Research article

A new weighted infected-block M-matrix method for extinction thresholds in a stochastic Itô-Lévy HIV/AIDS model with real-data validation

  • Published: 27 February 2026
  • MSC : 15A48, 60H10, 60H30, 60J75, 92D30

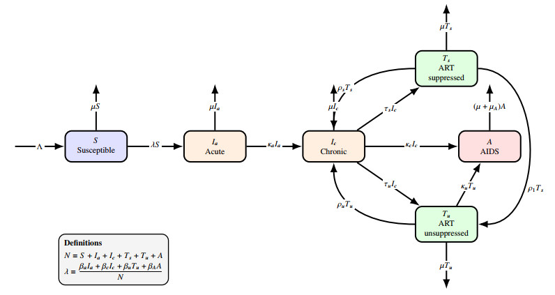
  • Deriving sharp extinction criteria for realistic multi-stage Human Immunodeficiency Virus/Acquired Immunodeficiency Syndrome (HIV/AIDS) models under environmental uncertainty remains technically difficult, especially when both correlated continuous fluctuations and abrupt disruptive events are present. In such settings, classical deterministic thresholds may be misleading. Parameter regimes that predict persistence at the Ordinary Differential Equation (ODE) level can nevertheless exhibit extinction once stochastic effects are accounted for. In this work, we developed a new weighted infected-block $ M $-matrix methodology to obtain an explicit, computable, almost-sure exponential extinction threshold for a six-compartment Itô-Lévy HIV/AIDS model with correlated diffusions and dual jump mechanisms. The proposed framework constructs positive weights directly from the infected-treatment transition block, and combines these weights with refined diffusion corrections and jump-compensator bounds to produce a precise extinction indicator that quantifies stochastic damping beyond deterministic invasion pressure. To support practical relevance, we calibrated the deterministic core to real monthly HIV-AIDS and ART data from Pakistan (2016–2021) via multi-start nonlinear least squares, computed all threshold objects from the fitted parameters, and then tuned the Itô-Lévy perturbations to match the extinction regime predicted by the theory. Numerical simulations validated the theoretical predictions and illustrated how sufficiently strong fluctuations and rare shocks can drive the system toward extinction even when $ \mathscr R_0 > 1 $ deterministically, thereby providing a data-informed tool to delineate extinction-persistence boundaries in complex stochastic HIV/AIDS dynamics.

    Citation: Yassine Sabbar, Saud Fahad Aldosary. A new weighted infected-block M-matrix method for extinction thresholds in a stochastic Itô-Lévy HIV/AIDS model with real-data validation[J]. AIMS Mathematics, 2026, 11(2): 4837-4871. doi: 10.3934/math.2026198

    Related Papers:

  • Deriving sharp extinction criteria for realistic multi-stage Human Immunodeficiency Virus/Acquired Immunodeficiency Syndrome (HIV/AIDS) models under environmental uncertainty remains technically difficult, especially when both correlated continuous fluctuations and abrupt disruptive events are present. In such settings, classical deterministic thresholds may be misleading. Parameter regimes that predict persistence at the Ordinary Differential Equation (ODE) level can nevertheless exhibit extinction once stochastic effects are accounted for. In this work, we developed a new weighted infected-block $ M $-matrix methodology to obtain an explicit, computable, almost-sure exponential extinction threshold for a six-compartment Itô-Lévy HIV/AIDS model with correlated diffusions and dual jump mechanisms. The proposed framework constructs positive weights directly from the infected-treatment transition block, and combines these weights with refined diffusion corrections and jump-compensator bounds to produce a precise extinction indicator that quantifies stochastic damping beyond deterministic invasion pressure. To support practical relevance, we calibrated the deterministic core to real monthly HIV-AIDS and ART data from Pakistan (2016–2021) via multi-start nonlinear least squares, computed all threshold objects from the fitted parameters, and then tuned the Itô-Lévy perturbations to match the extinction regime predicted by the theory. Numerical simulations validated the theoretical predictions and illustrated how sufficiently strong fluctuations and rare shocks can drive the system toward extinction even when $ \mathscr R_0 > 1 $ deterministically, thereby providing a data-informed tool to delineate extinction-persistence boundaries in complex stochastic HIV/AIDS dynamics.



