Research article Special Issues

A characteristics finite element method for incompressible flow based on two local Gauss integrations

  • Published: 06 February 2026
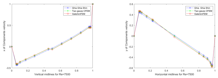
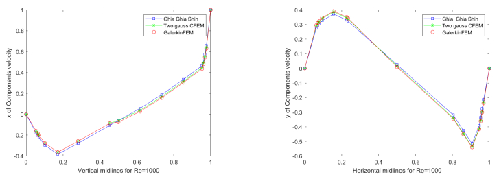
  • This study investigates a numerical method for incompressible flows governed by unsteady Navier–Stokes equations, proposing a characteristic finite element method based on two Gauss integrations. The proposed method is compared and analyzed with the classical two-grid method and variational multiscale methods, respectively, with error estimates conducted. The superiority of the characteristic finite element method based on two Gauss integrations is verified through numerical examples with exact solutions. For a high Reynolds number of $ 10^6 $, both algorithms remain stable. The computational results show strong agreement with those reported in well-established literature. Furthermore, simulations of the lid-driven cavity flow are performed, and the computational results are in excellent agreement with those of Ghia Ghia and Shin.

    Citation: Yu Jiang, Junchang Qin, Huipeng Gu, Xiujuan Zhao. A characteristics finite element method for incompressible flow based on two local Gauss integrations[J]. Electronic Research Archive, 2026, 34(2): 1269-1289. doi: 10.3934/era.2026058

    Related Papers:

  • This study investigates a numerical method for incompressible flows governed by unsteady Navier–Stokes equations, proposing a characteristic finite element method based on two Gauss integrations. The proposed method is compared and analyzed with the classical two-grid method and variational multiscale methods, respectively, with error estimates conducted. The superiority of the characteristic finite element method based on two Gauss integrations is verified through numerical examples with exact solutions. For a high Reynolds number of $ 10^6 $, both algorithms remain stable. The computational results show strong agreement with those reported in well-established literature. Furthermore, simulations of the lid-driven cavity flow are performed, and the computational results are in excellent agreement with those of Ghia Ghia and Shin.



