Communication Special Issues

Geotechnical characterization of residual granite soils. The test site of Polytechnic Institute of Guarda (Portugal)

  • Published: 20 May 2025
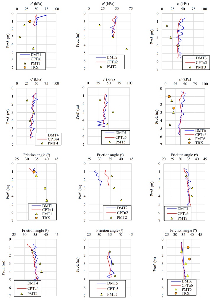
  • The geotechnical characterization of residual soils is a complex matter and is not always successful because current interpretation methodologies dedicated to sedimentary soils do not adequately respond to the behavior of this type of soils. The problem has been under scope by several Portuguese and international institutions. The work carried out in the experimental Site of the Polytechnic Institute of Guarda (IPG) since 2003, constituted by residual soils and decomposed rocks of the local granite massif, is highlighted herein. The work was strongly supported by MOTA-ENGIL (Portuguese construction company) and the Laboratory of Math Engineering (LEMA, Polytechnic Institute of Porto). The characterization of the test site and the respective research work is presented. The research work involved interpretation of in situ tests (SDMT, SCPTu, PMT, SPT, DPSH, and geophysical tests), tests in controlled chambers (DMT, geophysical, and suction tests), and laboratory tests (oedometric tests, direct shear tests, and triaxial tests with several stress paths). The tests were performed on natural structured soils, artificially cemented mixtures, and unstructured soils. Advanced math and statistical analysis were applied in the development of new correlations to obtain geotechnical parameters representative of these soils. Furthermore, the work also allowed to recognize the physical characteristics of the materials and better understand their mechanical behavior.

    Citation: Carlos Rodrigues, Nuno Cruz, Manuel Cruz. Geotechnical characterization of residual granite soils. The test site of Polytechnic Institute of Guarda (Portugal)[J]. AIMS Geosciences, 2025, 11(2): 442-467. doi: 10.3934/geosci.2025018

    Related Papers:

  • The geotechnical characterization of residual soils is a complex matter and is not always successful because current interpretation methodologies dedicated to sedimentary soils do not adequately respond to the behavior of this type of soils. The problem has been under scope by several Portuguese and international institutions. The work carried out in the experimental Site of the Polytechnic Institute of Guarda (IPG) since 2003, constituted by residual soils and decomposed rocks of the local granite massif, is highlighted herein. The work was strongly supported by MOTA-ENGIL (Portuguese construction company) and the Laboratory of Math Engineering (LEMA, Polytechnic Institute of Porto). The characterization of the test site and the respective research work is presented. The research work involved interpretation of in situ tests (SDMT, SCPTu, PMT, SPT, DPSH, and geophysical tests), tests in controlled chambers (DMT, geophysical, and suction tests), and laboratory tests (oedometric tests, direct shear tests, and triaxial tests with several stress paths). The tests were performed on natural structured soils, artificially cemented mixtures, and unstructured soils. Advanced math and statistical analysis were applied in the development of new correlations to obtain geotechnical parameters representative of these soils. Furthermore, the work also allowed to recognize the physical characteristics of the materials and better understand their mechanical behavior.



