Research article Special Issues

Global dynamics of an almost periodic diffusive single-species model with age structure

  • Published: 18 March 2026
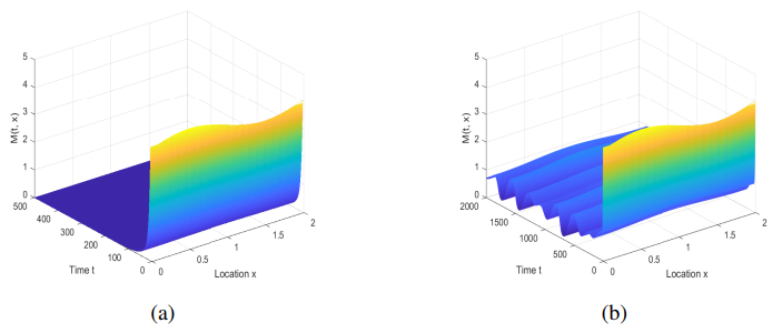
  • To understand the significant roles that seasonal variations and diffusion play in population growth, we proposed and investigated an almost periodic reaction-diffusion model incorporating age structure for a single species. The model was formulated as a reaction-diffusion system with a nonlocal term. Using the principal Lyapunov exponent $ \lambda^{*} $ as a threshold, we analyzed the global dynamics of this model. The results showed that the population will go extinct if $ \lambda^{*} < 0 $, but persist if $ \lambda^{*} > 0 $. We further established the existence of a globally attractive almost periodic solution when the population was uniformly persistent in a monotone case. The Nicholson blowflies model was investigated by means of numerical simulations, and the dependence of population development on maturation period, diffusion rate, and spatial environment was discussed.

    Citation: Yuguo Liu, Dandan Liu, Lizhong Qiang. Global dynamics of an almost periodic diffusive single-species model with age structure[J]. Electronic Research Archive, 2026, 34(4): 2364-2381. doi: 10.3934/era.2026107

    Related Papers:

  • To understand the significant roles that seasonal variations and diffusion play in population growth, we proposed and investigated an almost periodic reaction-diffusion model incorporating age structure for a single species. The model was formulated as a reaction-diffusion system with a nonlocal term. Using the principal Lyapunov exponent $ \lambda^{*} $ as a threshold, we analyzed the global dynamics of this model. The results showed that the population will go extinct if $ \lambda^{*} < 0 $, but persist if $ \lambda^{*} > 0 $. We further established the existence of a globally attractive almost periodic solution when the population was uniformly persistent in a monotone case. The Nicholson blowflies model was investigated by means of numerical simulations, and the dependence of population development on maturation period, diffusion rate, and spatial environment was discussed.



