Research article Special Issues

Ion–acoustic waves in a conformable fractional mKdV framework: Solitons, periodic solutions, and Hirota bilinear construction

  • Published: 11 December 2025
  • MSC : 34A34, 34C15, 34C25, 35L65, 37N30

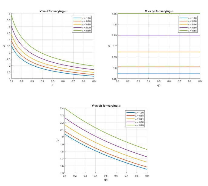
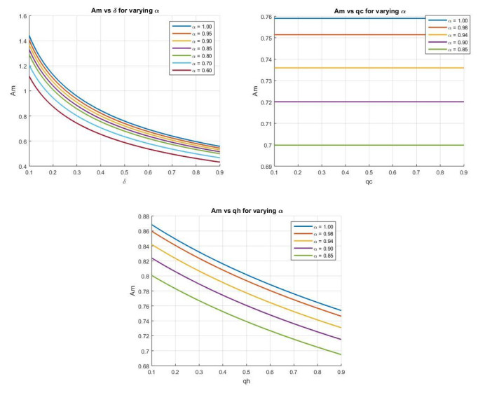
  • The main aim of this study is to formulate a space–time fractional modified Korteweg–de Vries (mKdV) model for describing ion-acoustic wave propagation in magnetized, multi-component plasmas. By employing the conformable fractional derivative, we derive a reduced evolution equation and obtain exact traveling wave solutions through three complementary approaches: Integration, Jacobi elliptic constructions, and a Hirota bilinear formulation. These methods yield soliton, kink, and periodic wave families, while the associated phase portraits characterize the corresponding dynamic regimes. The fractional order α systematically modulates the amplitude and width of the solutions, with the classical mKdV limit recovered smoothly as α = 1. The findings provide a physically transparent fractional framework together with analytical benchmark solutions that will be useful for validating numerical solvers and interpreting nonlinear structures in laboratory and space plasmas.

    Citation: Khalid A. Alsatami. Ion–acoustic waves in a conformable fractional mKdV framework: Solitons, periodic solutions, and Hirota bilinear construction[J]. AIMS Mathematics, 2025, 10(12): 29189-29235. doi: 10.3934/math.20251284

    Related Papers:

  • The main aim of this study is to formulate a space–time fractional modified Korteweg–de Vries (mKdV) model for describing ion-acoustic wave propagation in magnetized, multi-component plasmas. By employing the conformable fractional derivative, we derive a reduced evolution equation and obtain exact traveling wave solutions through three complementary approaches: Integration, Jacobi elliptic constructions, and a Hirota bilinear formulation. These methods yield soliton, kink, and periodic wave families, while the associated phase portraits characterize the corresponding dynamic regimes. The fractional order α systematically modulates the amplitude and width of the solutions, with the classical mKdV limit recovered smoothly as α = 1. The findings provide a physically transparent fractional framework together with analytical benchmark solutions that will be useful for validating numerical solvers and interpreting nonlinear structures in laboratory and space plasmas.