    加载中


    [1] Cruz N (2010) Modelling geomechanics of residual soils by DMT tests. University of Porto. PhD Dissertation. Available from: http://web.archive.org/web/20190326185829/https://nbdfcruz.wordpress.com/phd/.
    [2] Rodrigues C, Amoroso S, Cruz N, et al. (2016) G-gamma decay curves in granitic residual soils by seismic dilatometer. 5th International Conference Geotechnical and Geophysical on Site Characterization, Brisbane, Australia. 1137–1142.
    [3] Cruz N, Rodrigues C, Sousa JA, et al. (2024) Effect of soil structuring on stiffness evaluated by triaxial and seismic flat dilatometer tests. 8th Int Symposium on Deformation Characteristics of Geomaterials (ISDCG2023), Porto, Portugal. https://doi.org/10.1051/e3sconf/202454405008
    [4] Peel MC, Finlayson BL, McMahon TA (2007) Updated world map of the Köppen-Geiger climate classification. Hydrol Earth Syst Sci 11: 1633–1644. https://doi.org/10.5194/hess-11-1633-2007 doi: 10.5194/hess-11-1633-2007
    [5] Viana da Fonseca A (1996) Geomechanics of Porto residual soil from granite. Project criteria for direct foundations. PhD Dissertation, University of Porto.
    [6] Rodrigues CMG (2003) Caracterização geotécnica e estudo de comportamento geomecânico de um saprólito granítico da Guarda. PhD Dissertation, University of Coimbra (in Portuguese).
    [7] COBA, Carta Geotécnica do Porto. COBA and Faculty of Sciences of University of Porto. Porto City Hall. 2003.
    [8] Begonha AJ (1989) Alteração das rochas graníticas do Norte e Centro de Portugal. Uma contribuição. MSc Dissertation, Universidade Nova de Lisboa (in Portuguese).
    [9] ASTM D 2487–17, Standard Practice for Classification of Soils for Engineering Purposes (Unified Soil Classification System). Classification of soil for engineering purposes. American Society for Testing Materials. https://DOI.org/10.1520/D2487-17R25
    [10] Wesley LD (1988) Engineering classification of residual soils. International conference on geomechanics in tropical soils 1: 77–84.
    [11] Lumb P (1962) The properties of decomposed granite. Géotechnique 12: 226–243. https://doi.org/10.1680/geot.1962.12.3.226 doi: 10.1680/geot.1962.12.3.226
    [12] Cruz N, Gomes C, Rodrigues C, et al. (2015) An approach for improving Wesley Engineering Classification. The case of Porto Granites. XVI European Conference on Soil Mechanics and Geotechnical Engineering, Edimburgh, UK. 13–17.
    [13] Cruz N, Viana da Fonseca A (2006) Portuguese experience in residual soil characterization by DMT tests. 2nd International Conference on the Flat Dilatometer, Washington D. C., USA. 359–364.
    [14] Cruz N, Rodrigues C, Viana da Fonseca A (2014) An approach to derive strength parameters of residual soils from DMT results. Soils Rocks 37: 195–209.
    [15] ASTM D6635–01, Standard Test Method for Performing the Flat Plate Dilatometer. https://DOI.org/10.1520/D6635-01
    [16] ASTM D5778–20, Standard Test Method for Electronic Friction Cone and Piezocone Penetration Testing of Soils. https://DOI.org/10.1520/D5778-20
    [17] ASTM D7400/D7400M–19, Standard Test Methods for Downhole Seismic Testing. https://DOI.org/10.1520/D7400_D7400M-19
    [18] ASTM, Standard Test Method for Prebored Pressuremeter Testing in Soils, 2000. https://DOI.org/10.1520/D4719-20
    [19] ASTM D7181-11, Standard Test Method for Consolidated Drained Triaxial Compression Test for Soils. Available from: https://store.astm.org/d7181-20.html
    [20] Marchetti S (1997) The flat dilatometer design applications. Ⅲ Geotechnical Engineering Conference, Keynote Lecture 1: 421–448.
    [21] Robertson PK, Cabal KL (2010) Guide to Cone Penetration Testing for Geotechnical Engineering. 6th Ed Gregg Drilling & Testing.
    [22] Robertson PK (2016) Cone penetration test (CPT)-based soil behaviour type (SBT) classification system—an update. Can Geotech J 53: 1910–1927. https://doi.org/10.1139/cgj-2016-0044 doi: 10.1139/cgj-2016-0044
    [23] Robertson PK (2015) Soil Behavior Type using the DMT. 3rd International Conference on Flat Dilatometer, Rome, Italy.
    [24] Cruz N, Mateus C, Cruz J, et al. (2021) Behaviour of Portuguese granitic residual soils represented in DMT and CPTu soil behaviour type (SBT) charts. 6th International Conference on Geotechnical and Geophysical Site Characterization, Budapest, Hungary
    [25] Marchetti S, Crapps DK (1981) Flat dilatometer manual, Internal report of GPE Inc, USA.
    [26] Cruz N, Cruz J, Rodrigues C, et al. (2018) Behaviour of granitic residual soils assessed by SCPTu and other in-situ tests. 4th Int Symposium on Cone Penetration Testing, Delft, Netherlands, CRC Press. 241–247.
    [27] Amoroso S, Monaco P, Lehane B, et al. (2014) Examination of the potential of the seismic dilatometer (SDMT) to estimate in situ stiffness decay curves in various soil types. Soils Rocks 37: 177–194.
    [28] Rodrigues C, Cruz N, Amoroso S, Cruz M (2020) Stiffness decay in structured soils by seismic dilatometer. Geotech Test J 43: 1003–1021. https://doi.org/10.1520/GTJ20180352 doi: 10.1520/GTJ20180352
    [29] Rodrigues C, Cruz N, Mateus C (2024) Deriving strength parameters of granitic residual soils from Ménard pressuremeter tests. 7th International Conference Geotechnical and Geophysical on Site Characterization. Barcelona, Spain.
    [30] Ménard L (1957) Mesure in situ des propriétés physiques des sols. Ann Ponts Chaussées 127: 356–377.
    [31] Hughes JMO, Wroth CP, Windle D (1977) Pressuremeter tests in sands. Géotechnique 27: 455–477. https://doi.org/10.1680/geot.1977.27.4.455 doi: 10.1680/geot.1977.27.4.455
  • Reader Comments
  • © 2025 the Author(s), licensee AIMS Press. This is an open access article distributed under the terms of the Creative Commons Attribution License (http://creativecommons.org/licenses/by/4.0)
通讯作者: 陈斌, bchen63@163.com
  • 1. 

    沈阳化工大学材料科学与工程学院 沈阳 110142

  1. 本站搜索
  2. 百度学术搜索
  3. 万方数据库搜索
  4. CNKI搜索

Metrics

Article views(2337) PDF downloads(141) Cited by(1)

Article outline

Figures and Tables

Figures(20)  /  Tables(2)

Other Articles By Authors

/

DownLoad:  Full-Size Img  PowerPoint
Return
Return

Catalog