Research article Special Issues

Influence of the $ \beta $-time fractional derivative on soliton structures and stability in nonlinear polarization-preserving optical fibers

  • Received: 16 July 2025 Revised: 15 August 2025 Accepted: 22 August 2025 Published: 28 August 2025
  • MSC : 35R11, 35C07, 35C08

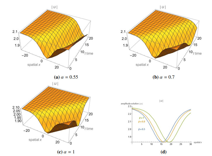
  • This paper investigates the influence of the $ \beta $-time fractional derivative on Kudryashov's formulation of the nonlinear refractive index in polarization-preserving optical fiber systems. The $ \beta $-fractional derivative framework offers a more general and memory-inclusive model of wave propagation compared to classical integer-order approaches. Using the improved modified extended tanh method, we derive several exact analytical solutions, including dark solitons, singular periodic solutions, and Jacobi elliptic function solutions. These solutions reveal the rich nonlinear dynamics introduced by the fractional temporal operator and provide insights into the modulation and stability of optical solitons in birefringent media. We demonstrate that the $ \beta $-fractional derivative significantly modifies soliton behavior, especially affecting amplitude, width, and propagation speed. The originality of this work lies in introducing the $ \beta $-time fractional derivative into the polarization-preserving optical fiber equation with Kudryashov-type nonlinearity-an approach not previously reported-and in obtaining new exact analytical solutions via the improved modified extended tanh method. These solutions, together with a detailed stability analysis, extend the current understanding of fractional-order soliton dynamics in nonlinear optical media.

    Citation: Rawan Bossly, Noorah Mshary, Hamdy M. Ahmed. Influence of the $ \beta $-time fractional derivative on soliton structures and stability in nonlinear polarization-preserving optical fibers[J]. AIMS Mathematics, 2025, 10(8): 19922-19939. doi: 10.3934/math.2025889

    Related Papers:

  • This paper investigates the influence of the $ \beta $-time fractional derivative on Kudryashov's formulation of the nonlinear refractive index in polarization-preserving optical fiber systems. The $ \beta $-fractional derivative framework offers a more general and memory-inclusive model of wave propagation compared to classical integer-order approaches. Using the improved modified extended tanh method, we derive several exact analytical solutions, including dark solitons, singular periodic solutions, and Jacobi elliptic function solutions. These solutions reveal the rich nonlinear dynamics introduced by the fractional temporal operator and provide insights into the modulation and stability of optical solitons in birefringent media. We demonstrate that the $ \beta $-fractional derivative significantly modifies soliton behavior, especially affecting amplitude, width, and propagation speed. The originality of this work lies in introducing the $ \beta $-time fractional derivative into the polarization-preserving optical fiber equation with Kudryashov-type nonlinearity-an approach not previously reported-and in obtaining new exact analytical solutions via the improved modified extended tanh method. These solutions, together with a detailed stability analysis, extend the current understanding of fractional-order soliton dynamics in nonlinear optical media.



