Research article Special Issues

Fractional interactive fuzzy $ F $-correlated Caputo-Katugampola differential equations

  • Published: 09 February 2026
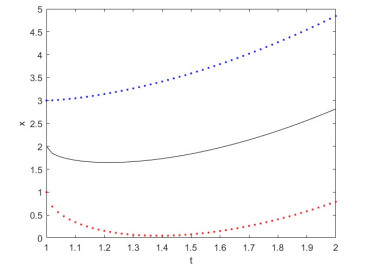
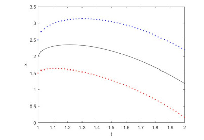
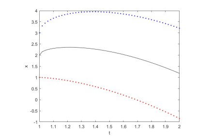
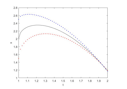
  • In this paper, we investigated the existence and uniqueness of solutions for a class of interactive fuzzy Caputo–Katugampola $ F $-correlated fractional differential equations with time delay. First, we gave the definition of the correlated integral and derivative for interactive fuzzy Caputo–Katugampola $ F $-correlated systems. Second, we presented an equivalent integral formulation and, under suitable assumptions, established the existence of solutions to fuzzy interactive Caputo–Katugampola $ F $-correlated fractional-order differential equations with time delay by applying Schauder's fixed-point theorem. Finally, a numerical example was presented to validate the effectiveness of the proposed approach.

    Citation: Weiqi Ding, Haibo Gu, Yan Chen. Fractional interactive fuzzy $ F $-correlated Caputo-Katugampola differential equations[J]. Electronic Research Archive, 2026, 34(2): 1315-1341. doi: 10.3934/era.2026060

    Related Papers:

  • In this paper, we investigated the existence and uniqueness of solutions for a class of interactive fuzzy Caputo–Katugampola $ F $-correlated fractional differential equations with time delay. First, we gave the definition of the correlated integral and derivative for interactive fuzzy Caputo–Katugampola $ F $-correlated systems. Second, we presented an equivalent integral formulation and, under suitable assumptions, established the existence of solutions to fuzzy interactive Caputo–Katugampola $ F $-correlated fractional-order differential equations with time delay by applying Schauder's fixed-point theorem. Finally, a numerical example was presented to validate the effectiveness of the proposed approach.



