Research article Special Issues

Echo whale optimization-based incentive learning: A bidirectional long short-term memory model for intrusion detection in wireless networks

  • Published: 27 February 2026
  • MSC : 68M18, 68M25, 68T05, 68T07, 90C59

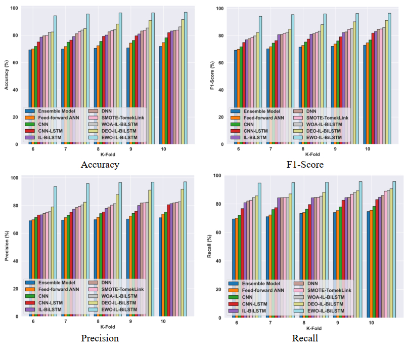
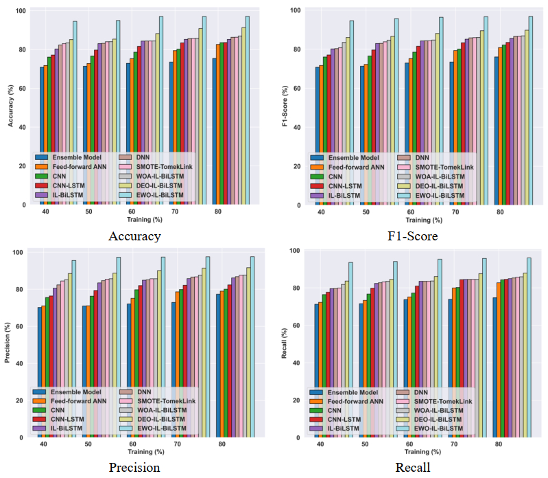
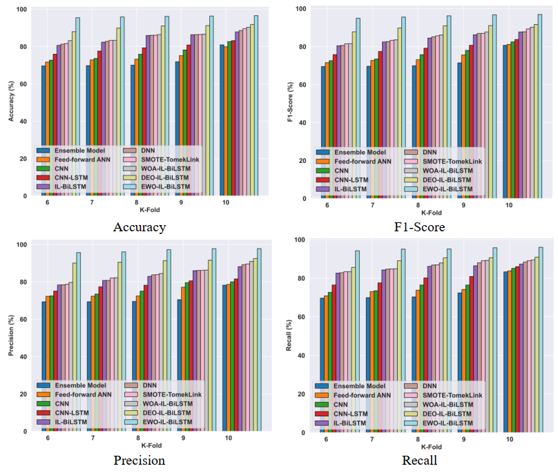
  • Intrusion detection distinguishes unauthorized system access by monitoring network activities, where identifiable patterns and behaviors are difficult to recognize due to factors such as false positives and negatives. The inability to work on large and complex networks, poor generalizability, high computation time, and the adoption of new threats that emerge over time are major concerns. Therefore, we established a model for handling the aforementioned challenges using the Echo whale optimization-incentive learning-based Bidirectional Long Short-Term Memory (EWO-IL-BiLSTM) model, which was proposed to improve the accuracy of intrusion detection. The EWO algorithm was incorporated to effectively tune the best parameters of the BiLSTM model to improve detection accuracy while increasing convergence speed and reducing false errors. Through incentive learning integration, the system demonstrated an award mechanism during training, which effectively captures the temporal dependencies in the network data and prompts the BiLSTM classifier to reach the best results. This research demonstrated that the benefits of the EWO and the Incentive Learning mechanism-based BiLSTM are a major advancement that improves the accurate intrusion detection, thereby promoting the network security and robustness in the ever-changing cyber-threat environments. The evaluation findings indicated that the proposed EWO-IL-BiLSTM model demonstrated superior performance with a high accuracy of 97.06%, F1-Score of 96.78%, precision of 97.59%, and recall of 95.98% at 80% training using the WSN-BFSF dataset.

