Research article Special Issues

Analysis and simulation of a normalized Caputo-Fabrizio fractional SEIR epidemic model

  • Published: 29 October 2025
  • MSC : 34D20, 34K20, 34K60, 92C60, 92D45

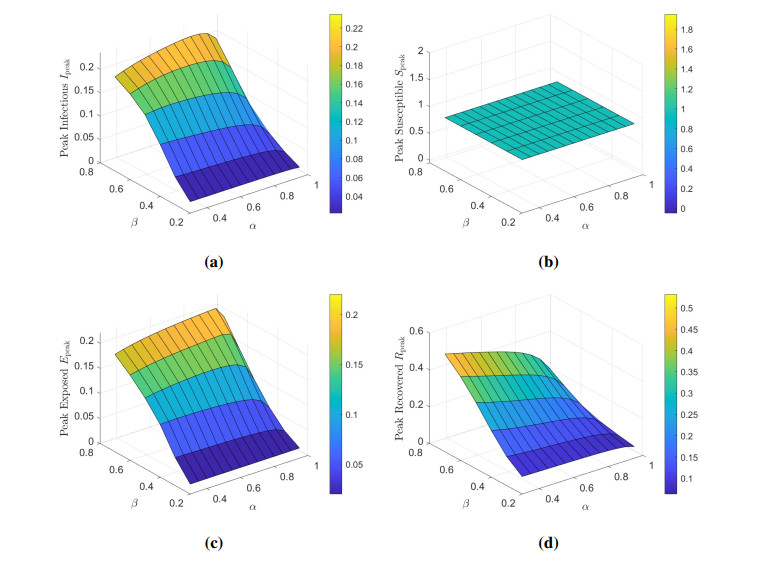
  • This paper introduces, analyzes, and numerically investigates a fractional-order SEIR epidemic model employing the normalized Caputo-Fabrizio (NCF) derivative. The model captures memory effects and the role of an exposed (latent) compartment, allowing for more realistic epidemic dynamics. We establish existence, uniqueness, positivity, and population conservation, then propose a robust numerical scheme. The impact of the memory parameter and kernel normalization is illustrated via simulations, with a discussion on their significance for epidemic forecasting and potential real-world applications.

    Citation: Ramsha Shafqat, Saeed M. Alamry, Ateq Alsaadi. Analysis and simulation of a normalized Caputo-Fabrizio fractional SEIR epidemic model[J]. AIMS Mathematics, 2025, 10(10): 24712-24729. doi: 10.3934/math.20251095

    Related Papers:

  • This paper introduces, analyzes, and numerically investigates a fractional-order SEIR epidemic model employing the normalized Caputo-Fabrizio (NCF) derivative. The model captures memory effects and the role of an exposed (latent) compartment, allowing for more realistic epidemic dynamics. We establish existence, uniqueness, positivity, and population conservation, then propose a robust numerical scheme. The impact of the memory parameter and kernel normalization is illustrated via simulations, with a discussion on their significance for epidemic forecasting and potential real-world applications.