    加载中


    [1] L. C. Barros, L. T. Gomes, P. A. Tonelli, Fuzzy differential equations: An approach via fuzzification of the derivative operator, Fuzzy Sets Syst., 230 (2013), 39–52. https://doi.org/10.1016/j.fss.2013.03.004 doi: 10.1016/j.fss.2013.03.004
    [2] E. Esmi, F. S. Pedro, L. C. Barros, W. Lodwick, Fréchet derivative for linearly correlated fuzzy function, Inf. Sci., 435 (2018), 150–160. https://doi.org/10.1016/j.ins.2017.12.051 doi: 10.1016/j.ins.2017.12.051
    [3] M. Friedman, M. Ma, A. Kandel, Fuzzy derivatives and fuzzy Cauchy problems using LP metric, in Fuzzy Logic Foundations and Industrial Applications, 8 (1996), 57–72. https://doi.org/10.1007/978-1-4613-1441-7_3
    [4] M. L. Puri, D. A. Ralescu, Differentials of fuzzy functions, J. Math. Anal. Appl., 91 (1983), 552–558. https://doi.org/10.1016/0022-247X(83)90169-5 doi: 10.1016/0022-247X(83)90169-5
    [5] B. Bede, L. Stefanini, Generalized differentiability of fuzzy-valued functions, Fuzzy Sets Syst., 230 (2013), 119–141. https://doi.org/10.1016/j.fss.2012.10.003 doi: 10.1016/j.fss.2012.10.003
    [6] C. Carlsson, R. Fullér, Additions of completely correlated fuzzy numbers, in 2004 IEEE International Conference on Fuzzy Systems, Budapest, Hungary, 1 (2004), 535–539. https://doi.org/10.1109/FUZZY.2004.1375791
    [7] L. C. Barros, F. S. Pedro, Fuzzy differential equations with interactive derivative, Fuzzy Sets Syst., 309 (2017), 64–80. https://doi.org/10.1016/j.fss.2016.04.002 doi: 10.1016/j.fss.2016.04.002
    [8] R. Fullér, P. Majlender, On interactive fuzzy numbers, Fuzzy Sets Syst., 152 (2005), 159–165. https://doi.org/10.1016/S0165-0114(03)00180-5
    [9] D. Dubois, H. Prade, Additions of interactive fuzzy numbers, IEEE Trans. Autom. Control, 26 (1981), 926–936. https://doi.org/10.1109/TAC.1981.1102744 doi: 10.1109/TAC.1981.1102744
    [10] V. F. Wasques, E. E. Laureano, L. C. de Barros, F. S. Pedro, P. Sussner, Higher order initial value problem with interactive fuzzy conditions, in 2018 IEEE International Conference on Fuzzy Systems (FUZZ-IEEE), Rio de Janeiro, Brazil, (2018), 1–8. https://doi.org/10.1109/FUZZ-IEEE.2018.8491465
    [11] F. S. Pedro, L. C. de Barros, E. Esmi, Interactive fuzzy process: an epidemiological model, in Fuzzy Information Processing, Springer, Cham, 831 (2018), 108–118. https://doi.org/10.1007/978-3-319-95312-0_10
    [12] F. S. Pedro, L. C. de Barros, L. T. Gomes, A survey on fuzzy differences, in Proceedings of the 2015 Conference of the International Fuzzy Systems Association and the European Society for Fuzzy Logic and Technology, (2015), 705–710. https://doi.org/10.2991/ifsa-eusflat-15.2015.100
    [13] F. S. Pedro, E. Esmi, L. C. de Barros, Measure of interactivity on fuzzy process autocorrelated: Malthusian model, in Fuzzy Techniques: Theory and Applications, Springer, Cham, 1000 (2019), 567–577. https://doi.org/10.1007/978-3-030-21920-8_50
    [14] F. S. Pedro, L. C. Barros, E. Esmi, Population growth model via interactive fuzzy differential equation, Inf. Sci., 481 (2019), 160–173. https://doi.org/10.1016/j.ins.2018.12.076 doi: 10.1016/j.ins.2018.12.076
    [15] F. S. Pedro, E. Esmi, L. C. de Barros, Calculus for linearly correlated fuzzy function using Fréchet derivative and Riemann integral, Inf. Sci., 512 (2020), 219–237. https://doi.org/10.1016/j.ins.2019.09.078 doi: 10.1016/j.ins.2019.09.078
    [16] D. E. Sánchez, L. C. de Barros, E. Esmi, On interactive fuzzy boundary value problems, Fuzzy Sets Syst., 358 (2019), 84–96. https://doi.org/10.1016/j.fss.2018.07.009 doi: 10.1016/j.fss.2018.07.009
    [17] E. Esmi, D. E. Sánchez, V. F. Wasques, L. C. de Barros, Solutions of higher order linear fuzzy differential equations with interactive fuzzy values, Fuzzy Sets Syst., 419 (2021), 122–140. https://doi.org/10.1016/j.fss.2020.07.019 doi: 10.1016/j.fss.2020.07.019
    [18] F. S. Pedro, M. M. Lopes, V. F. Wasques, E. Esmi, L. C. de Barros, Fuzzy fractional differential equations with interactive derivative, Fuzzy Sets Syst., 458 (2023), 108488. https://doi.org/10.1016/j.fss.2023.02.009 doi: 10.1016/j.fss.2023.02.009
    [19] J. Huang, D. Luo, Ulam-Hyers stability of fuzzy fractional non-instantaneous impulsive switched differential equations under generalized Hukuhara differentiability, Int. J. Fuzzy Syst., 26 (2024), 1481–1492. https://doi.org/10.1007/s40815-024-01681-8 doi: 10.1007/s40815-024-01681-8