    加载中


    [1] H. Washimi, T. Taniuti, Propagation of ion-acoustic solitary waves of small amplitude, Phys. Rev. Lett., 17 (1966), 996–998. https://doi.org/10.1103/PhysRevLett.17.996 doi: 10.1103/PhysRevLett.17.996
    [2] A. Mushtaq, H. A. Shah, Nonlinear Zakharov–Kuznetsov equation for obliquely propagating two-dimensional ion-acoustic waves in a relativistic, rotating magnetized electron–positron–ion plasma, Phys. Plasmas, 12 (2005), 072306. https://doi.org/10.1063/1.1946729 doi: 10.1063/1.1946729
    [3] T. S. Gill, A. Singh, H. Kaur, N. S. Saini, P. Bala, Ion-acoustic solitons in weakly relativistic plasma containing electron–positron and ion, Phys. Lett. A, 361 (2007), 364–367. https://doi.org/10.1016/j.physleta.2006.09.053 doi: 10.1016/j.physleta.2006.09.053
    [4] R. S. Tiwari, Ion-acoustic dressed solitons in electron–positron–ion plasmas, Phys. Lett. A, 372 (2008), 3461–3466. https://doi.org/10.1016/j.physleta.2008.02.002 doi: 10.1016/j.physleta.2008.02.002
    [5] H. Pakzad, Ion acoustic solitary waves in plasma with nonthermal electron and positron, Phys. Lett. A, 373 (2009), 847–850. https://doi.org/10.1016/j.physleta.2008.12.066 doi: 10.1016/j.physleta.2008.12.066
    [6] S. Mahmood, A. Mushtaq, H. Saleem, Ion acoustic solitary wave in homogeneous magnetized electron–positron–ion plasmas, New J. Phys., 5 (2003), 1–28. https://doi.org/10.1088/1367-2630/5/1/328 doi: 10.1088/1367-2630/5/1/328
    [7] R. Tiwari, A. Kaushik, M. Mishra, Effects of positron density and temperature on ion acoustic dressed solitons in an electron–positron–ion plasma, Phys. Lett. A, 365 (2007), 335–340. https://doi.org/10.1016/j.physleta.2007.01.020 doi: 10.1016/j.physleta.2007.01.020
    [8] M. A. Moghanjoughi, Effects of ion-temperature on propagation of the large-amplitude ion-acoustic solitons in degenerate electron–positron–ion plasmas, Phys. Plasmas, 17 (2010), 082315. https://doi.org/10.1063/1.3480117 doi: 10.1063/1.3480117
    [9] A. Shah, R. Saeed, M. Noaman-ul-Haq, Nonplanar converging and diverging shock waves in the presence of thermal ions in electron–positron plasma, Phys. Plasmas, 17 (2010), 072307. https://doi.org/10.1063/1.3457928 doi: 10.1063/1.3457928
    [10] A. E. Kalejahi, M. Mehdipoor, M. A. Moghanjoughi, Effects of positron density and temperature on ion-acoustic solitary waves in a magnetized electron–positron–ion plasma: Oblique propagation, Phys. Plasmas, 16 (2009), 052309. https://doi.org/10.1063/1.3142465 doi: 10.1063/1.3142465
    [11] S. A. Colgate, H. Li, V. Pariev, The origin of the magnetic fields of the universe: The plasma astrophysics of the free energy of the universe, Phys. Plasmas, 8 (2001), 2425–2431. https://doi.org/10.1063/1.1351827 doi: 10.1063/1.1351827
    [12] M. M. Rahman, A. A. Mamun, M. S. Alam, Positron acoustic shock waves in four-component plasmas with nonthermal electrons and positrons, J. Korean Phys. Soc., 64 (2014), 1828–1833. https://doi.org/10.3938/jkps.64.1828 doi: 10.3938/jkps.64.1828
    [13] B. B. Mouhammadoul, A. Alim, C. G. L. Tiofack, A. Mohamadou, Modulated positron-acoustic waves and rogue waves in a magnetized plasma system with nonthermal electrons and positrons, Astrophys. Space Sci., 365 (2020), 90. https://doi.org/10.1007/s10509-020-03805-6 doi: 10.1007/s10509-020-03805-6
    [14] W. Alhejaili, D. V. Douanla, A. Alim, C. G. L. Tiofack, A. Mohamadou, S. A. E. Tantawy, Multidimensional dust-acoustic rogue waves in electron-depleted complex magnetoplasmas, Phys. Fluids, 35 (2023), 063102. https://doi.org/10.1063/5.0153338 doi: 10.1063/5.0153338
