Research article

An improved dung beetle optimizer algorithm for solving engineering optimization problems

  • Published: 10 November 2025
  • MSC : 90C59

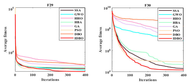
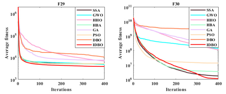
  • To address the limitations of the dung beetle optimizer algorithm, such as its tendency to fall into local optima during the later phases of the iterative process, limited global exploration capability, and relatively slow convergence speed, this paper proposes a multi-strategy improved dung beetle optimizer algorithm. The improvement integrates the Sobol sequence, the nonlinear convergence factor, Lévy flight, the adaptive Cauchy–Gaussian hybrid mutation, and the greedy strategy. These improvements effectively enhance population diversity, the global exploration ability, and local exploitation performance. Specifically, the Sobol sequence is employed to initialize the population, thereby ensuring a more uniform and comprehensive population distribution. The nonlinear convergence factor is introduced to better balance the algorithm's global exploration and local exploitation. Lévy flight is applied to perturb the global best solution, improving the algorithm's ability to escape from local optima. Finally, the adaptive Cauchy–Gaussian hybrid mutation, combined with the greedy strategy, is designed to accelerate convergence and preserve elite individuals. To comprehensively evaluate the performance of the proposed algorithm, comparative experiments are conducted on the CEC2017 benchmark test set against seven widely recognized intelligent optimization algorithms. The experimental results demonstrate that the improved algorithm achieves superior performance in both optimization accuracy and convergence speed. Finally, the proposed algorithm is applied to actual engineering optimization problem, yielding the best results in all cases, thereby validating its effectiveness and practical applicability in solving complex optimization problem.

    Citation: Qing Hu, Fenhua Zhu. An improved dung beetle optimizer algorithm for solving engineering optimization problems[J]. AIMS Mathematics, 2025, 10(11): 25811-25848. doi: 10.3934/math.20251142

    Related Papers:

  • To address the limitations of the dung beetle optimizer algorithm, such as its tendency to fall into local optima during the later phases of the iterative process, limited global exploration capability, and relatively slow convergence speed, this paper proposes a multi-strategy improved dung beetle optimizer algorithm. The improvement integrates the Sobol sequence, the nonlinear convergence factor, Lévy flight, the adaptive Cauchy–Gaussian hybrid mutation, and the greedy strategy. These improvements effectively enhance population diversity, the global exploration ability, and local exploitation performance. Specifically, the Sobol sequence is employed to initialize the population, thereby ensuring a more uniform and comprehensive population distribution. The nonlinear convergence factor is introduced to better balance the algorithm's global exploration and local exploitation. Lévy flight is applied to perturb the global best solution, improving the algorithm's ability to escape from local optima. Finally, the adaptive Cauchy–Gaussian hybrid mutation, combined with the greedy strategy, is designed to accelerate convergence and preserve elite individuals. To comprehensively evaluate the performance of the proposed algorithm, comparative experiments are conducted on the CEC2017 benchmark test set against seven widely recognized intelligent optimization algorithms. The experimental results demonstrate that the improved algorithm achieves superior performance in both optimization accuracy and convergence speed. Finally, the proposed algorithm is applied to actual engineering optimization problem, yielding the best results in all cases, thereby validating its effectiveness and practical applicability in solving complex optimization problem.