    [20] K. Ouyang, X. Qu, H. Lu, Sign-changing and signed solutions for fractional Laplacian equations with critical or supercritical nonlinearity, Math. Modell. Control, 5 (2025), 1–14. https://doi.org/10.3934/mmc.2025001 doi: 10.3934/mmc.2025001
    [21] Y. Lu, W. Zhang, Q. Zhu, Solvability of a coupled system of Hadamard fractional $p$-Laplacian differential equations with infinite-point boundary conditions at resonance on an unbounded interval, Fractal Fract., 9 (2025), 688. https://doi.org/10.3390/fractalfract9110688 doi: 10.3390/fractalfract9110688
    [22] S. Shanmugam, R. Vadivel, S. Sabarathinam, Enhancing synchronization criteria for fractional-order chaotic neural networks via intermittent control: an extended dissipativity approach, Math. Modell. Control, 5 (2025), 31–47. https://doi.org/10.3934/mmc.2025003 doi: 10.3934/mmc.2025003
    [23] J. Mi, R. Gong, Q. Zhu, Finite-time synchronization of fractional-order reaction–diffusion neural networks via generalized Halanay inequalities, Neurocomputing, 664 (2026), 132039. https://doi.org/10.1016/j.neucom.2025.132039 doi: 10.1016/j.neucom.2025.132039
    [24] M. Sahoo, D. Mohapatra, S. Chakraverty, Wave solution for time fractional geophysical KdV equation in uncertain environment, Math. Modell. Control, 5 (2025), 61–72. https://doi.org/10.3934/mmc.2025005 doi: 10.3934/mmc.2025005
    [25] F. Yan, D. Luo, Finite-time stability of Caputo fractional fuzzy differential equations with delay in granular sense, Commun. Nonlinear Sci. Numer. Simul., 134 (2024), 108022. https://doi.org/10.1016/j.cnsns.2024.108022 doi: 10.1016/j.cnsns.2024.108022
    [26] L. C. De Barros, R. C. Bassanezi, W. A. Lodwick, A First Course in Fuzzy Logic, Fuzzy Dynamical Systems, and Biomathematics: Theory and Applications, Springer, Berlin, Heidelberg, 2017. https://doi.org/10.1007/978-3-031-50492-1
    [27] J. R. Goetschel, W. Voxman, Elementary fuzzy calculus, Fuzzy Sets Syst., 18 (1986), 31–43. https://doi.org/10.1016/0165-0114(86)90026-6
    [28] M. Mizumoto, K. Tanaka, The four operations of arithmetic on fuzzy numbers, Syst. Comput. Controls, 7 (1976), 73–81.
    [29] L. T. Gomes, L. C. De Barros, B. Bede, Fuzzy Differential Equations in Various Approaches, Springer, Berlin, 2015. https://doi.org/10.1007/978-3-319-22575-3
    [30] L. Stefanini, A generalization of Hukuhara difference and division for interval and fuzzy arithmetic, Fuzzy Sets Syst., 161 (2010), 1564–1584. https://doi.org/10.1016/j.fss.2009.06.009 doi: 10.1016/j.fss.2009.06.009
    [31] G. Klir, B. Yuan, Fuzzy Sets and Fuzzy Logic: Theory and Applications, Prentice Hall, New Jersey, 1995. https://doi.org/10.5860/choice.33-2786
    [32] V. M. Cabral, Equações diferenciais fuzzy com parâmetros interativos, Ph.D. thesis, Universidade Estadual de Campinas, 2011.
    [33] R. Fullér, Fuzzy Reasoning and Fuzzy Optimization, Abo: Turku Centre for Computer Science, 1998.
    [34] O. Kaleva, Fuzzy differential equations, Fuzzy Sets Syst., 24 (1987), 301–317. https://doi.org/10.1016/0165-0114(87)90029-7
    [35] H. T. Nguyen, A note on the extension principle for fuzzy sets, J. Math. Anal. Appl., 64 (1978), 369–380. https://doi.org/10.1016/0022-247X(78)90045-8 doi: 10.1016/0022-247X(78)90045-8
    [36] N. Van Hoa, H. Vu, T. M. Duc, Fuzzy fractional differential equations under Caputo-Katugampola fractional derivative approach, Fuzzy Sets Syst., 375 (2019), 70–99. https://doi.org/10.1016/j.fss.2018.08.001 doi: 10.1016/j.fss.2018.08.001
    [37] J. Schauder, Der fixpunktsatz in funktionalräumen, Stud. Math., 2 (1930), 171–180. https://doi.org/10.4064/sm-2-1-171-180 doi: 10.4064/sm-2-1-171-180
    [38] C. V. Negoită, D. A. Ralescu, Applications of Fuzzy Sets to Systems Analysis, Birkhäuser, Basel, Switzerland, 1975. https://doi.org/10.1007/978-3-0348-5921-9
    [39] B. Bede, Fuzzy clustering, in Mathematics of Fuzzy Sets and Fuzzy Logic, (2013), 213–219. https://doi.org/10.1007/978-3-642-35221-8
  • Reader Comments
  • © 2026 the Author(s), licensee AIMS Press. This is an open access article distributed under the terms of the Creative Commons Attribution License (http://creativecommons.org/licenses/by/4.0)
通讯作者: 陈斌, bchen63@163.com
  • 1. 

    沈阳化工大学材料科学与工程学院 沈阳 110142

  1. 本站搜索
  2. 百度学术搜索
  3. 万方数据库搜索
  4. CNKI搜索

Metrics

Article views(598) PDF downloads(21) Cited by(0)

Article outline

Figures and Tables

Figures(8)

Other Articles By Authors

/

DownLoad:  Full-Size Img  PowerPoint
Return
Return

Catalog