    Citation: Afnan M. Alhassan, Nouf I. Altmami. Echo whale optimization-based incentive learning: A bidirectional long short-term memory model for intrusion detection in wireless networks[J]. AIMS Mathematics, 2026, 11(2): 5062-5091. doi: 10.3934/math.2026207

    Related Papers:

  • Intrusion detection distinguishes unauthorized system access by monitoring network activities, where identifiable patterns and behaviors are difficult to recognize due to factors such as false positives and negatives. The inability to work on large and complex networks, poor generalizability, high computation time, and the adoption of new threats that emerge over time are major concerns. Therefore, we established a model for handling the aforementioned challenges using the Echo whale optimization-incentive learning-based Bidirectional Long Short-Term Memory (EWO-IL-BiLSTM) model, which was proposed to improve the accuracy of intrusion detection. The EWO algorithm was incorporated to effectively tune the best parameters of the BiLSTM model to improve detection accuracy while increasing convergence speed and reducing false errors. Through incentive learning integration, the system demonstrated an award mechanism during training, which effectively captures the temporal dependencies in the network data and prompts the BiLSTM classifier to reach the best results. This research demonstrated that the benefits of the EWO and the Incentive Learning mechanism-based BiLSTM are a major advancement that improves the accurate intrusion detection, thereby promoting the network security and robustness in the ever-changing cyber-threat environments. The evaluation findings indicated that the proposed EWO-IL-BiLSTM model demonstrated superior performance with a high accuracy of 97.06%, F1-Score of 96.78%, precision of 97.59%, and recall of 95.98% at 80% training using the WSN-BFSF dataset.