    加载中


    [1] J. M. Garland, H. Mayan, R. Kantor, Treatment of advanced HIV in the modern Era, Drugs, 85 (2025), 883–909. https://doi.org/10.1007/s40265-025-02181-1 doi: 10.1007/s40265-025-02181-1
    [2] M. Mark, The international problem of HIV/AIDS in the modern world: A comprehensive review of political, economic, and social impacts, Res. Output J. Public Health Med., 4 (2024), 47–52. https://doi.org/10.59298/ROJPHM/2024/414752 doi: 10.59298/ROJPHM/2024/414752
    [3] M. Taye, Drug washout and viral rebound: Modeling HIV reactivation under ART discontinuation, 2025, arXiv: 2503.19665. https://doi.org/10.48550/arXiv.2503.19665
    [4] R. E. Baker, A. S. Mahmud, I. F. Miller, M. Rajeev, F. Rasambainarivo, B. L. Rice, et al., Infectious disease in an era of global change, Nat. Rev. Microbiol., 20 (2022), 193–205. https://doi.org/10.1038/s41579-021-00639-z doi: 10.1038/s41579-021-00639-z
    [5] Z. Zhu, L. Guo, M. Yang, J. Cheng, The effectiveness of monetary incentives in improving viral suppression, treatment adherence, and retention in care among the general population of people living with HIV: A systematic review and meta-analysis, AIDS Res. Ther., 22 (2025), 57. https://doi.org/10.1186/s12981-025-00748-2 doi: 10.1186/s12981-025-00748-2
    [6] S. D. Cunningham, J. J. Card, Realities of replication: Implementation of evidence-based interventions for HIV prevention in real-world settings, Implement. Sci., 9 (2014), 5.
    [7] A. Mirzazadeh, I. Eshun-Wilson, R. R. Thompson, A. Bonyani, J. G. Kahn, S. D. Baral, et al., Interventions to reengage people living with HIV who are lost to follow-up from HIV treatment programs: A systematic review and meta-analysis, PLoS Med., 19 (2022), e1003940. https://doi.org/10.1371/journal.pmed.1003940 doi: 10.1371/journal.pmed.1003940
    [8] Y. Wang, J. Liu, X. Zhang, J. M. Heffernan, An HIV stochastic model with cell-to-cell infection, B-cell immune response and distributed delay, J. Math. Biol., 86 (2023), 35. https://doi.org/10.1007/s00285-022-01863-8 doi: 10.1007/s00285-022-01863-8
    [9] X. Zhai, W. Li, F. Wei, X. Mao, Dynamics of an HIV/AIDS transmission model with protection awareness and fluctuations. Chaos Soliton. Fract., 169 (2023), 113224. https://doi.org/10.1016/j.chaos.2023.113224 doi: 10.1016/j.chaos.2023.113224
    [10] X. Wang, X. Song, S. Tang, L. Rong, Dynamics of an HIV model with multiple infection stages and treatment with different drug classes, Bull. Math. Biol., 78 (2016), 322–349. https://doi.org/10.1007/s11538-016-0145-5 doi: 10.1007/s11538-016-0145-5
    [11] S. Manda, L. Masenyetse, B. Cai, R. Meyer, Mapping HIV prevalence using population and antenatal sentinel-based HIV surveys: A multi-stage approach, Popul. health Metr., 13 (2015), 22. https://doi.org/10.1186/s12963-015-0055-z doi: 10.1186/s12963-015-0055-z
    [12] T. H. Kumsa, A. Mulu, J. Beyene, Z. G. Asfaw, Multi-state Markov model for time to treatment changes for HIV/AIDS patients: A retrospective cohort national datasets, Ethiopia, BMC Infect. Dis., 24 (2024), 627. https://doi.org/10.1186/s12879-024-09469-9 doi: 10.1186/s12879-024-09469-9
    [13] H. Takata, C. Kessing, A. Sy, N. Lima, J. Sciumbata, L. Mori, et al., Modeling HIV-1 latency using primary CD4+ T cells from virally suppressed HIV-1-infected individuals on antiretroviral therapy, J. Virol., 93 (2019), e02248-18. https://doi.org/10.1128/JVI.02248-18 doi: 10.1128/JVI.02248-18