    加载中


    [1] R. Kon, Y. Saito, Y. Takeuchi, Permanence of single-species stage-structured models, J. Math. Biol., 48 (2004), 515–528. https://doi.org/10.1007/s00285-003-0239-1 doi: 10.1007/s00285-003-0239-1
    [2] F. Brauer, C. Castillo-Chavez, Mathematical Models in Population Biology and Epidemiology, Springer, New York, 2012. https://doi.org/10.1007/978-1-4614-1686-9
    [3] R. S. Cantrell, C. Cosner, Spatial Ecology via Reaction-Diffusion Equations, Wiley, New York, 2003. https://doi.org/10.1002/0470871296
    [4] K. Cooke, P. van den Driessche, X. Zou, Interaction of maturation delay and nonlinear birth in population and epidemic models, J. Math. Biol., 39 (1999), 332–352. https://doi.org/10.1007/s002850050194 doi: 10.1007/s002850050194
    [5] M. W. Service, Mosquito Ecology: Field Sampling Methods, Elsevier, London, 1993. https://doi.org/10.1007/978-94-015-8113-4
    [6] W. G. Aiello, H. I. Freedman, A time-delay model of single-species growth with stage structure, Math. Biosci., 101 (1990), 139–153. https://doi.org/10.1016/0025-5564(90)90019-U doi: 10.1016/0025-5564(90)90019-U
    [7] S. Ruan, Delay differential equations in single species dynamics, in Delay Differential Equations and Applications, Springer, Berlin, (2006), 477–517. https://doi.org/10.1007/1-4020-3647-7_11
    [8] H. Xu, C. A. Santos, M. Zhang, Z. Lin, On an age-structured model in moving boundaries: The effects of nonlocal diffusion and harvesting pulse, Commun. Nonlinear Sci. Numer. Simul., 143 (2025), 108625. https://doi.org/10.1016/j.cnsns.2025.108625 doi: 10.1016/j.cnsns.2025.108625
    [9] S. Altizer, A. Dobson, P. Hosseini, P. Hudson, M. Pascual, P. Rohani, Seasonality and the dynamics of infectious diseases, Ecol. Lett., 9 (2006), 467–484. https://doi.org/10.1111/j.1461-0248.2005.00879.x doi: 10.1111/j.1461-0248.2005.00879.x
    [10] Y. Li, Y. Kuang, Periodic solutions in periodic state-dependent delay equations and population models, Proc. Am. Math. Soc., 130 (2002), 1345–1353. https://doi.org/10.1090/S0002-9939-01-06444-9 doi: 10.1090/S0002-9939-01-06444-9
    [11] K. Liu, Y. Lou, J. Wu, Analysis of an age structured model for tick populations subject to seasonal effects, J. Differ. Equations, 263 (2017), 2078–2112. https://doi.org/10.1016/j.jde.2017.03.038 doi: 10.1016/j.jde.2017.03.038
    [12] P. Magal, Compact attractors for time periodic age-structured population models, Electron. J. Differ. Equations, 65 (2001), 1–35.
    [13] X. Wu, F. M. G. Magpantay, J. Wu, X. Zou, Stage-structured population systems with temporally periodic delay, Math. Methods Appl. Sci., 38 (2015), 3464–3481. https://doi.org/10.1002/mma.3424 doi: 10.1002/mma.3424
    [14] P. H. Bezandry, T. Diagana, Almost Periodic Stochastic Processes, Springer, New York, 2011. https://doi.org/10.1007/978-1-4419-9476-9
    [15] T. Diagana, S. Elaydi, A. Yakubu, Population models in almost periodic environments, J. Differ. Equations Appl., 13 (2007), 239–260. https://doi.org/10.1080/10236190601079035 doi: 10.1080/10236190601079035
    [16] L. Qiang, B. G. Wang, X. Q. Zhao, A stage-structured population model with time-dependent delay in an almost periodic environment, J. Dyn. Differ. Equations, 34 (2022), 341–364. https://doi.org/10.1007/s10884-020-09827-6 doi: 10.1007/s10884-020-09827-6
    [17] D. DeAngelis, W. Ni, B. Zhang, Dispersal and spatial heterogeneity: single species, J. Math. Biol., 72 (2016), 239–254. https://doi.org/10.1007/s00285-015-0879-y doi: 10.1007/s00285-015-0879-y
    [18] Y. Jin, X. Q. Zhao, Spatial dynamics of a non-local periodic reaction-diffusion model with stage structure, SIAM J. Math. Anal., 40 (2009), 2496–2516. https://doi.org/10.1137/070709761 doi: 10.1137/070709761
    [19] N. Wang, Z. C. Wang, Propagation dynamics of a nonlocal time-space periodic reaction-diffusion model with delay, Discrete Contin. Dyn. Syst., 42 (2022), 1599–1646. https://doi.org/10.3934/dcds.2021166 doi: 10.3934/dcds.2021166
    [20] Y. Zhang, S. Liu, Z. Bai, Global dynamics of a diffusive single species model with periodic delay, Math. Biosci. Eng., 16 (2019), 2293–2304. https://doi.org/10.3934/mbe.2019114 doi: 10.3934/mbe.2019114