    加载中


    [1] G. M. Borkar, L. H. Patil, D. Dalgade, A. Hutke, A novel clustering approach and adaptive SVM classifier for intrusion detection in WSN: A data mining concept, Sustain. Comput. : Inform. Syst., 23 (2019), 120–135. https://doi.org/10.1016/j.suscom.2019.06.002 doi: 10.1016/j.suscom.2019.06.002
    [2] J. S. Pan, F. Fan, S. C. Chu, H. Q. Zhao, G. Y. Liu, A lightweight intelligent intrusion detection model for wireless sensor networks, Secur. Commun. Netw., 2021 (2021), 5540895. https://doi.org/10.1155/2021/5540895 doi: 10.1155/2021/5540895
    [3] M. Safaldin, M. Otair, L. Abualigah, Improved binary gray wolf optimizer and SVM for intrusion detection system in wireless sensor networks, J. Ambient Intell. Human. Comput., 12 (2021), 1559–1576. https://doi.org/10.1007/s12652-020-02228-z doi: 10.1007/s12652-020-02228-z
    [4] S. Jiang, J. Zhao, X. Xu, SLGBM: An intrusion detection mechanism for wireless sensor networks in smart environments, IEEE Access, 8 (2020), 169548–169558. https://doi.org/10.1109/ACCESS.2020.3024219 doi: 10.1109/ACCESS.2020.3024219
    [5] S. Otoum, B. Kantarci, H. T. Mouftah, A novel ensemble method for advanced intrusion detection in wireless sensor networks, In: Icc 2020-2020 IEEE international conference on communications (icc), Ireland: IEEE, 2020. https://doi.org/10.1109/ICC40277.2020.9149413
    [6] W. Zhang, D. Han, K. C. Li, F. I. Massetto, Wireless sensor network intrusion detection system based on MK-ELM, Soft Comput., 24 (2020), 12361–12374. https://doi.org/10.1007/s00500-020-04678-1 doi: 10.1007/s00500-020-04678-1
    [7] V. Gowdhaman, R. Dhanapal, An intrusion detection system for wireless sensor networks using deep neural network, Soft Comput., 26 (2022), 13059–13067. https://doi.org/10.1007/s00500-021-06473-y doi: 10.1007/s00500-021-06473-y
    [8] A. Singh, J. Nagar, S. Sharma, V. Kotiyal, A Gaussian process regression approach to predict the k-barrier coverage probability for intrusion detection in wireless sensor networks, Expert Syst. Appl., 172 (2021), 114603. https://doi.org/10.1016/j.eswa.2021.114603 doi: 10.1016/j.eswa.2021.114603
    [9] A. Mehmood, S. Khan, B. Shams, J. Lloret, Energy-efficient multi-level and distance-aware clustering mechanism for WSNs, Int. J. Commun. Syst., 28 (2015), 972–989. https://doi.org/10.1002/dac.2720 doi: 10.1002/dac.2720
    [10] A. Mehmood, J. Lloret, S. Sendra, A secure and low-energy zonebased wireless sensor networks routing protocol for pollution monitoring, Wirel. Commun. Mob. Comput., 16 (2016), 2869–2883. https://doi.org/10.1002/Fwcm.2734 doi: 10.1002/Fwcm.2734
    [11] A. Mehmood, M. M. Umar, H. Song, ICMDS: Secure inter-cluster multiple-key distribution scheme for wireless sensor networks, Ad Hoc Netw., 55 (2017), 97–106. https://doi.org/10.1016/j.adhoc.2016.10.007 doi: 10.1016/j.adhoc.2016.10.007
    [12] V. Patel, J. Gheewala, An efficient session key management scheme for cluster based wireless sensor networks, In: 2015 IEEE International advance computing conference (IACC), India: IEEE, 2015,963–967. https://doi.org/10.1109/IADCC.2015.7154847
    [13] M. M. Umar, A. Mehmood, H. Song, A survey on state-of-the-art knowledge-based system development and issues, Smart Comput. Rev., 5 (2015), 498–509. https://doi.org/10.6029/smartcr.2015.06.001 doi: 10.6029/smartcr.2015.06.001
    [14] A. Mehmood, H. Song, J. Lloret, Multi-agent-based framework for secure and reliable communication among open clouds, Netw. Protoc. Algorithms, 6 (2014), 60–76. https://doi.org/10.5296/npa.v6i4.6028 doi: 10.5296/npa.v6i4.6028
    [15] M. Zhou, Y. Wang, Z. Tian, Y. Lian, Y. Wang, B. Wang, Calibrated data simplification for energy-efficient location sensing in the internet of things, IEEE Internet Things J., 6 (2019), 6125–6133. https://doi.org/10.1109/JIOT.2018.2869671 doi: 10.1109/JIOT.2018.2869671
    [16] C. Wang, H. Lin, R. Zhang, H. Jiang, SEND: A situation-aware emergency navigation algorithm with sensor networks, IEEE Trans. Mobile Comput., 16 (2017), 1149–1162. https://doi.org/10.1109/TMC.2016.2582172 doi: 10.1109/TMC.2016.2582172