    加载中


    [1] H. W. Hethcote, The mathematics of infectious diseases, SIAM Rev., 42 (2000), 599–653. https://doi.org/10.1137/S0036144500371907 doi: 10.1137/S0036144500371907
    [2] F. Brauer, Mathematical epidemiology: past, present, and future, Infectious Disease Modelling, 2 (2017), 113–127. https://doi.org/10.1016/j.idm.2017.02.001 doi: 10.1016/j.idm.2017.02.001
    [3] W. O. Kermack, A. G. McKendrick, A contribution to the mathematical theory of epidemics, Proc. R. Soc. Lond. A, 115 (1927), 700–721. https://doi.org/10.1098/rspa.1927.0118 doi: 10.1098/rspa.1927.0118
    [4] K. Diethelm, An investigation of some nonclassical methods for the numerical approximation of Caputo-type fractional derivatives, Numer. Algor., 47 (2008), 361–390. https://doi.org/10.1007/s11075-008-9193-8 doi: 10.1007/s11075-008-9193-8
    [5] R. L. Magin, Fractional calculus models of complex dynamics in biological tissues, Comput. Math. Appl., 59 (2010), 1586–1593. https://doi.org/10.1016/j.camwa.2009.08.039 doi: 10.1016/j.camwa.2009.08.039
    [6] H. Sun, A. Chang, Y. Zhang, W. Chen, A review on variable-order fractional differential equations: mathematical foundations, physical models, numerical methods and applications, Fract. Calc. Appl. Anal., 22 (2019), 27–59. https://doi.org/10.1515/fca-2019-0003 doi: 10.1515/fca-2019-0003
    [7] M. Caputo, M. Fabrizio, A new definition of fractional derivative without singular kernel, Progress in Fractional Differentiation & Applications, 1 (2015), 73–85.
    [8] A. Atangana, D. Baleanu, New fractional derivatives with nonlocal and non-singular kernel: theory and application to heat transfer model, Therm. Sci., 20 (2016), 763–769. https://doi.org/10.2298/TSCI160111018A doi: 10.2298/TSCI160111018A
    [9] L. Verma, R. Meher, O. Nikan, A. A. Al-Saedi, Numerical study on fractional order nonlinear SIR-SI model for dengue fever epidemics, Sci. Rep., 15 (2025), 30677. https://doi.org/10.1038/s41598-025-16599-w doi: 10.1038/s41598-025-16599-w
    [10] R. Shafqat, A. Alsaadi, A. Alubaidi, A fractional‐order alcoholism model incorporating hypothetical social influence: a theoretical and numerical study, J. Math., 2025 (2025), 6773909. https://doi.org/10.1155/jom/6773909 doi: 10.1155/jom/6773909
    [11] R. Shafqat, A. Alsaadi, Artificial neural networks for stability analysis and simulation of delayed rabies spread models, AIMS Math., 9 (2024), 33495–33531. https://doi.org/10.3934/math.20241599 doi: 10.3934/math.20241599
    [12] C. Liu, Z. Gong, C. Yu, S. Wang, K. L. Teo, Optimal control computation for nonlinear fractional time-delay systems with state inequality constraints, J. Optim. Theory Appl., 191 (2021), 83–117. https://doi.org/10.1007/s10957-021-01926-8 doi: 10.1007/s10957-021-01926-8
    [13] X. Yi, C. Liu, H. T. Cheong, K. L. Teo, S. Wang, A third-order numerical method for solving fractional ordinary differential equations, AIMS Math., 9 (2024), 21125–21143. https://doi.org/10.3934/math.20241026 doi: 10.3934/math.20241026
    [14] C. Liu, X. Yi, Z. Gong, M. Han, The control parametrization technique for numerically solving fractal-fractional optimal control problems involving Caputo–Fabrizio derivatives, J. Comput. Appl. Math., 472 (2026), 116814. https://doi.org/10.1016/j.cam.2025.116814 doi: 10.1016/j.cam.2025.116814
    [15] Y. Hwang, S. Kwak, Jyoti, J. Kim, Optimal time-dependent SUC model for COVID-19 pandemic in India, BMC Infect. Dis., 24 (2024), 1031. https://doi.org/10.1186/s12879024-09961-2 doi: 10.1186/s12879024-09961-2
    [16] R. Shafqat, A. Alsaadi, Mathematical and numerical analysis of a fractional SIQR epidemic model with normalized Caputo–Fabrizio operator and machine learning approaches, AIMS Math., 10 (2025), 20235–20261. https://doi.org/10.3934/math.2025904 doi: 10.3934/math.2025904
    [17] J. Kim, Influence of fractional order on the behavior of a normalized time-fractional SIR model, Mathematics, 12 (2024), 3081. https://doi.org/10.3390/math12193081 doi: 10.3390/math12193081
    [18] A. Al-Quran, R. Shafqat, A. Alsaadi, A. M. Djaouti, Poliomyelitis dynamics with fractional order derivatives and deep neural networks, Sci. Rep., 15 (2025), 32023. https://doi.org/10.1038/s41598-025-15195-2 doi: 10.1038/s41598-025-15195-2
    [19] J. Kim, A normalized Caputo–Fabrizio fractional diffusion equation, AIMS Math., 10 (2025), 6195–6208. https://doi.org/10.3934/math.2025282 doi: 10.3934/math.2025282
    [20] M. Jornet, Theory on new fractional operators using normalization and probability tools, Fractal Fract., 8 (2024), 665. https://doi.org/10.3390/fractalfract8110665 doi: 10.3390/fractalfract8110665
  • Reader Comments
  • © 2025 the Author(s), licensee AIMS Press. This is an open access article distributed under the terms of the Creative Commons Attribution License (http://creativecommons.org/licenses/by/4.0)
通讯作者: 陈斌, bchen63@163.com
  • 1. 

    沈阳化工大学材料科学与工程学院 沈阳 110142

  1. 本站搜索
  2. 百度学术搜索
  3. 万方数据库搜索
  4. CNKI搜索

Metrics

Article views(1342) PDF downloads(72) Cited by(5)

Article outline

Figures and Tables

Figures(5)  /  Tables(1)

Other Articles By Authors

/

DownLoad:  Full-Size Img  PowerPoint
Return
Return

Catalog