    [21] A. Ruiz-Herrera, T. M. Touaoula, Global attractivity for reaction-diffusion equations with periodic coefficients and time delays, Z. Angew. Math. Phys., 75 (2024), 98. https://doi.org/10.1007/s00033-024-02236-5 doi: 10.1007/s00033-024-02236-5
    [22] X. Q. Zhao, Dynamical Systems in Population Biology, Springer-Verlag, New York, 2017. https://doi.org/10.1007/978-3-319-56433-3
    [23] L. Qiang, B. G. Wang, Z. C. Wang, A reaction-diffusion epidemic model with incubation period in almost periodic environments, Eur. J. Appl. Math., 32 (2021), 1153–1176. https://doi.org/10.1017/S0956792520000303 doi: 10.1017/S0956792520000303
    [24] A. M. Fink, Compact families of almost periodic functions and an application of the Schauder fixed-point theorem, SIAM J. Appl. Math., 17 (1969), 1258–1262. https://doi.org/10.1137/0117117 doi: 10.1137/0117117
    [25] A. M. Fink, Almost Periodic Differential Equations, Springer-Verlag, Berlin, 1974. https://doi.org/10.1007/BFb0070324
    [26] J. A. J. Metz, O. Diekmann, The Dynamics of Physiologically Structured Populations, Springer, New York, 1986.
    [27] A. Friedman, Partial Differential Equations of Parabolic Type, Prentice-Hall, Englewood Cliffs, NJ, 1964.
    [28] R. H. Martin, H. L. Smith, Abstract functional differential equations and reaction-diffusion systems, Trans. Am. Math. Soc., 321 (1990), 1–44. https://doi.org/10.1090/S0002-9947-1990-0967316-X doi: 10.1090/S0002-9947-1990-0967316-X
    [29] S. Novo, C. NúÑez, R. Obaya, A. M. Sanz, Skew-product semiflows for non-autonomous partial functional differential equations with delay, Discrete Contin. Dyn. Syst., 34 (2014), 4291–4321. https://doi.org/10.3934/dcds.2014.34.4291 doi: 10.3934/dcds.2014.34.4291
    [30] G. Sell, Topological Dynamics and Ordinary Differential Equations, Van Nostrand Reinhold, London, 1971.
    [31] J. Wu, Theory and Applications of Partial Functional Differential Equations, Springer, New York, 1996.
    [32] J. K. Hale, Asymptotic behavior of dissipative systems, in Mathematical Surveys and Monographs, 25 (1988), 123–128. https://doi.org/10.1090/surv/025
    [33] P. Magal, X. Q. Zhao, Global attractors and steady states for uniformly persistent dynamical systems, SIAM J. Math. Anal., 37 (2005), 251–275. https://doi.org/10.1137/S0036141003439173 doi: 10.1137/S0036141003439173
    [34] W. S. C. Gurney, S. P. Blythe, R. M. Nisbet, Nicholsons blowflies revisited, Nature, 287 (1980), 17–21. https://doi.org/10.1038/287017a0 doi: 10.1038/287017a0
    [35] J. F. M. Al-Omaria, S. A. Gourley, Dynamics of a stage-structured population model incorporating a state-dependent maturation delay, Nonlinear Anal. Real World Appl., 6 (2005), 13–33. https://doi.org/10.1016/j.nonrwa.2004.04.002 doi: 10.1016/j.nonrwa.2004.04.002
    [36] H. Peng, Q. Zhu, Finite-time stability and stabilization of highly nonlinear stochastic systems via the noise control, IEEE Trans. Autom. Control, (2026), 1–8. https://doi.org/10.1109/TAC.2026.3660601
    [37] H. Yuan, Q. Zhu, The well-posedness and stabilities of mean-field stochastic differential equations driven by G-Brownian motion, SIAM J. Control Optim., 63 (2025), 596–624. https://doi.org/10.1137/23M1593681 doi: 10.1137/23M1593681
    [38] Q. Zhu, Event-triggered sampling problem for exponential stability of stochastic nonlinear delay systems driven by Lévy processes, IEEE Trans. Autom. Control, 70 (2025), 1176–1183. https://doi.org/10.1109/TAC.2024.3448128 doi: 10.1109/TAC.2024.3448128
  • Reader Comments
  • © 2026 the Author(s), licensee AIMS Press. This is an open access article distributed under the terms of the Creative Commons Attribution License (http://creativecommons.org/licenses/by/4.0)
通讯作者: 陈斌, bchen63@163.com
  • 1. 

    沈阳化工大学材料科学与工程学院 沈阳 110142

  1. 本站搜索
  2. 百度学术搜索
  3. 万方数据库搜索
  4. CNKI搜索

Metrics

Article views(473) PDF downloads(24) Cited by(0)

Article outline

Figures and Tables

Figures(3)

Other Articles By Authors

/

DownLoad:  Full-Size Img  PowerPoint
Return
Return

Catalog