    [14] C. Gaebler, L. Nogueira, E. Stoffel, T. Y. Oliveira, G. Breton, K. G. Millard, et al., Prolonged viral suppression with anti-HIV-1 antibody therapy, Nature, 606 (2022), 368–374. https://doi.org/10.1038/s41586-022-04597-1 doi: 10.1038/s41586-022-04597-1
    [15] Z. Shi, D. Jiang, Environmental variability in a stochastic HIV infection model, Commun. Nonlinear Sci., 120 (2023), 107201. https://doi.org/10.1016/j.cnsns.2023.107201 doi: 10.1016/j.cnsns.2023.107201
    [16] Y. Kao, S. Ma, H. Xia, C. Wang, Y. Liu, Integral sliding mode control for a kind of impulsive uncertain reaction-diffusion systems, IEEE T. Automat. Contr., 68 (2022), 1154–1160. https://doi.org/10.1109/TAC.2022.3149865 doi: 10.1109/TAC.2022.3149865
    [17] Y. Cao, Y. Kao, J. H. Park, H. Bao, Global Mittag–Leffler stability of the delayed fractional-coupled reaction-diffusion system on networks without strong connectedness, IEEE T. Neur. Net. Lear., 33 (2022), 6473–6483. https://doi.org/10.1109/TNNLS.2021.3080830 doi: 10.1109/TNNLS.2021.3080830
    [18] B. Jiang, Y. Kao, H. R. Karimi, C. Gao, Stability and stabilization for singular switching semi-Markovian jump systems with generally uncertain transition rates, IEEE T. Automat. Contr., 63 (2018), 3919–3926. https://doi.org/10.1109/TAC.2018.2819654 doi: 10.1109/TAC.2018.2819654
    [19] A. Din, Y. Li, Optimizing HIV/AIDS dynamics: Stochastic control strategies with education and treatment, Eur. Phys. J. Plus, 139 (2024), 812. https://doi.org/10.1140/epjp/s13360-024-05605-1 doi: 10.1140/epjp/s13360-024-05605-1
    [20] Y. Li, Z. Zeng, M. Feng, J. Kurths, Protection degree and migration in the stochastic SIRS model: A queueing system perspective, IEEE T. Circuits-I, 69 (2022), 771–783. https://doi.org/10.1109/TCSI.2021.3119978 doi: 10.1109/TCSI.2021.3119978
    [21] X. Yuan, Y. Yao, X. Li, M. Feng, Impact of time-dependent infection rate and self-isolation awareness on networked epidemic propagation, Nonlinear Dyn., 112 (2024), 15653–15669. https://doi.org/10.1007/s11071-024-09832-0 doi: 10.1007/s11071-024-09832-0
    [22] Q. Li, H. Chen, Y. Li, M. Feng, J. Kurths, Network spreading among areas: A dynamical complex network modeling approach, Chaos, 32 (2022), 103102. https://doi.org/10.1063/5.0102390 doi: 10.1063/5.0102390
    [23] M. A. Fuentes, M. N. Kuperman, Cellular automata and epidemiological models with spatial dependence, Physica A, 267 (1999), 471–486. https://doi.org/10.1016/S0378-4371(99)00027-8 doi: 10.1016/S0378-4371(99)00027-8
    [24] S. Chowdhury, S. Roychowdhury, I. Chaudhuri, Cellular automata in the light of COVID-19, Eur. Phys. J. Spec. Top., 231 (2022), 3619–3628. https://doi.org/10.1140/epjs/s11734-022-00619-1 doi: 10.1140/epjs/s11734-022-00619-1
    [25] M. Cendoya, A. Navarro-Quiles, A. López-Quílez, A. Vicent, D. Conesa, An individual-based spatial epidemiological model for the spread of plant diseases, JABES, 30 (2025), 618–637. https://doi.org/10.1007/s13253-024-00604-2 doi: 10.1007/s13253-024-00604-2
    [26] C. Courtès, E. Franck, K. Lutz, L. Navoret, Y. Privat, Reduced modelling and optimal control of epidemiological individual‐based models with contact heterogeneity, Optim. Contr. Appl. Met., 45 (2024), 459–493. https://doi.org/10.1002/oca.2970 doi: 10.1002/oca.2970
    [27] M. A. Nowak, Variability of HIV infections, J. Theor. Biol., 155 (192), 1–20. https://doi.org/10.1016/S0022-5193(05)80545-4
