Research article Special Issues

From exponential-geometric to Lomax: A unified survival model via gamma frailty

  • Published: 19 December 2025
  • MSC : 62E15, 60E05, 62F10

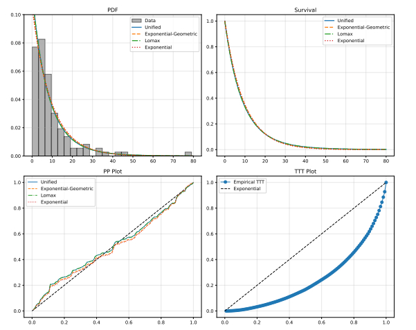
  • This paper introduces a new flexible lifetime distribution that unifies the exponential-geometric and Lomax models through a random system size and a shared gamma frailty. It models the first failure time in a system with a geometrically distributed number of conditionally exponential components with gamma frailty, producing a geometric mixture of Lomax distributions. The model generalizes classical distributions, reducing to exponential-geometric, Lomax, or exponential under appropriate limits. We derived analytical expressions for the cumulative distribution, survival, and hazard functions, discussed maximum likelihood estimation, and illustrated its competitive and versatile fits on real datasets.

    Citation: Mohieddine Rahmouni. From exponential-geometric to Lomax: A unified survival model via gamma frailty[J]. AIMS Mathematics, 2025, 10(12): 29927-29954. doi: 10.3934/math.20251315

    Related Papers:

  • This paper introduces a new flexible lifetime distribution that unifies the exponential-geometric and Lomax models through a random system size and a shared gamma frailty. It models the first failure time in a system with a geometrically distributed number of conditionally exponential components with gamma frailty, producing a geometric mixture of Lomax distributions. The model generalizes classical distributions, reducing to exponential-geometric, Lomax, or exponential under appropriate limits. We derived analytical expressions for the cumulative distribution, survival, and hazard functions, discussed maximum likelihood estimation, and illustrated its competitive and versatile fits on real datasets.