    [17] J. Su, A. X. Liu, Z. Sheng, Y. Chen, A partitioning approach to RFID identification, IEEE/ACM Trans. Netw., 28 (2020), 2160–2173. https://doi.org/10.1109/TNET.2020.3004852 doi: 10.1109/TNET.2020.3004852
    [18] O. A. Osanaiye, A. S. Alfa, G. P. Hancke, Denial of service defense for resource availability in wireless sensor networks, IEEE Access, 6 (2018), 6975–7004. https://doi.org/10.1109/ACCESS.2018.2793841 doi: 10.1109/ACCESS.2018.2793841
    [19] T. T. H. Le, T. Park, D. Cho, H. Kim, An effective classification for DoS attacks in wireless sensor networks, In: 2018 Tenth international conference on ubiquitous and future networks (ICUFN), Czech Republic: IEEE, 2018,689–692. https://doi.org/10.1109/ICUFN.2018.8436999
    [20] R. Kaur, G. Kumar, K. Kumar, A comparative study of feature selection techniques for intrusion detection, In: 2015 2nd International conference on computing for sustainable global development (INDIACom), India: IEEE, 2015, 2120–2124.
    [21] S. A. Birahim, A. Paul, F. Rahman, Y. Islam, T. Roy, M. A. Hasan, et al., Intrusion detection for wireless sensor network using particle swarm optimization based explainable ensemble machine learning approach, IEEE Access, 13 (2025), 13711–13730. https://doi.org/10.1109/ACCESS.2025.3528341 doi: 10.1109/ACCESS.2025.3528341
    [22] A. Singh, J. Amutha, J. Nagar, S. Sharma, A deep learning approach to predict the number of k-barriers for intrusion detection over a circular region using wireless sensor networks, Expert Syst. Appl., 211 (2023), 118588. https://doi.org/10.1016/j.eswa.2022.118588 doi: 10.1016/j.eswa.2022.118588
    [23] WSN Dataset. Available from: https://www.kaggle.com/datasets/bassamkasasbeh1/wsnds/data.
    [24] WSN-BFSF Dataset. Available from: https://www.kaggle.com/datasets/celilokur/wsnbfsfdataset/data.
    [25] CIC IoMT 2024 Dataset. Available from: https://www.unb.ca/cic/datasets/iomt-dataset-2024.html.
    [26] E. M. Maseno, Z. Wang, Hybrid wrapper feature selection method based on genetic algorithm and extreme learning machine for intrusion detection, J. Big Data, 11 (2024), 24. https://doi.org/10.1186/s40537-024-00887-9 doi: 10.1186/s40537-024-00887-9
    [27] B. Deore, S. Bhosale, Adaptive dolphin atom search optimization-based DRNN for network intrusion detection system, SN Comput. Sci., 4 (2023), 578. https://doi.org/10.1007/s42979-023-02006-6 doi: 10.1007/s42979-023-02006-6
    [28] J. Y. Kim, J. W. Kim, H. J. Kim, M. S. Shim, E. J. Choi, CNN-based network intrusion detection against denial-of-service attacks, Electronics, 9 (2020), 916. https://doi.org/10.3390/electronics9060916 doi: 10.3390/electronics9060916
    [29] A. Halbouni, T. S. Gunawan, M. H. Habaebi, M. Halbouni, M. Kartiwi, R. Ahmad, CNN-LSTM: hybrid deep neural network for network intrusion detection system, IEEE Access, 10 (2022), 99837–99849. https://doi.org/10.1109/ACCESS.2022.3206425 doi: 10.1109/ACCESS.2022.3206425
    [30] Q. Zhu, C. Fung, R. Boutaba, T. Basar, GUIDEX: A game-theoretic incentive-based mechanism for intrusion detection networks, IEEE J. Sel. Areas Commun., 30 (2012), 2220–2230. https://doi.org/10.1109/JSAC.2012.121214 doi: 10.1109/JSAC.2012.121214
    [31] V. Shakya, J. Choudhary, D. P. Singh, Deep learning based intrusion detection system for WSN, Procedia Comput. Sci., 258 (2025), 2101–2106. https://doi.org/10.1016/j.procs.2025.04.460 doi: 10.1016/j.procs.2025.04.460
    [32] M. A. Talukder, S. Sharmin, M. A. Uddin, M. M. Islam, S. Aryal, MLSTL-WSN: machine learning-based intrusion detection using SMOTE Tomek in WSNs, Int. J. Inf. Secur., 23 (2024), 2139–2158. https://doi.org/10.1007/s10207-024-00833-z doi: 10.1007/s10207-024-00833-z
  • Reader Comments
  • © 2026 the Author(s), licensee AIMS Press. This is an open access article distributed under the terms of the Creative Commons Attribution License (http://creativecommons.org/licenses/by/4.0)
通讯作者: 陈斌, bchen63@163.com
  • 1. 

    沈阳化工大学材料科学与工程学院 沈阳 110142

  1. 本站搜索
  2. 百度学术搜索
  3. 万方数据库搜索
  4. CNKI搜索

Metrics

Article views(494) PDF downloads(30) Cited by(0)

Article outline

Figures and Tables

Figures(15)  /  Tables(4)

Other Articles By Authors

/

DownLoad:  Full-Size Img  PowerPoint
Return
Return

Catalog