    加载中


    [1] M. Soliman, H. M. Ahmed, N. Badra, M. E. Ramadan, I. Samir, S. Alkhatib, Influence of the $\beta$-fractional derivative on optical soliton solutions of the pure-quartic nonlinear Schrödinger equation with weak nonlocality, AIMS Math., 10 (2025), 7489–7508. https://doi.org/10.3934/math.2025344 doi: 10.3934/math.2025344
    [2] L. Akinyemi, M. Mirzazadeh, S. Amin Badri, K. Hosseini, Dynamical solitons for the perturbated Biswas-Milovic equation with Kudryashov's law of refractive index using the first integral method, J. Modern Opt., 69 (2022), 172–182. https://doi.org/10.1080/09500340.2021.2012286 doi: 10.1080/09500340.2021.2012286
    [3] N. A. Kudryashov, Optical solitons of the generalized nonlinear Schrödinger equation with Kerr nonlinearity and dispersion of unrestricted order, Mathematics, 10 (2022), 3409. https://doi.org/10.3390/math10183409 doi: 10.3390/math10183409
    [4] X. Li, P. Gao, W. Liu, Geometric-stair-shaped super-regular breathers induced by PT-symmetric nonlinearity, Phys. Rev. A, 111 (2025), 033515. https://doi.org/10.1103/PhysRevA.111.033515 doi: 10.1103/PhysRevA.111.033515
    [5] S. A. AlQahtani, M. E. M. Alngar, Soliton solutions of perturbed NLSE-CQ model in polarization-preserving fibers with cubic-quintic-septic-nonic nonlinearities, J. Opt., 53 (2024), 3789–3796. https://doi.org/10.1007/s12596-023-01526-x doi: 10.1007/s12596-023-01526-x
    [6] M. Bilal, A. R. Seadawy, M. Younis, S. T. R. Rizvi, Highly dispersive optical solitons and other solutions for the Radhakrishnan-Kundu-Lakshmanan equation in birefringent fibers, Opt. Quant. Electron., 53 (2021), 435. https://doi.org/10.1007/s11082-021-03083-8 doi: 10.1007/s11082-021-03083-8
    [7] E. Parasuraman, X. L. J. Vinoli, Perturbed periodic localized modes in birefringent optical fiber for two component Kundu-Eckhaus equation with third order dispersion, J. Opt., 54 (2025), 2784–2795. https://doi.org/10.1007/s12596-025-02784-7 doi: 10.1007/s12596-025-02784-7
    [8] H. Cakicioglu, M. Ozisik, A. Secer, M. Bayram, Optical soliton solutions of Schrödinger-Hirota equation with parabolic law nonlinearity via generalized Kudryashov algorithm, Opt. Quant. Electron., 55 (2023), 407. https://doi.org/10.1007/s11082-023-04634-x doi: 10.1007/s11082-023-04634-x
    [9] E. M. E. Zayed, A. G. Al-Nowehy, M. E. M. Alngar, A. Biswas, M. Asma, M. Ekici, et al., Highly dispersive optical solitons in birefringent fibers with four nonlinear forms using Kudryashov's approach, J. Opt., 50 (2021), 120–131. https://doi.org/10.1007/s12596-020-00668-6 doi: 10.1007/s12596-020-00668-6
    [10] Y. Yildirim, Bright, dark and singular optical solitons to Kundu-Eckhaus equation having four-wave mixing in the context of birefringent fibers, Optik, 203 (2019), 110–118. https://doi.org/10.1016/j.ijleo.2019.01.002 doi: 10.1016/j.ijleo.2019.01.002
    [11] L. Akinyemi, A. Houwe, S. Abbagari, A. M. Wazwaz, H. M. Alshehri, M. S. Osman, Effects of the higher-order dispersion on solitary waves and modulation instability in a monomode fiber, Optik, 288 (2023), 171202. https://doi.org/10.1016/j.ijleo.2023.171202 doi: 10.1016/j.ijleo.2023.171202
    [12] S. Abbagari, A. Houwe, L. Akinyemi, M. Şenol, T. B. Bouetou, W-chirped solitons and modulated waves patterns in parabolic law medium with anti-cubic nonlinearity, J. Nonlinear Opt. Phys. Mater., 34 (2025), 2350087. https://doi.org/10.1142/S021886352350087X doi: 10.1142/S021886352350087X
    [13] S. Abbagari, A. Houwe, L. Akinyemi, D. Y. Serge, K. T. Crépin, Rogue and solitary waves of a system of coupled nonlinear Schrödinger equations in a left-handed transmission line with second-neighbors coupling, Phys. Lett. A, 520 (2024), 129719. https://doi.org/10.1016/j.physleta.2024.129719 doi: 10.1016/j.physleta.2024.129719
