Research article Special Issues

Numerical treatment for multi-pantograph integro-differential equation via tau spectral method

  • Published: 12 December 2025
  • MSC : 65L05, 65R20, 65N35, 65L03

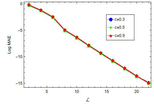
  • Pantograph integro-differential equations have many crucial applications in science and engineering. The presence of differential behavior, scaling, and memory effects makes pantograph integro-differential equations capable of describing complex systems in control theory and mathematical biology. In this paper, we provide a numerical approach to the multi-pantograph integro-differential equation. The Jacobi tau spectral approach is utilized with the help of differential, integral, and pantograph operational matrices to solve one- and two-dimensional linear multi-pantograph integro-differential equations. The high accuracy, convergence, and simplicity motivate one to apply the tau spectral approach to the problem studied. Numerical results for two test problems are performed to test the validity and superiority of the suggested numerical scheme over other numerical schemes.

    Citation: Samer S. Ezz-Eldien, Ali H. Tedjani, Faizah A. H. Alomari, Amra Al Kenany. Numerical treatment for multi-pantograph integro-differential equation via tau spectral method[J]. AIMS Mathematics, 2025, 10(12): 29380-29405. doi: 10.3934/math.20251290

    Related Papers:

  • Pantograph integro-differential equations have many crucial applications in science and engineering. The presence of differential behavior, scaling, and memory effects makes pantograph integro-differential equations capable of describing complex systems in control theory and mathematical biology. In this paper, we provide a numerical approach to the multi-pantograph integro-differential equation. The Jacobi tau spectral approach is utilized with the help of differential, integral, and pantograph operational matrices to solve one- and two-dimensional linear multi-pantograph integro-differential equations. The high accuracy, convergence, and simplicity motivate one to apply the tau spectral approach to the problem studied. Numerical results for two test problems are performed to test the validity and superiority of the suggested numerical scheme over other numerical schemes.