    加载中


    [1] C. Gambella, B. Ghaddar, J. Naoum-Sawaya, Optimization problems for machine learning: a survey, Eur. J. Oper. Res., 290 (2021), 807–828. https://doi.org/10.1016/j.ejor.2020.08.045 doi: 10.1016/j.ejor.2020.08.045
    [2] B. Duan, C. Guo, H. Liu, A hybrid genetic-particle swarm optimization algorithm for multi-constraint optimization problems, Soft Comput., 26 (2022), 11695–11711. https://doi.org/10.1007/s00500-022-07489-8 doi: 10.1007/s00500-022-07489-8
    [3] Z. Cao, Z. Wang, L. Zhao, F. Fan, Y. Sun, Multi-constraint and multi-objective optimization of free-form reticulated shells using improved optimization algorithm, Eng. Struct., 250 (2022), 113442. https://doi.org/10.1016/j.engstruct.2021.113442 doi: 10.1016/j.engstruct.2021.113442
    [4] G. Hu, F. Huang, K. Chen, G. Wei, MNEARO: a meta swarm intelligence optimization algorithm for engineering applications, Comput. Method. Appl. Mech. Eng., 419 (2024), 116664. https://doi.org/10.1016/j.cma.2023.116664 doi: 10.1016/j.cma.2023.116664
    [5] X. Wang, H. Hu, Y. Liang, L. Zhou, On the mathematical models and applications of swarm intelligent optimization algorithms, Arch. Computat. Method. Eethods. Eng., 29 (2022), 3815–3842. https://doi.org/10.1007/s11831-022-09717-8 doi: 10.1007/s11831-022-09717-8
    [6] X. Deng, T. Lv, Power system planning with increasing variable renewable energy: a review of optimization models, J. Clean. Prod., 246 (2020), 118962. https://doi.org/10.1016/j.jclepro.2019.118962 doi: 10.1016/j.jclepro.2019.118962
    [7] W. C. Wang, W. C. Tian, D. M. Xu, H. F. Zang, Arctic puffin optimization: A bio-inspired metaheuristic algorithm for solving engineering design optimization, Adv. Eng. Softw., 195 (2024), 103694. https://doi.org/10.1016/j.advengsoft.2024.103694 doi: 10.1016/j.advengsoft.2024.103694
    [8] M. Jones, S. Djahel, K. Welsh, Path-planning for unmanned aerial vehicles with environment complexity considerations: a survey, ACM Comput. Surv., 55 (2023), 1–39. https://doi.org/10.1145/3570723 doi: 10.1145/3570723
    [9] Y. Liu, B. Cao, A novel ant colony optimization algorithm with Levy flight, IEEE Access, 8 (2020), 67205–67213. https://doi.org/10.1109/ACCESS.2020.2985498 doi: 10.1109/ACCESS.2020.2985498
    [10] A. Fath, An efficient spider wasp optimizer-based tracker for enhancing the harvested power from thermoelectric generation sources, Case Stud. Therm. Eng., 61 (2024), 104878. https://doi.org/10.1016/j.csite.2024.104878 doi: 10.1016/j.csite.2024.104878
    [11] Z. Duan, H. Yu, Q. Zhang, L. Tian, Parameter extraction of solar photovoltaic model based on nutcracker optimization algorithm, Appl. Sci., 13 (2023), 6710. https://doi.org/10.3390/app13116710 doi: 10.3390/app13116710
    [12] F. S. Gharehchopogh, H. Gholizadeh, A comprehensive survey: Whale Optimization Algorithm and its applications, Swarm Evol. Comput., 48 (2019), 1–24. https://doi.org/10.1016/j.swevo.2019.03.004 doi: 10.1016/j.swevo.2019.03.004
    [13] W. Zhao, L. Wang, S. Mirjalili, Artificial hummingbird algorithm: a new bio-inspired optimizer with its engineering applications, Comput. Method. Appl. M., 388 (2022), 114194. https://doi.org/10.1016/j.cma.2021.114194 doi: 10.1016/j.cma.2021.114194
    [14] P. Chakraborty, S. Sharma, A. K. Saha, Convergence analysis of butterfly optimization algorithm, Soft Comput., 27 (2023), 7245–7257. https://doi.org/10.1007/s00500-023-07920-8 doi: 10.1007/s00500-023-07920-8
    [15] J. Xue, B. Shen, Dung beetle optimizer: a new meta-heuristic algorithm for global optimization, J. Supercomput., 79 (2023), 7305–7336. https://doi.org/10.1007/s11227-022-04959-6 doi: 10.1007/s11227-022-04959-6