    加载中


    [1] J. Guo, X. Kong, N. Wu, L. Xie, Evaluating the lifetime distribution parameters and reliability of products using successive approximation method, Qual. Reliab. Eng. Int., 40 (2024), 3280–3303. http://doi.org/10.1002/qre.3559 doi: 10.1002/qre.3559
    [2] M. Xu, H. Mao, q-weibull distributions: Perspectives and applications in reliability engineering, IEEE Trans. Reliab., 74 (2025), 3112–3125. http://doi.org/10.1109/tr.2024.3448289 doi: 10.1109/tr.2024.3448289
    [3] Y. Yang, W. Wang, X. Zhang, Y. Xiong, G. Wang, Lifetime data modelling and reliability analysis based on modified weibull extension distribution and bayesian approach, J. Mech. Sci. Technol., 32 (2018), 5121–5126. http://doi.org/10.1007/s12206-018-1009-8 doi: 10.1007/s12206-018-1009-8
    [4] M. E. Bakr, O. S. Balogun, A. A. El-Toony, A. M. Gadallah, Reliability analysis for unknown age class of lifetime distribution with real applications in medical science, Symmetry, 16 (2024), 1514. http://doi.org/10.3390/sym16111514 doi: 10.3390/sym16111514
    [5] N. Feroze, U. Tahir, M. Noor-ul Amin, K. S. Nisar, M. S. Alqahtani, M. Abbas, et al., Applicability of modified weibull extension distribution in modeling censored medical datasets: A bayesian perspective, Sci. Rep., 12. http://doi.org/10.1038/s41598-022-21326-w
    [6] I. Daigo, K. Iwata, M. Oguchi, Y. Goto, Lifetime distribution of buildings decided by economic situation at demolition: D-based lifetime distribution, Proc. CIRP, 61 (2017), 146–151. http://doi.org/10.1016/j.procir.2016.11.221 doi: 10.1016/j.procir.2016.11.221
    [7] C. Kleiber, S. Kotz, Statistical Size Distributions in Economics and Actuarial Sciences, Hoboken: John Wiley & Sons, Inc, 2003. http://doi.org/10.1002/0471457175
    [8] M. Bhattacharjee, 11 Reliability ideas and applications in economics and social sciences, In: Handbook of Statistics, Elsevier, 1988,175–213. http://doi.org/10.1016/s0169-7161(88)07013-0
    [9] N. M. Alfaer, A. M. Gemeay, H. M. Aljohani, A. Z. Afify, The extended log-logistic distribution: Inference and actuarial applications, Mathematics, 9 (2021), 1386. http://doi.org/10.3390/math9121386 doi: 10.3390/math9121386
    [10] S. Chowdhury, A. K. Nanda, A new lifetime distribution with applications in inventory and insurance, Int. J. Qual. Reliab. Manag., 35 (2018), 527–544. http://doi.org/10.1108/ijqrm-12-2016-0227 doi: 10.1108/ijqrm-12-2016-0227
    [11] F. H. Riad, A. Radwan, E. M. Almetwally, M. Elgarhy, A new heavy tailed distribution with actuarial measures, J. Radiat. Res. Appl. Sci., 16 (2023), 100562. http://doi.org/10.1016/j.jrras.2023.100562 doi: 10.1016/j.jrras.2023.100562
    [12] M. Rahmouni, D. Ziedan, The weibull-generalized shifted geometric distribution: properties, estimation, and applications, AIMS Mathematics, 10 (2025), 9773–9804. http://doi.org/10.3934/math.2025448 doi: 10.3934/math.2025448
    [13] Y. Wang, X. Liu, H. Wang, X. Wang, X. Wang, Improved fatigue failure model for reliability analysis of mechanical parts inducing stress spectrum, Proc. Inst. Mech. Eng., : J. Risk Reliab., 235 (2021), 973–981. http://doi.org/10.1177/1748006x20987402 doi: 10.1177/1748006x20987402
    [14] L. Yao, T. Cheng, J. Luo, X. Liu, Weibull distribution-based reliability evaluation of cutting tool via improved bayesian-bootstrap method, Proc. Inst. Mech. Eng., : J. Risk Reliab., 2025. http://doi.org/10.1177/1748006x251350513 doi: 10.1177/1748006x251350513
    [15] M. Rahmouni, A new compound family of weibull order statistics and left k-truncated power series distributions, Int. J. Anal. Appl., 23 (2025), 106. http://doi.org/10.28924/2291-8639-23-2025-106 doi: 10.28924/2291-8639-23-2025-106
    [16] K. Adamidis, S. Loukas, A lifetime distribution with decreasing failure rate, Stat. Probab. Lett., 39 (1998), 35–42. http://doi.org/10.1016/s0167-7152(98)00012-1 doi: 10.1016/s0167-7152(98)00012-1
    [17] M. Rahmouni, A. Orabi, The exponential-generalized truncated geometric (EGTG) distribution: A new lifetime distribution, Int. J. Stat. Probab., 7 (2018), 1. http://doi.org/10.5539/ijsp.v7n1p1 doi: 10.5539/ijsp.v7n1p1
    [18] D. D. Hanagal, Frailty models in public health, In: Disease Modelling and Public Health, Elsevier, 2017,209–247. http://doi.org/10.1016/bs.host.2017.07.004
    [19] P. Hougaard, Frailty models for survival data, Lifetime Data Anal., 1 (1995), 255–273. http://doi.org/10.1007/bf00985760 doi: 10.1007/bf00985760
    [20] C. Lai, M. Izadi, Generalized logistic frailty model, Stat. Probab. Lett., 82 (2012), 1969–1977. http://doi.org/10.1016/j.spl.2012.06.012 doi: 10.1016/j.spl.2012.06.012
    [21] T. A. Balan, H. Putter, A tutorial on frailty models, Stat. Methods Med. Res., 29 (2020), 3424–3454. http://doi.org/10.1177/0962280220921889 doi: 10.1177/0962280220921889
    [22] K. S. Lomax, Business failures: Another example of the analysis of failure data, J. Amer. Stat. Assoc., 49 (1954), 847–852. http://doi.org/10.1080/01621459.1954.10501239 doi: 10.1080/01621459.1954.10501239
    [23] M. Rahmouni, A. Orabi, A generalization of the exponential-logarithmic distribution for reliability and life data analysis, Life Cycle Reliab. Safety Eng., 7 (2018), 159–171. http://doi.org/10.1007/s41872-018-0049-5 doi: 10.1007/s41872-018-0049-5
    [24] G. J. McLachlan, D. Peel, Finite Mixture Models, New York: John Wiley & Sons, 2000.
    [25] V. Choulakian, M. A. Stephens, Goodness-of-Fit Tests for the Generalized Pareto Distribution, Technometrics, 43 (2001), 478–484. http://doi.org/10.1198/00401700152672573 doi: 10.1198/00401700152672573
    [26] M. Kayid, A. Abouammoh, G. Alomani, Scaled-invariant extended quasi-lindley model: Properties, estimation, and application, Symmetry, 15 (2023), 1780. http://doi.org/10.3390/sym15091780 doi: 10.3390/sym15091780
    [27] F. Proschan, Theoretical explanation of observed decreasing failure rate, Technometrics, 5 (1963), 375–383. http://doi.org/10.1080/00401706.1963.10490105 doi: 10.1080/00401706.1963.10490105
    [28] E. T. Lee, J. W. Wang, Statistical Methods for Survival Data Analysis, Hboken: John Wiley & Sons, 2003. http://doi.org/10.1002/0471458546
    [29] J. Wolfowitz, On Wald's proof of the consistency of the maximum likelihood estimate, Ann. Math. Stat., 20 (1949), 601–602. http://doi.org/10.1214/aoms/1177729953 doi: 10.1214/aoms/1177729953
    [30] W. K. Newey, D. McFadden, Large sample estimation and hypothesis testing, In: Handbook of Econometrics, vol. 4, Elsevier, 2111–2245, 1994. http://doi.org/10.1016/s1573-4412(05)80005-4
  • Reader Comments
  • © 2025 the Author(s), licensee AIMS Press. This is an open access article distributed under the terms of the Creative Commons Attribution License (http://creativecommons.org/licenses/by/4.0)
通讯作者: 陈斌, bchen63@163.com
  • 1. 

    沈阳化工大学材料科学与工程学院 沈阳 110142

  1. 本站搜索
  2. 百度学术搜索
  3. 万方数据库搜索
  4. CNKI搜索

Metrics

Article views(1066) PDF downloads(39) Cited by(0)

Article outline

Figures and Tables

Figures(8)  /  Tables(4)

Other Articles By Authors

/

DownLoad:  Full-Size Img  PowerPoint
Return
Return

Catalog