    [15] C. G. L. Tiofack, D. V. Douanla, A. Alim, A. Mohamadou, S. M. E. Ismaeel, S. A. E. Tantawy, Dust-acoustic modulated structures in self-gravitating magnetized electron-depleted dusty plasmas: Multi-rogue waves and dark soliton collisions, Eur. Phys. J. Plus, 136 (2021), 699. https://doi.org/10.1140/epjp/s13360-021-01686-4 doi: 10.1140/epjp/s13360-021-01686-4
    [16] D. V. Douanla, C. G. L. Tiofack, A. Alim, A. Mohamadou, H. A. Alyousef, S. M. E. Ismaeel, et al., Dynamics and head-on collisions of multidimensional dust acoustic shock waves in a self-gravitating magnetized electron-depleted dusty plasma, Phys. Fluids, 35 (2023), 023103. https://doi.org/10.1063/5.0137914 doi: 10.1063/5.0137914
    [17] Shalini, N. S. Saini, Ion acoustic solitary waves and double layers in a plasma with two temperature electrons featuring Tsallis distribution, Phys. Plasmas, 21 (2014), 102901. https://doi.org/10.1063/1.4897177 doi: 10.1063/1.4897177
    [18] Shalini, N. S. Shalini, A. P. Misra, Modulation of ion-acoustic waves in a nonextensive plasma with two-temperature electrons, Phys. Plasmas, 22 (2015), 092124. https://doi.org/10.1063/1.4931074 doi: 10.1063/1.4931074
    [19] G. S. Lakhina, A. P. Kakad, S. V. Singh, F. Verheest, Ion- and electron-acoustic solitons in two-electron temperature space plasmas, Phys. Plasmas, 15 (2008), 062903. https://doi.org/10.1063/1.2930469 doi: 10.1063/1.2930469
    [20] A. Saha, J. Tamang, Qualitative analysis of the positron-acoustic waves in electron-positron-ion plasmas with deformed Kaniadakis distributed electrons and hot positrons, Phys. Plasmas, 24 (2017), 082101. https://doi.org/10.1063/1.4994396 doi: 10.1063/1.4994396
    [21] M. Ferdousi, S. Yasmin, S. Ashraf, A. A. Mamun, Nonlinear propagation of ion-acoustic waves in an electron-positron-ion plasma, Astrophys. Space Sci., 352 (2014), 579–584. https://doi.org/10.1007/s10509-014-1950-7 doi: 10.1007/s10509-014-1950-7
    [22] S. A. E. Tantawy, Nonlinear dynamics of soliton collisions in electronegative plasmas: The phase shifts of the planar KdV- and mKdV-soliton collisions, Chaos Soliton. Fract., 93 (2016), 162–168. https://doi.org/10.1016/j.chaos.2016.10.011 doi: 10.1016/j.chaos.2016.10.011
    [23] A. H. Almuqrin, D. V. Douanla, G. L. C. Tiofack, A. Mohamadou, S. M. E. Ismaeel, S. A. El-Tantawy, On the propagation and interaction of the low-frequency ion-acoustic multi-solitons in a magnetoplasma having nonextensive electrons using Hirota bilinear method, J. Low Freq. Noise V. A., 44 (2025), 1612–1630. https://doi.org/10.1177/14613484251337289 doi: 10.1177/14613484251337289
    [24] A. Saha, Bifurcation of travelling wave solutions for the generalized KP–MEW equations, Commun. Nonlinear Sci., 17 (2012), 3539–3551. https://doi.org/10.1016/j.cnsns.2012.01.005 doi: 10.1016/j.cnsns.2012.01.005
    [25] Z. Li, Traveling wave solutions, numerical simulation and phase portraits for the conformable space-time fractional diffusive predator–prey system, Phys. Lett. A, 561 (2025), 130995. https://doi.org/10.1016/j.physleta.2025.130995 doi: 10.1016/j.physleta.2025.130995
    [26] S. Akram, J. Ahmad, S. U. Rehman, S. Alkarni, N. A. Shah, Exploration of solitary wave solutions of highly nonlinear KdV–KP equation arising in water waves and stability analysis, Results Phys., 54 (2023), 107054. https://doi.org/10.1016/j.rinp.2023.107054 doi: 10.1016/j.rinp.2023.107054