    加载中


    [1] Y. Kuang, Delay differential equations: With applications in population dynamics, USA, New York: Academic Press, 91 (1993).
    [2] S. S. Ezz-Eldien, A. Alalyani, Legendre spectral collocation method for one-and two-dimensional nonlinear pantograph Volterra-Fredholm integro-differential equations, Int. J. Mod. Phys. C, 37 (2025), 2550061. https://doi.org/10.1142/s0129183125500615 doi: 10.1142/s0129183125500615
    [3] M. Dehghan, F. Shakeri, The use of the decomposition procedure of adomian for solving a delay differential equation arising in electrodynamics, Phys. Scripta, 78 (2008), 065004. https://doi.org/10.1088/0031-8949/78/06/065004 doi: 10.1088/0031-8949/78/06/065004
    [4] L. Fox, D. F. Mayers, J. A. Ockendon, A. B. Tayler, On a functional differential equation, IMA J. Appl. Math., 8 (1971), 271–307. https://doi.org/10.1093/imamat/8.3.271 doi: 10.1093/imamat/8.3.271
    [5] J. R. Ockendon, A. B. Tayler, The dynamics of a current collection system for an electric locomotive, Proc. R. Soc. A, 322 (1971), 447–468. https://doi.org/10.1098/rspa.1971.0078 doi: 10.1098/rspa.1971.0078
    [6] M. A. Zaky, I. G. Ameen, N. A. Elkot, E. H. Doha, A unified spectral collocation method for nonlinear systems of multi-dimensional integral equations with convergence analysis, Appl. Numer. Math., 161 (2021), 27–45. https://doi.org/10.1016/j.apnum.2020.10.028 doi: 10.1016/j.apnum.2020.10.028
    [7] W. G. Ajello, H. I. Freedman, J. Wu, Analysis of a model representing stage-structured population growth with state-dependent time delay, SIAM J. Appl. Math., 52 (1992), 855–869. https://doi.org/10.1137/0152048 doi: 10.1137/0152048
    [8] M. A. Elkot, E. H. Doha, I. G. Ameen, G. Ibrahem, A. S. Hendy, M. A. Zaky, A re-scaling spectral collocation method for the nonlinear fractional pantograph delay differential equations with non-smooth solutions, Commun. Nonlinear Sci., 118 (2023), 107017. https://doi.org/10.1016/j.cnsns.2022.107017 doi: 10.1016/j.cnsns.2022.107017
    [9] M. M. Alsuyuti, E. H. Doha, S. S. Ezz-Eldien, I. K. Youssef, Spectral Galerkin schemes for a class of multi-order fractional pantograph equations, J. Comput. Appl. Math., 384 (2021), 113157. https://doi.org/10.1016/j.cam.2020.113157 doi: 10.1016/j.cam.2020.113157
    [10] G. A. Bocharov, F. A. Rihan, Numerical modelling in biosciences using delay differential equations, J. Comput. Appl. Math., 125 (2000), 183–199. https://doi.org/10.1016/S0377-0427(00)00468-4 doi: 10.1016/S0377-0427(00)00468-4
    [11] J. Zhao, Y. Cao, Y. Xu, Sinc numerical solution for pantograph Volterra delay-integro-differential equation, Int. J. Comput. Math., 94 (2017), 853–865. https://doi.org/10.1080/00207160.2017.1283030 doi: 10.1080/00207160.2017.1283030
    [12] M. M. Alsuyuti, E. H. Doha, B. I. Bayoumi, S. S. Ezz-Eldien, Robust spectral treatment for time-fractional delay partial differential equations, Comput. Appl. Math., 42 (2023), 159. https://doi.org/10.1007/s40314-023-02287-w doi: 10.1007/s40314-023-02287-w
    [13] M. A. Zaky, Finite difference/fractional Pertrov-Galerkin spectral method for the linear time-space fractional reaction-diffusion equation, Mathematics, 13 (2025), 1864. https://doi.org/10.3390/math13111864 doi: 10.3390/math13111864
    [14] J. Zhao, Y. Cao, Y. Xu, Tau approximate solution of linear pantograph Volterra delay-integro-differential equation, Comput. Appl. Math., 39 (2020), 46. https://doi.org/10.1007/s40314-020-1080-5 doi: 10.1007/s40314-020-1080-5
    [15] M. A. Zaky, I. G. Ameen, A novel Jacobi spectral method for multi-dimensional weakly singular nonlinear Volterra integral equations with nonsmooth solutions, Eng. Comput.-Germany, 37 (2021), 2623–2631. https://doi.org/10.1007/s00366-020-00953-9 doi: 10.1007/s00366-020-00953-9
    [16] J. G. Liu, W. H. Zhu, Y. K. Wu, G. H. Jin, Application of multivariate bilinear neural network method to fractional partial differential equations, Res. Phys., 47 (2023), 106341. https://doi.org/10.1016/j.rinp.2023.106341 doi: 10.1016/j.rinp.2023.106341
    [17] R. F. Zhang, S. Bilige, Bilinear neural network method to obtain the exact analytical solutions of nonlinear partial differential equations and its application to p-gBKP equation, Nonlinear Dynam., 95 (2019), 3041–3048. https://doi.org/10.1007/s11071-018-04739-z doi: 10.1007/s11071-018-04739-z
