Research article

Dynamical analysis of an aquaculture management model with stage structure, intraspecific cooperation, refuge effect, and nonlinearly impulsive releasing

  • Published: 11 March 2026
  • MSC : 34A37, 37M05, 92D25

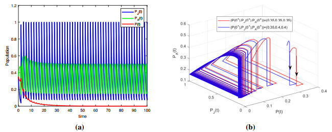
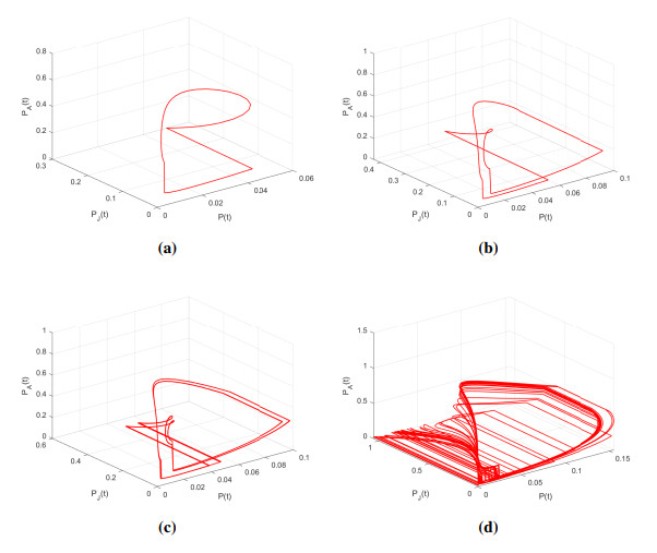
  • In this paper, we propose an aquaculture management model with stage structure, intraspecific cooperation, refuge effect, and nonlinearly impulsive releasing. The global asymptotic stability of the periodic solution for the subsystem of the system was analyzed via the Jury criterion and the Banach contraction mapping principle. Additionally, through the theory of impulsive differential equations, the conditions for the global asymptotic stability of the prey-vanishing periodic solution and for the permanence of the system were acquired. Finally, numerical simulations were utilized to validate the theoretical results. In addition, key parameters affecting the persistence condition $ B_0 $ were identified via comparative and sensitivity analysis. Moreover, abundant dynamical behaviors such as period bifurcation and chaos were identified through bifurcation diagrams.

    Citation: Xueying Zhu, Jianjun Jiao, Lin Wu, Die Li. Dynamical analysis of an aquaculture management model with stage structure, intraspecific cooperation, refuge effect, and nonlinearly impulsive releasing[J]. AIMS Mathematics, 2026, 11(3): 6080-6105. doi: 10.3934/math.2026252

    Related Papers:

  • In this paper, we propose an aquaculture management model with stage structure, intraspecific cooperation, refuge effect, and nonlinearly impulsive releasing. The global asymptotic stability of the periodic solution for the subsystem of the system was analyzed via the Jury criterion and the Banach contraction mapping principle. Additionally, through the theory of impulsive differential equations, the conditions for the global asymptotic stability of the prey-vanishing periodic solution and for the permanence of the system were acquired. Finally, numerical simulations were utilized to validate the theoretical results. In addition, key parameters affecting the persistence condition $ B_0 $ were identified via comparative and sensitivity analysis. Moreover, abundant dynamical behaviors such as period bifurcation and chaos were identified through bifurcation diagrams.