    [14] M. Soliman, H. M. Ahmed, N. Badra, T. A. Nofal, I. Samir, Highly dispersive gap solitons for conformable fractional model in optical fibers with dispersive reflectivity solutions using the modified extended direct algebraic method, AIMS Math., 9 (2024), 25205–25222. https://doi.org/10.3934/math.20241229 doi: 10.3934/math.20241229
    [15] M. Caputo, J. M. Carcione, Wave simulation in dissipative media described by distributed-order fractional time derivatives, J. Vibr. Control, 17 (2011), 1121–1130. https://doi.org/10.1177/1077546310368697 doi: 10.1177/1077546310368697
    [16] B. A. Malomed, Basic fractional nonlinear-wave models and solitons, Chaos, 34 (2024), 022102. https://doi.org/10.1063/5.0190039 doi: 10.1063/5.0190039
    [17] M. A. Akbar, F. A. Abdullah, M. M. Khatun, Analytical soliton solutions of time-fractional higher-order Sasa-Satsuma equations: Nonlinear optics and beyond and the impact of fractional-order derivative, Opt. Quant. Electron., 56 (2024), 227. https://doi.org/10.1007/s11082-023-05823-4 doi: 10.1007/s11082-023-05823-4
    [18] J. Ahmad, T. Younas, Diverse optical wave structures to the time-fractional phi-four equation in nuclear physics through two powerful methods, Opt. Quant. Electron., 56 (2024), 606. https://doi.org/10.1007/s11082-023-06190-w doi: 10.1007/s11082-023-06190-w
    [19] L. Mescia, P. Bia, D. Caratelli, FDTD-based electromagnetic modeling of dielectric materials with fractional dispersive response, Electronics, 11 (2022), 1588. https://doi.org/10.3390/electronics11101588 doi: 10.3390/electronics11101588
    [20] W. W. Mohammed, F. Gassem, R. Sidaoui, Chaotic and quasi-periodic dynamics in fractional-order nonlinear wave systems within dispersive-dissipative media, Sci. Rep., 15 (2025), 22377. https://doi.org/10.1038/s41598-025-03938-0 doi: 10.1038/s41598-025-03938-0
    [21] R. Ali, Z. Zhang, H. Ahmad, Exploring soliton solutions in nonlinear spatiotemporal fractional quantum mechanics equations: An analytical study, Opt. Quant. Electron., 56 (2024), 838. https://doi.org/10.1007/s11082-024-06370-2 doi: 10.1007/s11082-024-06370-2
    [22] R. Ali, Z. Zhang, H. Ahmad, M. M. Alam, The analytical study of soliton dynamics in fractional coupled Higgs system using the generalized Khater method, Opt. Quant. Electron., 56 (2024), 1067. https://doi.org/10.1007/s11082-024-06924-4 doi: 10.1007/s11082-024-06924-4
    [23] H. Yasmin, N. H. Aljahdaly, A. M. Saeed, R. Shah, Families of soliton solutions for the complex structured coupled fractional Biswas–Arshed model in birefringent fibers using a novel analytical technique, Fractal Fract., 7 (2023), 491. https://doi.org/10.3390/fractalfract7070491 doi: 10.3390/fractalfract7070491
    [24] M. Soliman, H. M. Ahmed, N. Badra, I. Samir, Effects of fractional derivative on fiber optical solitons of (2+1) perturbed nonlinear Schrödinger equation using improved modified extended tanh-function method, Opt. Quant. Electron., 56 (2024), 777. https://doi.org/10.1007/s11082-024-06593-3 doi: 10.1007/s11082-024-06593-3
    [25] M. H. Ali, H. M. El-Owaidy, H. M. Ahmed, A. A. El-Deeb, I. Samir, New solitons to generalized nonlinear Schrödinger equation with Kudryashov's dual form of generalized non-local nonlinearity using improved modified extended tanh method, J. Opt., 53 (2024), 4331–4342. https://doi.org/10.1007/s12596-023-01567-2 doi: 10.1007/s12596-023-01567-2
    [26] M. S. Ahmed, A. A. S. Zaghrout, H. M. Ahmed, Solitons and other wave solutions for nonlinear Schrödinger equation with Kudryashov generalized nonlinearity using the improved modified extended tanh-function, Opt. Quant. Electron., 55 (2023), 1231. https://doi.org/10.1007/s11082-023-05521-1 doi: 10.1007/s11082-023-05521-1
    [27] H. Yépez-Martínez, R. T. Alqahtani, Analytical soliton solutions for the beta fractional derivative Gross–Pitaevskii system with linear magnetic and time dependent laser interactions, Phys. Scr., 99 (2024), 025238. https://doi.org/10.1088/1402-4896/ad1c2a doi: 10.1088/1402-4896/ad1c2a