    [18] R. M. Zhong, Bilinear neural network method for obtaining the exact analytical solutions to nonlinear evolution equations and its application to KdV equation, Afr. Diaspora J. Math., 27 (2024), 4. https://doi.org/10.7813/s3x0tb07 doi: 10.7813/s3x0tb07
    [19] Y. Alkhezi, Y. H. R. Almubarak, A. Shafee, Neural-network-based approximations for investigating a Pantograph delay differential equation with application in Algebra, Int. J. Math. Comput. Sci., 20 (2025), 195–209. https://doi.org/10.69793/ijmcs/01.2025/ahmad doi: 10.69793/ijmcs/01.2025/ahmad
    [20] X. R. Xie, R. F. Zhang, Neural network-based symbolic calculation approach for solving the Korteweg–de Vries equation, Chaos Soliton. Fract., 194 (2025), 116232. https://doi.org/10.1016/j.chaos.2025.116232 doi: 10.1016/j.chaos.2025.116232
    [21] T. Ji, J. Hou, C. Yang, The operational matrix of Chebyshev polynomials for solving pantograph-type Volterra integro-differential equations, Adv. Contin. Discrete M., 2022 (2022), 57. https://doi.org/10.1186/s13662-022-03729-1 doi: 10.1186/s13662-022-03729-1
    [22] H. Jafari, N. Tuan, R. M. Ganji, A new numerical scheme for solving pantograph type nonlinear fractional integro-differential equations, J. King Saud Univ. Sci., 33 (2021), 101185. https://doi.org/10.1016/j.jksus.2020.08.029 doi: 10.1016/j.jksus.2020.08.029
    [23] Y. Wang, S. S. Ezz-Eldien, A. A. Aldraiweesh, A new algorithm for the solution of nonlinear two-dimensional Volterra integro-differential equations of high-order, J. Comput. Appl. Math., 364 (2020), 112301. https://doi.org/10.1016/j.cam.2019.06.017 doi: 10.1016/j.cam.2019.06.017
    [24] P. Darania, F. M. Sotoudehmaram, Numerical analysis of a high order method for nonlinear delay integral equations, J. Comput. Appl. Math., 374 (2020), 112738. https://doi.org/10.1016/j.cam.2020.112738 doi: 10.1016/j.cam.2020.112738
    [25] N. A. Elkot, M. A. Zaky, E. H. Doha, I. G. Ameen, On the rate of convergence of the Legendre spectral collocation method for multi-dimensional nonlinear Volterra–Fredholm integral equations, Commun. Theor. Phys., 73 (2021), 025002. https://doi.org/10.1088/1572-9494/abcfb3 doi: 10.1088/1572-9494/abcfb3
    [26] A. H. Tedjani, S. E. Alhazmi, S. S. Ezz-Eldien, An operational approach for one-and two-dimension high-order multi-pantograph Volterra integro-differential equation, AIMS Math., 10 (2025), 9274–9294. https://doi.org/10.3934/math.2025426 doi: 10.3934/math.2025426
    [27] M. A. Zaky, M. Babatin, M. Hammad, A. Akgül, A. S. Hendy, Efficient spectral collocation method for nonlinear systems of fractional pantograph delay differential equations, AIMS Math., 9 (2017), 15246–15262. https://doi.10.3934/math.2024740 doi: 10.3934/math.2024740
    [28] S. S. Ezz-Eldien, On solving fractional logistic populationmodels with applications, Comput. Appl. Math., 37 (2018), 6392-–6409. https://doi.org/10.1007/s40314-018-0693-4 doi: 10.1007/s40314-018-0693-4
    [29] E. H. Doha, A. H. Bhrawy, D. Baleanu, S. S. Ezz-Eldien, The operational matrix formulation of the Jacobi tau approximation for space fractional diffusion equation, Adv. Differ. Equ., 231 (2014). https://doi.org/10.1186/1687-1847-2014-231 doi: 10.1186/1687-1847-2014-231
    [30] M. A. Zaky, A. A. Kenany, S. E. Alhazmi, S. S. Ezz-Eldien, Numerical treatment of tempered space-fractional Zeldovich–Frank–Kamenetskii equation, Rom. Rep. Phys., 2025.
    [31] J. Zhou, Z. Jiang, H. Xie, H. Niu, The error estimates of spectral methods for 1-dimension singularly perturbed problem, Appl. Math. Lett., 100 (2020), 106001. https://doi.org/10.1016/j.aml.2019.106001 doi: 10.1016/j.aml.2019.106001
    [32] C. T. Sheng, Z. Q. Wang, B. Y. Guo, A multistep Legendre–Gauss spectral collocation method for nonlinear Volterra integral equations, SIAM J. Numer. Anal., 52 (2014). https://doi.org/10.1137/130915200 doi: 10.1137/130915200
  • Reader Comments
  • © 2025 the Author(s), licensee AIMS Press. This is an open access article distributed under the terms of the Creative Commons Attribution License (http://creativecommons.org/licenses/by/4.0)
通讯作者: 陈斌, bchen63@163.com
  • 1. 

    沈阳化工大学材料科学与工程学院 沈阳 110142

  1. 本站搜索
  2. 百度学术搜索
  3. 万方数据库搜索
  4. CNKI搜索

Metrics

Article views(1045) PDF downloads(61) Cited by(0)

Article outline

Figures and Tables

Figures(5)  /  Tables(9)

/

DownLoad:  Full-Size Img  PowerPoint
Return
Return

Catalog