    [27] A. M. Wazwaz, The simplified Hirota's method for studying three extended higher-order KdV-type equations, J. Ocean Eng. Sci., 1 (2016), 181–185. https://doi.org/10.1016/j.joes.2016.06.003 doi: 10.1016/j.joes.2016.06.003
    [28] K. J. Wang, Resonant multiple wave, periodic wave and interaction solutions of the new extended (3+1)-dimensional Boiti–Leon–Manna–Pempinelli equation, Nonlinear Dynam., 111 (2023), 16427–16439. https://doi.org/10.1007/s11071-023-08699-x doi: 10.1007/s11071-023-08699-x
    [29] H. H. Sheng, G. F. Yu, Solitons, breathers and rational solutions for a (2+1)-dimensional dispersive long wave system, Physica D, 432 (2022), 133140.
    [30] S. S. Zhang, T. Xu, M. Li, X. F. Zhang, Higher-order algebraic soliton solutions of the Gerdjikov–Ivanov equation: Asymptotic analysis and emergence of rogue waves, Physica D, 432 (2022), 133128. https://doi.org/10.1016/j.physd.2021.133128 doi: 10.1016/j.physd.2021.133128
    [31] K. A. Alsatami, Analysis of solitary wave behavior under stochastic noise in the generalized Schamel equation, Sci. Rep., 15 (2025), 19157. https://doi.org/10.1038/s41598-025-04696-9 doi: 10.1038/s41598-025-04696-9
    [32] A. A. Hassaballa, M. Yavuz, G. A. M. O. Farah, F. A. Almulhim, S. A. Khalek, E. A. B. A. Salam, Mathematical modeling of influence of multiplicative white noise on dynamical soliton solutions in the KdV equation, Math. Open, 4 (2025), 2550013. https://doi.org/10.1142/S2811007225500130 doi: 10.1142/S2811007225500130
    [33] M. Zayed, H. M. AbdelSalam, I. Daqqa, S. A. Khalek, E. A. B A. Salam, G. M. Ismail, Stochastic dynamics of solitary waves in the damped mKdV equation: Analytical solutions and numerical simulations, AIMS Math., 10 (2025), 25907–25938. https://doi.org/10.3934/math.20251145 doi: 10.3934/math.20251145
    [34] K. J. Wang, A fast insight into the optical solitons of the generalized third-order nonlinear Schrödinger equation, Results Phys., 40 (2022), 105872. https://doi.org/10.1016/j.rinp.2022.105872 doi: 10.1016/j.rinp.2022.105872
    [35] K. J. Wang, G. D. Wang, Variational theory and new abundant solutions to the (1+2)-dimensional chiral nonlinear Schrödinger equation in optics, Phys. Lett. A, 412 (2021), 127588. https://doi.org/10.1016/j.physleta.2021.127588 doi: 10.1016/j.physleta.2021.127588
    [36] K. J. Wang, The generalized (3+1)-dimensional B-type Kadomtsev–Petviashvili equation: Resonant multiple soliton, N-soliton, soliton molecules and interaction solutions, Nonlinear Dynam., 112 (2024), 7309–7324. https://doi.org/10.1007/s11071-024-09356-7 doi: 10.1007/s11071-024-09356-7
    [37] T. Aboelenen, Local discontinuous Galerkin method for distributed-order time and space-fractional convection–diffusion and Schrödinger-type equations, Nonlinear Dynam., 92 (2018), 395–413. https://doi.org/10.1007/s11071-018-4063-y doi: 10.1007/s11071-018-4063-y
    [38] Y. Liang, K. Wang, Dynamics of the new exact wave solutions to the local fractional Vakhnenko–Parkes equation, Fractals, 2025. https://doi.org/10.1142/S0218348X25501026 doi: 10.1142/S0218348X25501026
    [39] K. J. Wang, The fractal active low-pass filter within the local fractional derivative on the Cantor set, COMPEL, 42 (2023), 1396–1407. https://doi.org/10.1108/COMPEL-09-2022-0326 doi: 10.1108/COMPEL-09-2022-0326
    [40] S. R. Aderyani, R. Saadati, J. Vahidi, J. F. G. Aguilar, The exact solutions of conformable time-fractional modified nonlinear Schrödinger equation by first integral method and functional variable method, Opt. Quant. Electron., 54 (2022), 218. https://doi.org/10.1007/s11082-022-03605-y doi: 10.1007/s11082-022-03605-y