    加载中


    [1] B. Mohanty, A. Mahanty, S. Ganguly, T. V. Sankar, K. Chakraborty, A. Rangasamy, et al., Amino acid compositions of 27 food fishes and their importance in clinical nutrition, J. Amino Acids., 2014 (2014), 269797. https://doi.org/10.1155/2014/269797 doi: 10.1155/2014/269797
    [2] K. Watanabe, A. Holobar, K. Uchida, Y. Mita, Fish protein ingestion induces neural, but not muscular adaptations, following resistance training in young adults, Front. Nutr., 8 (2021), 645747. https://doi.org/10.3389/fnut.2021.645747 doi: 10.3389/fnut.2021.645747
    [3] A. Drotningsvik, Å. Oterhals, O. Flesland, O. Nygård, O. A. Gudbrandsen, Fish protein supplementation in older nursing home residents: a randomised, double-blind, pilot study, Pilot Feasibility Stud., 5 (2019), 35. https://doi.org/10.1186/s40814-019-0421-x doi: 10.1186/s40814-019-0421-x
    [4] C. C. Hicks, P. J. Cohen, N. A. J. Graham, K. L. Nash, E. H. Allison, C. D'Lima, et al., Harnessing global fisheries to tackle micronutrient deficiencies, Nature, 574 (2019), 95–98. https://doi.org/10.1038/s41586-019-1592-6 doi: 10.1038/s41586-019-1592-6
    [5] D. J. Bardey, Overfishing: pressure on our oceans, Res. Agric. Livest. Fish., 6 (2019), 397–404. https://doi.org/10.3329/ralf.v6i3.44805 doi: 10.3329/ralf.v6i3.44805
    [6] T. Das, R. N. Mukherjee, K. S. Chaudhuri, Harvesting of a prey–predator fishery in the presence of toxicity, Appl. Math. Model., 33 (2009), 2282–2292. https://doi.org/10.1016/j.apm.2008.06.008 doi: 10.1016/j.apm.2008.06.008
    [7] R. Zhang, J. Sun, H. Yang, Analysis of a prey-predator fishery model with prey reserve, Appl. Math. Sci., 1 (2007), 2481–2492.
    [8] Q. Quan, M. Wang, J. Jiao, X. Dai, Dynamics of a predator–prey fishery model with birth pulse, impulsive releasing and harvesting on prey, J. Appl. Math. Comput., 70 (2024), 3011–3031. https://doi.org/10.1007/s12190-024-02081-9 doi: 10.1007/s12190-024-02081-9
    [9] L. Wu, J. Jiao, X. Dai, Dynamics of stage-structured ecological aquaculture management model with impulsive harvesting and nonlinearly releasing larval predators at different fixed moments, J. Comput. Sci., 85 (2025), 102532. https://doi.org/10.1016/j.jocs.2025.102532 doi: 10.1016/j.jocs.2025.102532
    [10] L. Wu, J. Jiao, X. Dai, Z. Zhou, Dynamical analysis of an ecological aquaculture management model with stage-structure and nonlinear impulsive releases for larval predators, AIMS Math., 9 (2024), 29053–29075. https://doi.org/10.3934/math.20241410 doi: 10.3934/math.20241410
    [11] C. Li, S. Tang Analyzing a generalized pest-natural enemy model with nonlinear impulsive control, Open Math., 16 (2018), 1390–1411. https://doi.org/10.1515/math-2018-0114 doi: 10.1515/math-2018-0114
    [12] H. Sun, J. Jiao, Dynamics of a host–parasite model with impulsive culling and density-dependent stocking during fish reproductive cycles, Int. J. Biomath., 2025. https://doi.org/10.1142/S1793524525500731
    [13] J. Jiao, Y. Xiao, H. Jiao, Dynamics of a switched predator-prey breeding management model with impulsive nonlinear releasing and age-selective harvesting predator, Adv. Cont. Discr. Mod., 2025 (2025), 101. https://doi.org/10.1186/s13662-025-03960-6 doi: 10.1186/s13662-025-03960-6
    [14] J. Jiao, Y. Xiao, Dynamics of a pest-natural enemy model with natural enemy periodic migration described by time delay, Nonlinear Anal., 87 (2026), 104454. https://doi.org/10.1016/j.nonrwa.2025.104454 doi: 10.1016/j.nonrwa.2025.104454
