Research article Special Issues

On the effect of using different penetrometers on CPTU test results on AMU-Morasko test site

  • Published: 10 December 2025
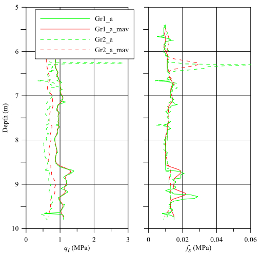
  • Investigations were conducted at the test site of Adam Mickiewicz University in Poznań. The test site is located in the northern part of Poznań, within the marginal zone of the Poznań Phase of the Weichselian (Vistulian) glaciation. The subsoil consists of glacial till from the Vistulian glaciation, separated by fluvioglacial sandy sediments, and is covered with fine and medium sands with single grains of gravel. The quality of the geotechnical parameters of the tested subsoil was assessed for the constrained modulus and undrained shear strength. To determine these parameters, static penetrometers from two different manufacturers were used. The tests and the result analysis were performed in three stages. In the first stage, each penetrometer was used to investigate the homogeneity and diversification of the subsoil structure in the test sites. The subsoil structure diversification was examined by grouping statistically similar Rf coefficient values along the profile. In the second stage, the level of accuracy and precision in the assessment of the corrected cone resistance (qt), friction on the friction sleeve (fs), and pore pressure (u2) were determined for individual penetrometers. In the final stage, differences between the constrained modulus and undrained shear strength were determined for both penetrometers. This analysis took into account the level of precision of the corrected cone resistance.

    Citation: Jędrzej Wierzbicki, Katarzyna Stefaniak, Waldemar Wołyński, Łukasz Smaga, Dawid Matusiak. On the effect of using different penetrometers on CPTU test results on AMU-Morasko test site[J]. AIMS Geosciences, 2025, 11(4): 1007-1022. doi: 10.3934/geosci.2025044

    Related Papers:

  • Investigations were conducted at the test site of Adam Mickiewicz University in Poznań. The test site is located in the northern part of Poznań, within the marginal zone of the Poznań Phase of the Weichselian (Vistulian) glaciation. The subsoil consists of glacial till from the Vistulian glaciation, separated by fluvioglacial sandy sediments, and is covered with fine and medium sands with single grains of gravel. The quality of the geotechnical parameters of the tested subsoil was assessed for the constrained modulus and undrained shear strength. To determine these parameters, static penetrometers from two different manufacturers were used. The tests and the result analysis were performed in three stages. In the first stage, each penetrometer was used to investigate the homogeneity and diversification of the subsoil structure in the test sites. The subsoil structure diversification was examined by grouping statistically similar Rf coefficient values along the profile. In the second stage, the level of accuracy and precision in the assessment of the corrected cone resistance (qt), friction on the friction sleeve (fs), and pore pressure (u2) were determined for individual penetrometers. In the final stage, differences between the constrained modulus and undrained shear strength were determined for both penetrometers. This analysis took into account the level of precision of the corrected cone resistance.