    [28] E. H. M. Abdullah, H. M. Ahmed, A. Zaghrout, A. I. A. Bahnasy, W. B. Rabie, Dynamical structures of optical solitons for highly dispersive perturbed NLSE with $\beta$-fractional derivatives and a sextic power-law refractive index using a novel approach, Arabian J. Math., 13 (2024), 441–454. https://doi.org/10.1007/s40065-024-00486-9 doi: 10.1007/s40065-024-00486-9
    [29] G. Akram, M. Sadaf, I. Zainab, Effect of a new local derivative on space-time fractional nonlinear Schrödinger equation and its stability analysis, Opt. Quant. Electron., 55 (2023), 834. https://doi.org/10.1007/s11082-023-05009-y doi: 10.1007/s11082-023-05009-y
    [30] M. Bilal, Y. M. Alawaideh, S. U. Rehman, M. A. Yousif, U. Younas, D. Baleanu, Gross-Pitaevskii systems of fractional order with respect to multicomponent solitary wave dynamics, Sci. Rep., 15 (2025), 24337. https://doi.org/10.1038/s41598-025-06806-z doi: 10.1038/s41598-025-06806-z
    [31] J. Ahmad, M. Hameed, Z. Mustafa, S. U. Rehman, Soliton patterns in the truncated M-fractional resonant nonlinear Schrödinger equation via modified Sardar sub-equation method, J. Opt., 54 (2025), 1118–1139. https://doi.org/10.1007/s12596-024-01812-2 doi: 10.1007/s12596-024-01812-2
    [32] A. M. Elsherbeny, N. M. Elsonbaty, N. M. Badra, H. M. Ahmed, M. Mirzazadeh, M. Eslami, et al., Optical solitons of higher-order mathematical model with refractive index using Kudryashov method, Opt. Quant. Electron., 56 (2024), 935. https://doi.org/10.1007/s11082-024-06846-1 doi: 10.1007/s11082-024-06846-1
    [33] S. T. R. Rizvi, A. R. Seadawy, M. Younis, S. Iqbal, S. Althobaiti, A. M. El-Shehawi, Various optical soliton for a weak fractional nonlinear Schrödinger equation with parabolic law, Res. Phys., 23 (2021), 103998. https://doi.org/10.1016/j.rinp.2021.103998 doi: 10.1016/j.rinp.2021.103998
    [34] M. Soliman, H. M. Ahmed, N. Badra, I. Samir, M. Eslami, Optical soliton solutions using improved modified extended tanh function method for fractional beta-time derivative (2+1)-dimensional Schrödinger equation, Modern Phys. Lett. B, 39 (2025), 848. https://doi.org/10.1142/S0217984925500848 doi: 10.1142/S0217984925500848
    [35] W. B. Rabie, H. M. Ahmed, M. Mirzazadeh, M. S. Hashemi, M. Bayram, Solitons and other wave solutions to Kudryashov's equation with generalized anti-cubic nonlinearity and local fractional derivative using an efficient technique, J. Opt., 2024. https://doi.org/10.1007/s12596-024-01863-5
    [36] A. Biswas, A. Sonmezoglu, M. Ekici, A. K. Alzahrani, M. Belic, Cubic-quartic optical solitons with differential group delay for Kudryashov's model by extended trial function, J. Commun. Technol. Electron., 65 (2020), 1384–1398. https://doi.org/10.1134/S1064226920120037 doi: 10.1134/S1064226920120037
    [37] M. H. Ali, H. M. El-Owaidy, H. M. Ahmed, A. A. El-Deeb, I. Samir, New solitons to generalized nonlinear Schrödinger equation with Kudryashov's dual form of generalized non-local nonlinearity using improved modified extended tanh method, J. Opt., 53 (2024), 4331–4342. https://doi.org/10.1007/s12596-023-01567-2 doi: 10.1007/s12596-023-01567-2
    [38] Z. Yang, B. Y. Hon, An improved modified extended tanh-function method, Z. Naturforsch. A, 61 (2006), 103–115.
  • Reader Comments
  • © 2025 the Author(s), licensee AIMS Press. This is an open access article distributed under the terms of the Creative Commons Attribution License (http://creativecommons.org/licenses/by/4.0)
通讯作者: 陈斌, bchen63@163.com
  • 1. 

    沈阳化工大学材料科学与工程学院 沈阳 110142

  1. 本站搜索
  2. 百度学术搜索
  3. 万方数据库搜索
  4. CNKI搜索

Metrics

Article views(423) PDF downloads(20) Cited by(0)

Article outline

Figures and Tables

Figures(5)

Other Articles By Authors

/

DownLoad:  Full-Size Img  PowerPoint
Return
Return

Catalog