    [15] K. Dhanalakshmi, T. Sathiyaraj, S. Harshavarthini, S. J. Achar, H. Hassanabadi, T-controllability of stochastic Benjamin-Bona-Mahony equation with non-instantaneous impulses driven by non-local conditions, Bull. Sci. Math., 204 (2025), 103708. https://doi.org/10.1016/j.bulsci.2025.103708 doi: 10.1016/j.bulsci.2025.103708
    [16] M. G. Mortuja, M. K. Chaube, S. Kumar, Dynamic analysis of a predator-prey model with Michaelis-Menten prey harvesting and hunting cooperation in predators, J. Appl. Math. Comput., 71 (2025), 6207–6229. https://doi.org/10.1007/s12190-025-02482-4 doi: 10.1007/s12190-025-02482-4
    [17] I. Benamara1, A. El Abdllaoui1, R. Yafia, H. Dutta, Qualitative analysis for a diffusive predator-prey model with hunting cooperation and holling type Ⅲ functional response, Math. Model. Nat. Phenom., 18 (2023), 13. https://doi.org/10.1051/mmnp/2023010 doi: 10.1051/mmnp/2023010
    [18] S. Fu, H. Zhang, Effect of hunting cooperation on the dynamic behavior for a diffusive Holling type Ⅱ predator-prey model, Commun. Nonlinear Sci. Numer. Simul., 99 (2021), 105807. https://doi.org/10.1016/j.cnsns.2021.105807 doi: 10.1016/j.cnsns.2021.105807
    [19] J. Buckley, R. J. Maunder, A. Foey, J. Pearce, A. L. Val, K. A. Sloman, Biparental mucus feeding: a unique example of parental care in an Amazonian cichlid, J. Exp. Biol., 213 (2010), 3787–3795. https://doi.org/10.1242/jeb.042929 doi: 10.1242/jeb.042929
    [20] M. A Steele, Effects of shelter and predators on reef fishes, J. Exp. Mar. Biol. Ecol., 233 (1999), 65–79. https://doi.org/10.1016/S0022-0981(98)00127-0 doi: 10.1016/S0022-0981(98)00127-0
    [21] S. A. A. Hamdallah, A. A. Arafa, Stability analysis of Filippov prey–predator model with fear effect and prey refuge, J. Appl. Math. Comput., 70 (2024), 73–102. https://doi.org/10.1007/s12190-023-01934-z doi: 10.1007/s12190-023-01934-z
    [22] E. M. Kafi, A. A. Majeed, The dynamics and analysis of stage-structured predator-prey model involving disease and refuge in prey population, J. Phys.: Conf. Ser., 1530 (2020), 012036. https://doi.org/10.1088/1742-6596/1530/1/012036 doi: 10.1088/1742-6596/1530/1/012036
    [23] O. Akman, T. Comar, M. Henderson, An analysis of an impulsive stage structured integrated pest management model with refuge effect, Chaos Soliton. Fract., 111 (2018), 44–54. https://doi.org/10.1016/j.chaos.2018.03.039 doi: 10.1016/j.chaos.2018.03.039
    [24] V. Lakshmikantham, D. D. Bainov, P. S. Simeonov, Theory of impulsive differential equations, World Scientific, 1989. https://doi.org/10.1142/0906
    [25] E. I. Jury, L. Stark, V. V. Krishnan, Inners and stability of dynamic systems, IEEE Trans. Syst. Man Cybern., SMC-6 (1976), 724–725. https://doi.org/10.1109/TSMC.1976.4309436 doi: 10.1109/TSMC.1976.4309436
  • Reader Comments
  • © 2026 the Author(s), licensee AIMS Press. This is an open access article distributed under the terms of the Creative Commons Attribution License (http://creativecommons.org/licenses/by/4.0)
通讯作者: 陈斌, bchen63@163.com
  • 1. 

    沈阳化工大学材料科学与工程学院 沈阳 110142

  1. 本站搜索
  2. 百度学术搜索
  3. 万方数据库搜索
  4. CNKI搜索

Metrics

Article views(484) PDF downloads(39) Cited by(0)

Article outline

Figures and Tables

Figures(12)  /  Tables(1)

Other Articles By Authors

/

DownLoad:  Full-Size Img  PowerPoint
Return
Return

Catalog