    [41] A. A. Hassaballa, M. Yavuz, E. A. B. A. Salam, G. A. M. O. Farah, I. Daqqa, Geometrical representation and Hirota direct approach for multiple soliton solutions of nonlinear M-coupled fractional equations, Math. Comp. Model. Dyn., 31 (2025), 2595101. https://doi.org/10.1080/13873954.2025.2595101 doi: 10.1080/13873954.2025.2595101
    [42] J. Ahmad, S. Akram, S. U. Rehman, N. B. Turki, N. A. Shah, Description of soliton and lump solutions to the M-truncated stochastic Biswas–Arshed model in optical communication, Results Phys., 51 (2023), 106719. https://doi.org/10.1016/j.rinp.2023.106719 doi: 10.1016/j.rinp.2023.106719
    [43] W. He, N. Chen, I. Dassios, N. A. Shah, J. D. Chung, Fractional system of Korteweg–de Vries equations via Elzaki transform, Mathematics, 9 (2021), 673. https://doi.org/10.3390/math9060673 doi: 10.3390/math9060673
    [44] N. A. Shah, Y. S. Hamed, K. M. Abualnaja, J. D. Chung, R. Shah, A. Khan, A comparative analysis of fractional-order Kaup–Kupershmidt equation within different operators, Symmetry, 14 (2022), 986. https://doi.org/10.3390/sym14050986 doi: 10.3390/sym14050986
    [45] N. A. Shah, H. A. Alyousef, S. A. E. Tantawy, R. Shah, J. D. Chung, Analytical investigation of fractional-order Korteweg–de Vries-type equations under Atangana–Baleanu–Caputo operator: Modeling nonlinear waves in a plasma and fluid, Symmetry, 14 (2022), 739. https://doi.org/10.3390/sym14040739 doi: 10.3390/sym14040739
    [46] E. A. B. A. Salam, G. F. Hassan, Solutions to class of linear and nonlinear fractional differential equations, Commun. Theor. Phys., 65 (2016), 127. https://doi.org/10.1088/0253-6102/65/2/127 doi: 10.1088/0253-6102/65/2/127
    [47] M. I. Nouh, Y. A. Azzam, E. A. B. A. Salam, Modeling fractional polytropic gas spheres using artificial neural network, Neural Comput. Appl., 33 (2021), 4533–4546. https://doi.org/10.1007/s00521-020-05277-9 doi: 10.1007/s00521-020-05277-9
    [48] E. A. B. A. Salam, M. S. Jazmati, H. Ahmad, Geometrical study and solutions for family of Burgers-like equations with fractional order space-time, Alex. Eng. J., 61 (2022), 511–521. https://doi.org/10.1016/j.aej.2021.06.032 doi: 10.1016/j.aej.2021.06.032
    [49] R. Khalil, M. A. Horani, A. Yousef, M. Sababheh, A new definition of fractional derivative, J. Comput. Appl. Math., 264 (2014), 65–70. https://doi.org/10.1016/j.cam.2014.01.002 doi: 10.1016/j.cam.2014.01.002
    [50] E. A. B. A. Salam, M. I. Nouh, E. A. Elkholy, Analytical solution to the conformable fractional Lane–Emden type equations arising in astrophysics, Sci. Afr., 8 (2020), e00386. https://doi.org/10.1016/j.sciaf.2020.e00386 doi: 10.1016/j.sciaf.2020.e00386
    [51] I. Jaradat, M. Alquran, Construction of solitary two-wave solutions for a new two-mode version of the Zakharov–Kuznetsov equation, Mathematics, 8 (2020), 1127. https://doi.org/10.3390/math8071127 doi: 10.3390/math8071127
  • Reader Comments
  • © 2025 the Author(s), licensee AIMS Press. This is an open access article distributed under the terms of the Creative Commons Attribution License (http://creativecommons.org/licenses/by/4.0)
通讯作者: 陈斌, bchen63@163.com
  • 1. 

    沈阳化工大学材料科学与工程学院 沈阳 110142

  1. 本站搜索
  2. 百度学术搜索
  3. 万方数据库搜索
  4. CNKI搜索

Metrics

Article views(887) PDF downloads(30) Cited by(0)

Article outline

Figures and Tables

Figures(9)  /  Tables(1)

Other Articles By Authors

/

DownLoad:  Full-Size Img  PowerPoint
Return
Return

Catalog