    加载中


    [1] ISO 22476-1, Geotechnical investigation and testing—Field testing—Part 1: Electrical cone and piezocone penetration test, Library of Faculty of Geographical and Geological Sciences Adam Mickiewicz University in Poznań, 2023.
    [2] Młynarek Z, Wołyński W, Kroll M (2002) Statistical evaluation of differences between the CPTU parameters obtained from tests with various penetrometers. Report for Norwegian Geotechnical Institute. Library of Faculty of Geographical and Geological Sciences Adam Mickiewicz University in Poznań. 24.
    [3] Powell JJM, Lunne T (2005) A comparison of different sized piezocones in UK clays. Proceedings of the 16th International Conference on Soil Mechanics and Geotechnical Engineering, Osaka, 2: 729–734. https://doi.org/10.3233/978-1-61499-656-9-729 doi: 10.3233/978-1-61499-656-9-729
    [4] Lunne T, Strandvik S, Kå sin K, et al. (2018) Effect of cone penetrometer type on CPTU results at a soft clay site in Norway. Cone Penetration Testing 2018, CRC Press, 417–422.
    [5] Wierzbicki J, Młynarek Z, Wołyński W (2020) On the precision of static probing based on tests of transitional soils at the AMU Morasko test site. Przegląd Geologiczny. Available from: https://www.pgi.gov.pl/oferta-inst/wydawnictwa/czasopisma/przeglad-geologiczny.html.
    [6] Paniagua P, L'Heureux JS (2022) Effect of the scatter between CPTU measured parameters in soil classification, Cone Penetration Testing 2022, CRC Press, 630–635.
    [7] Powell JJM, Dhimitri L, Ward D (2021) The fric tion sleeve measurement in CPTU—Does size matter?—A new study. 6th International Conference on Geotechnical and Geophysical Site Characterization (ISC2020). Budapest.
    [8] Wierzbicki J, Radaszewski R, Waliński M (2018) The variability of CPTU results on the AMU-Morasko soft clay test site. Peuchen W, Pisanò F, Hicks A, Eds., Cone Penetration Testing 2018, CRC Press, 703–708.
    [9] Radaszewski R, Wierzbicki J (2019) Characterization and engineering properties of AMU Morasko soft clay. AIMS Geosci 5: 235–264. https://doi.org/10.3934/geosci.2019.2.235 doi: 10.3934/geosci.2019.2.235
    [10] Stankowski W (2010) Morasko Meteorite. A curiosity of the Poznań region. Seria Geologia 19: 94.
    [11] PN-EN ISO 14688–2, Geotechnical investigation and testing—Determination and classification of soils—Part 2: Classification principles, 2018. In Polish.
    [12] Górecki T, Łuczak M (2014) Non-isometric transforms in time series classification using DTW. Knowl Based Syst 61: 98–108. https://doi.org/10.1016/j.knosys.2014.02.011 doi: 10.1016/j.knosys.2014.02.011
    [13] Ditzhaus M, Smaga Ł (2025) Inference for all variants of the multivariate coefficient of variation in factorial designs. Scand J Stat 52: 270–294. https://doi.org/10.1111/sjos.12740 doi: 10.1111/sjos.12740
    [14] Konietschke F, Bathke AC, Harrar SW, et al. (2015) Parametric and nonparametric bootstrap methods for general MANOVA. J Multivar Anal 140: 291–301. https://doi.org/10.1016/j.jmva.2015.06.003 doi: 10.1016/j.jmva.2015.06.003
    [15] Ding H, Trajcevski G, Scheuermann P, et al. (2008) Querying and mining of time series data: experimental comparison of representations and distance measures, Proc VLDB Endow 1: 1542–1552. https://doi.org/10.14778/1454159.1454226 doi: 10.14778/1454159.1454226
    [16] Tsinaslanidis P, Antonis A, Achilleas Z, et al. (2014) Dynamic Time Warping as a Similarity Measure: Applications in Finance. Hellenic Finance and Accounting Association, Volos, Greece, 12–13.
    [17] Imamura M, Nakamura T (2023) A Symbolic Representation of Two-Dimensional Time Series for Arbitrary Length DTW Motif, 2023 IEEE International Conference on Data Mining (ICDM), Shanghai, China, 1067–1072. https://doi.org/10.1109/ICDM58522.2023.00125.
    [18] Robertson PK, Cabal KL (2012) Guide to Cone Penetration Testing. Signal Hill: Greg Drilling & Testing, Inc.
  • Reader Comments
  • © 2025 the Author(s), licensee AIMS Press. This is an open access article distributed under the terms of the Creative Commons Attribution License (http://creativecommons.org/licenses/by/4.0)
通讯作者: 陈斌, bchen63@163.com
  • 1. 

    沈阳化工大学材料科学与工程学院 沈阳 110142

  1. 本站搜索
  2. 百度学术搜索
  3. 万方数据库搜索
  4. CNKI搜索

Metrics

Article views(1244) PDF downloads(47) Cited by(0)

Article outline

Figures and Tables

Figures(8)  /  Tables(6)

/

DownLoad:  Full-Size Img  PowerPoint
Return
Return

Catalog