    [16] R. Gong, Z. Wei, Y. Qin, T. Liu, J. Xu, Short-term electrical load forecasting based on IDBO-PTCN-GRU model, Energies, 17 (2024), 4667. https://doi.org/10.3390/en17184667 doi: 10.3390/en17184667
    [17] Y. Niu, M. Meng, X. Li, T. Pang, Operational decisions of wind–photovoltaic–storage hybrid power systems using improved dung beetle optimizer, J. Energy Storage, 117 (2025), 116225. https://doi.org/10.1016/j.est.2025.116225 doi: 10.1016/j.est.2025.116225
    [18] Y. Li, K. Sun, Q. Yao, L. Wang, A dual-optimization wind speed forecasting model based on deep learning and improved dung beetle optimization algorithm, Energy, 286 (2024), 129604. https://doi.org/10.1016/j.energy.2023.129604 doi: 10.1016/j.energy.2023.129604
    [19] J. Liu, Z. Lv, L. Zhao, A dual-optimization building energy prediction framework based on improved dung beetle algorithm, variational mode decomposition and deep learning, Energ. Buildings, 328 (2025), 115143. https://doi.org/10.1016/j.enbuild.2024.115143 doi: 10.1016/j.enbuild.2024.115143
    [20] W. Gu, F. Wang, A multi-strategy improved dung beetle optimisation algorithm and its application, Cluster Comput., 28 (2025), 49. https://doi.org/10.1007/s10586-024-04704-z doi: 10.1007/s10586-024-04704-z
    [21] W. Zhang, H. Zhang, X. Zhang, An enhanced dung beetle optimizer with adaptive node selection and dynamic step search for mobile robots path planning, Meas. Sci. Technol., 36 (2025), 036301. https://doi.org/10.1088/1361-6501/adac02 doi: 10.1088/1361-6501/adac02
    [22] Q. Wu, H. Xu, M. Liu, Applying an improved Dung Beetle Optimizer algorithm to network traffic identification, Comput. Mater. Con., 78 (2024), 4091–4107. https://doi.org/10.32604/cmc.2024.048461 doi: 10.32604/cmc.2024.048461
    [23] F. Zhu, G. Li, H. Tang, Y. Li, X. Lv, X. Wang, Dung beetle optimization algorithm based on quantum computing and multi-strategy fusion for solving engineering problems, Expert Syst. Appl., 236 (2024), 121219. https://doi.org/10.1016/j.eswa.2023.121219 doi: 10.1016/j.eswa.2023.121219
    [24] Q. Chen, Y. Wang, Y. Sun, An improved dung beetle optimizer for UAV 3D path planning, J. Supercomput., 80 (2024), 26537–26567. https://doi.org/10.1007/s11227-024-06414-0 doi: 10.1007/s11227-024-06414-0
    [25] C. Hu, F. Wu, H. Zou, New PID parameter tuning based on improved dung beetle optimization algorithm, Can. J. Chem. Eng., 102 (2024), 4297–4316. https://doi.org/10.1002/cjce.25343 doi: 10.1002/cjce.25343
    [26] R. Zhang, X. Chen, M. Li, Multi-UAV cooperative task assignment based on multi-strategy improved DBO, Cluster Comput., 28 (2025), 195. https://doi.org/10.1007/s10586-024-04912-7 doi: 10.1007/s10586-024-04912-7
    [27] D. Zhang, C. Zhang, X. Han, C. Wang, Improved DBO-VMD and optimized DBN-ELM based fault diagnosis for control valve, Meas. Sci. Technol., 35 (2024), 075103. https://doi.org/10.1088/1361-6501/ad3be0 doi: 10.1088/1361-6501/ad3be0
    [28] H. Liu, A. Kadir, C. Xu, Cryptanalysis and constructing S-box based on chaotic map and backtracking, App. Math. Comput., 376 (2020), 125153. https://doi.org/10.1016/j.amc.2020.125153 doi: 10.1016/j.amc.2020.125153
    [29] S. Benaissi, N. Chikouche, R. Hamza, A novel image encryption algorithm based on hybrid chaotic maps using a key image, Optik, 272 (2023), 170316. https://doi.org/10.1016/j.ijleo.2022.170316 doi: 10.1016/j.ijleo.2022.170316
    [30] N. Tsafack, S. Sankar, B. Abd-El-Atty, J. Kengne, J. KC, A. Belazi, A new chaotic map with dynamic analysis and encryption application in internet of health things, IEEE Access, 8 (2020), 137731–137744. https://doi.org/10.1109/ACCESS.2020.3010794 doi: 10.1109/ACCESS.2020.3010794
    [31] D. Singh, S. Kaur, M. Kaur, S. Singh, M. Kaur, H. N. Lee, A systematic literature review on chaotic maps-based image security techniques, Comput. Sci. Rev., 54 (2024), 100659. https://doi.org/10.1016/j.cosrev.2024.100659 doi: 10.1016/j.cosrev.2024.100659