    [28] E. I. Obeagu, D. M. Mami, G. U. Obeagu, Climate Variability and HIV: Implications for control measures, Elite J. Public Health, 2 (2024), 111–127.
    [29] W. Y. Tan, Stochastic modeling of AIDS epidemiology and HIV pathogenesis, World Scientific, 2000. https://doi.org/10.1142/4265
    [30] W. Y. Tan, Stochastic models with applications to genetics, cancers, AIDS and other biomedical systems, World Scientific, 2015. https://doi.org/10.1142/8420
    [31] C. J. Mode, C. K. Sleeman, Stochastic processes in epidemiology: HIV/AIDS, other infectious diseases and computers. World Scientific, 2000.
    [32] Y. Sabbar, Refining extinction criteria in a complex multi-stage epidemic system with non-Gaussian Lévy noise, Commun. Nonlinear Sci., 149 (2025), 108911. https://doi.org/10.1016/j.cnsns.2025.108911 doi: 10.1016/j.cnsns.2025.108911
    [33] Y. Sabbar, New improvement of extinction conditions for a stochastic chain-structured HIV model with stage progression and independent jumps, 2025. https://doi.org/10.13140/RG.2.2.30694.28482
    [34] B. Han, D. Jiang, T. Hayat, A. Alsaedi, B. Ahmad, Stationary distribution and extinction of a stochastic staged progression AIDS model with staged treatment and second-order perturbation, Chaos Soliton. Fract., 140 (2020), 110238. https://doi.org/10.1016/j.chaos.2020.110238 doi: 10.1016/j.chaos.2020.110238
    [35] D. Wanduku, On the almost sure convergence of a stochastic process in a class of nonlinear multi-population behavioral models for HIV/AIDS with delayed ART treatment, Stoch. Anal. Appl., 39 (2021), 861–897. https://doi.org/10.1080/07362994.2020.1848593 doi: 10.1080/07362994.2020.1848593
    [36] B. Zhou, B. Han, D. Jiang, T. Hayat, A. Alsaedi, Ergodic stationary distribution and extinction of a staged progression HIV/AIDS infection model with nonlinear stochastic perturbations, Nonlinear Dyn., 107 (2022), 3863–3886. https://doi.org/10.1007/s11071-021-07116-5 doi: 10.1007/s11071-021-07116-5
    [37] H. Qiu, Y. Huo, Persistence and extinction of a stochastic AIDS model driven by Lévy jumps, J. Appl. Math. Comput., 68 (2022), 4317–4330. https://doi.org/10.1007/s12190-022-01706-1 doi: 10.1007/s12190-022-01706-1
    [38] X. Zhao, L. Dong, Dynamical behaviors of a stochastic HIV/AIDS epidemic model with treatment, Math. Method. Appl. Sci., 47 (2024), 3690–3704. https://doi.org/10.1002/mma.9188 doi: 10.1002/mma.9188
    [39] S. Liu, X. Xu, Z. Shi, Stochastic HIV dynamics with differential susceptibility: Impact of Ornstein-Uhlenbeck process and extinction threshold analysis, Int. J. Biomath., 2025, 2550105. https://doi.org/10.1142/S1793524525501050 doi: 10.1142/S1793524525501050
    [40] A. M. Almarashi, Statistical modelling and forecasting of HIV and anti-retroviral therapy cases by time-series and machine learning models, Sci. Rep., 15 (2025), 27033. https://doi.org/10.1038/s41598-025-10882-6 doi: 10.1038/s41598-025-10882-6
  • Reader Comments
  • © 2026 the Author(s), licensee AIMS Press. This is an open access article distributed under the terms of the Creative Commons Attribution License (http://creativecommons.org/licenses/by/4.0)
通讯作者: 陈斌, bchen63@163.com
  • 1. 

    沈阳化工大学材料科学与工程学院 沈阳 110142

  1. 本站搜索
  2. 百度学术搜索
  3. 万方数据库搜索
  4. CNKI搜索

Metrics

Article views(455) PDF downloads(28) Cited by(0)

Article outline

Figures and Tables

Figures(9)  /  Tables(10)

Other Articles By Authors

/

DownLoad:  Full-Size Img  PowerPoint
Return
Return

Catalog