjamin-Bona-Mahony equation, Phys. Scr., 96 (2021), 035226. https://doi.org/10.1088/1402-4896/abdcf4 doi: 10.1088/1402-4896/abdcf4
  • Reader Comments
  • © 2026 the Author(s), licensee AIMS Press. This is an open access article distributed under the terms of the Creative Commons Attribution License (http://creativecommons.org/licenses/by/4.0)
通讯作者: 陈斌, bchen63@163.com
  • 1. 

    沈阳化工大学材料科学与工程学院 沈阳 110142

  1. 本站搜索
  2. 百度学术搜索
  3. 万方数据库搜索
  4. CNKI搜索

Metrics

Article views(1684) PDF downloads(288) Cited by(0)

Article outline

Figures and Tables

Figures(12)

/

DownLoad:  Full-Size Img  PowerPoint
Return
Return

Catalog