    [32] J. Li, Q. An, H. Lei, Q. Deng, G. G. Wang, Survey of Lévy flight-based metaheuristics for optimization, Mathematics, 10 (2022), 2785. https://doi.org/10.3390/math10152785 doi: 10.3390/math10152785
    [33] W. Kaidi, M. Khishe, M. Mohammadi, Dynamic levy flight chimp optimization, Knowl-Based. Syst., 235 (2022), 107625. https://doi.org/10.1016/j.knosys.2021.107625 doi: 10.1016/j.knosys.2021.107625
    [34] G. Saravanan, S. Neelakandan, P. Ezhumalai, S. Maurya, Improved wild horse optimization with levy flight algorithm for effective task scheduling in cloud computing, J. Cloud Comput., 12 (2023), 24. https://doi.org/10.1186/s13677-023-00401-1 doi: 10.1186/s13677-023-00401-1
    [35] X. L. Lu, G. He, QPSO algorithm based on Lévy flight and its application in fuzzy portfolio, Appl. Soft Comput., 99 (2021), 106894. https://doi.org/10.1016/j.asoc.2020.106894 doi: 10.1016/j.asoc.2020.106894
    [36] J. Zhang, H. Li, M. K. Parizi, HWMWOA: a hybrid WMA–WOA algorithm with adaptive cauchy mutation for global optimization and data classification, Int. J. Inf. Tech. Decis., 22 (2023), 1195–1252. https://doi.org/10.1142/S0219622022500675 doi: 10.1142/S0219622022500675
    [37] J. Xue, B. Shen, A survey on sparrow search algorithms and their applications, Int. J. Syst. Sci., 55 (2024), 814–832. https://doi.org/10.1080/00207721.2023.2293687 doi: 10.1080/00207721.2023.2293687
    [38] M. Ghalambaz, R. J. Yengejeh, A. H. Davami, Building energy optimization using grey wolf optimizer (GWO), Case Stud. Therm. Eng., 27 (2021), 101250. https://doi.org/10.1016/j.csite.2021.101250 doi: 10.1016/j.csite.2021.101250
    [39] H. Gezici, H. Livatyalı, Chaotic Harris hawks optimization algorithm, J. Comput. Des. Eng., 9 (2022), 216–245. https://doi.org/10.1093/jcde/qwab082 doi: 10.1093/jcde/qwab082
    [40] Y. Xu, R. Zhong, Y. Cao, C. Zhang, J. Yu, Symbiotic mechanism-based honey badger algorithm for continuous optimization, Cluster Comput., 28 (2025), 133. https://doi.org/10.1007/s10586-024-04765-0 doi: 10.1007/s10586-024-04765-0
    [41] S. M. Ardelean, M. Udrescu, Hybrid quantum search with genetic algorithm optimization, PeerJ Comput. Sci., 10 (2024), e2210. https://doi.org/10.7717/peerj-cs.2210 doi: 10.7717/peerj-cs.2210
    [42] D. D. Ramírez-Ochoa, L. A. Pérez-Domínguez, E. A. Martínez-Gómez, D. Luviano-Cruz, PSO, a swarm intelligence-based evolutionary algorithm as a decision-making strategy: a review, Symmetry, 14 (2022), 455. https://doi.org/10.3390/sym14030455 doi: 10.3390/sym14030455
    [43] M. Sagheer, M. Asif Jan, Z. Shah, W. K. Mashwani, R. Adeeb Khanum, M. Shutaywi, Enhancing teaching learning based optimization algorithm through group discussion strategy for CEC 2017 benchmark problems, Soft Comput., 29 (2025), 895–932. https://doi.org/10.1007/s00500-025-10409-1 doi: 10.1007/s00500-025-10409-1
    [44] X. Wu, S. Li, X. Jiang, Y. Zhou, Information acquisition optimizer: a new efficient algorithm for solving numerical and constrained engineering optimization problems, J. Supercomput., 80 (2024), 25736–25791. https://doi.org/10.1007/s11227-024-06384-3 doi: 10.1007/s11227-024-06384-3
  • Reader Comments
  • © 2025 the Author(s), licensee AIMS Press. This is an open access article distributed under the terms of the Creative Commons Attribution License (http://creativecommons.org/licenses/by/4.0)
通讯作者: 陈斌, bchen63@163.com
  • 1. 

    沈阳化工大学材料科学与工程学院 沈阳 110142

  1. 本站搜索
  2. 百度学术搜索
  3. 万方数据库搜索
  4. CNKI搜索

Metrics

Article views(1791) PDF downloads(44) Cited by(0)

Article outline

Figures and Tables

Figures(30)  /  Tables(6)

Other Articles By Authors

/

DownLoad:  Full-Size Img  PowerPoint
Return
Return

Catalog