    加载中


    [1] L. Zuo, G. Du, Two stabilized finite element methods based on local polynomial pressure projection for the steady-state Navier-Stokes-Darcy problem, Finite Elem. Anal. Des., 251 (2025), 104420. https://doi.org/10.1016/j.finel.2025.104420 doi: 10.1016/j.finel.2025.104420
    [2] H. Xu, Y. He, Some iterative finite element methods for steady Navier-Stokes equations with different viscosities, J. Comput. Phys., 232 (2013), 136–152. https://doi.org/10.1016/j.jcp.2012.07.020 doi: 10.1016/j.jcp.2012.07.020
    [3] T. Frachon, S. Zahedi, A cut finite element method for incompressible two-phase Navier-Stokes flows, J. Comput. Phys., 384 (2019), 77–98. https://doi.org/10.1016/j.jcp.2019.01.028 doi: 10.1016/j.jcp.2019.01.028
    [4] L. Li, A split-step finite-element method for incompressible Navier-Stokes equations with high-order accuracy up to the boundary, J. Comput. Phys., 408 (2020), 109274. https://doi.org/10.1016/j.jcp.2020.109274 doi: 10.1016/j.jcp.2020.109274
    [5] B. Duan, B. Li, Z. Yang, An energy diminishing arbitrary Lagrangian-Eulerian finite element method for two-phase Navier-Stokes flow, J. Comput. Phys., 461 (2022), 111215. https://doi.org/10.1016/j.jcp.2022.111215 doi: 10.1016/j.jcp.2022.111215
    [6] S. Yang, H. Tian, A posteriori error estimates and time adaptivity for fully discrete finite element method for the incompressible Navier-Stokes equations, Appl. Numer. Math., 216 (2025), 17–38. https://doi.org/10.1016/j.apnum.2025.05.001 doi: 10.1016/j.apnum.2025.05.001
    [7] N. Zhu, H. Rui, A Petrov-Galerkin immersed finite element method for steady Navier-Stokes interface problem with non-homogeneous jump conditions, J. Comput. Appl. Math., 445 (2024), 115815. https://doi.org/10.1016/j.cam.2024.115815 doi: 10.1016/j.cam.2024.115815
    [8] Y. Jiang, L. Mei, H. Wei, A finite element variational multiscale method for incompressible flow, Appl. Math. Comput., 266 (2015), 374–384. https://doi.org/10.1016/j.amc.2015.05.055 doi: 10.1016/j.amc.2015.05.055
    [9] V. John, S. Kaya, A finite element variational multiscale method for the Navier-Stokes equations, SIAM J. Sci. Comput., 26 (2005), 1485–1503. https://doi.org/10.1137/030601533 doi: 10.1137/030601533
    [10] V. A. B. Narayanan, N. Zabaras, Variational multiscale stabilized FEM formulations for transport equations: stochastic advection-diffusion and incompressible stochastic Navier-Stokes equations, J. Comput. Phys., 202 (2005), 94–133. https://doi.org/10.1016/j.jcp.2004.06.019 doi: 10.1016/j.jcp.2004.06.019
    [11] X. H. Zhang, H. Xiang, Variational multiscale element free Galerkin method for convection-diffusion-reaction equation with small diffusion, Eng. Anal. Boundary Elem., 46 (2014), 85–92. https://doi.org/10.1016/j.enganabound.2014.05.010 doi: 10.1016/j.enganabound.2014.05.010
    [12] C. E. Wasberg, T. Gjesdal, B. A. P. Reif, Ø. Andreassen, Variational multiscale turbulence modelling in a high order spectral element method, J. Comput. Phys., 228 (2009), 7333–7356. https://doi.org/10.1016/j.jcp.2009.06.029 doi: 10.1016/j.jcp.2009.06.029
    [13] V. John, S. Kaya, A. Kindl, Finite element error analysis for a projection-based variational multiscale method with nonlinear eddy viscosity, J. Math. Anal. Appl., 344 (2008), 627–641. https://doi.org/10.1016/j.jmaa.2008.03.015 doi: 10.1016/j.jmaa.2008.03.015
    [14] Z. H. Ge, J. J. Yan, Analysis of multiscale finite element method for the stationary Navier-Stokes equations, Nonlinear Anal. Real World Appl., 13 (2012), 385–394. https://doi.org/10.1016/j.nonrwa.2011.07.050 doi: 10.1016/j.nonrwa.2011.07.050
    [15] P. B. Bochev, C. R. Dohrmann, M. D. Gunzburger, Stabilized of low-order mixed finite element for the stokes equations, SIAM J. Numer. Anal., 44 (2006), 82–101. https://doi.org/10.1137/S0036142905444482 doi: 10.1137/S0036142905444482
    [16] H. B. De Oliveira, N. D. Lopes, Continuous/Discontinuous finite element approximation of a 2d Navier-Stokes problem arising in fluid confinement, Int. J. Numer. Anal. Model., 21 (2024), 315–352. https://doi.org/10.4208/ijnam2024-1013 doi: 10.4208/ijnam2024-1013
    [17] J. M. Connors, M. Gaiewski, An H1-conforming solenoidal basis for velocity computation on Powell-Sabin splits for the Stokes problem, Int. J. Numer. Anal. Model., 21 (2024), 181–200. https://doi.org/10.4208/ijnam2024-1007 { doi: 10.4208/ijnam2024-1007
    [18] W. Layton, A connection between subgrid scale eddy viscosity and mixed methods, Appl. Math. Comput., 133 (2002), 147–157. https://doi.org/10.1016/S0096-3003(01)00228-4 doi: 10.1016/S0096-3003(01)00228-4
    [19] M. Gunzburger, Finite Element Methods for Viscous Incompressible Flows: A Guide to Theory, Practice, and Algorithms, Academic Press, Boston, 1989.
    [20] H. E. Jia, K. T. Li, S. H. Liu, Characteristic stabilized finite element method for the transient Navier-Stokes equations, Comput. Methods Appl. Mech. Eng., 199 (2010), 2996–3004. https://doi.org/10.1016/j.cma.2010.06.010 doi: 10.1016/j.cma.2010.06.010
    [21] J. Li, Investigations on two kinds of two-level stabilized finite element methods for the stationary Navier–Stokes equations, Appl. Math. Comput., 182 (2006), 1470–1481. https://doi.org/10.1016/j.amc.2006.05.034 doi: 10.1016/j.amc.2006.05.034
    [22] J. Li, Y. He, A stabilized finite element method based on two local Gauss integrations for the Stokes equations, J. Comput. Appl. Math., 214 (2008), 58–65. https://doi.org/10.1016/j.cam.2007.02.015 doi: 10.1016/j.cam.2007.02.015
    [23] V. John, S. Kaya, A finite element variational multiscale method for the Navier–Stokes equations, SIAM J. Sci. Comput. 26 (2005) 1485–1503.
    [24] U. Ghia, K. N. Ghia, C. T. Shin, High-Re solutions for incompressible flow using the Navier-Stokes equations and a multigrid method, J. Comput. Phys., 48 (1982), 387–411. https://doi.org/10.1016/0021-9991(82)90058-4 doi: 10.1016/0021-9991(82)90058-4
    [25] A. Scala, G. Paolillo, C. S. Greco, T. Astarita, G. Cardone, Genetically-based active flow control of a circular cylinder wake via synthetic jets, Exp. Therm Fluid Sci., 162 (2025), 111362. https://doi.org/10.1016/j.expthermflusci.2024.111362 doi: 10.1016/j.expthermflusci.2024.111362
    [26] S. Muddada, K. Hariharan, V. S. Sanapala, B. S. V. Patnaik, Circular cylinder wakes and their control under the influence of oscillatory flows: A numerical study, J. Ocean. Eng. Sci., 6 (2021), 389–399. https://doi.org/10.1016/j.joes.2021.04.002 doi: 10.1016/j.joes.2021.04.002
  • Reader Comments
  • © 2026 the Author(s), licensee AIMS Press. This is an open access article distributed under the terms of the Creative Commons Attribution License (http://creativecommons.org/licenses/by/4.0)
通讯作者: 陈斌, bchen63@163.com
  • 1. 

    沈阳化工大学材料科学与工程学院 沈阳 110142

  1. 本站搜索
  2. 百度学术搜索
  3. 万方数据库搜索
  4. CNKI搜索

Metrics

Article views(560) PDF downloads(26) Cited by(0)

Article outline

Figures and Tables

Figures(15)  /  Tables(4)

Other Articles By Authors

/

DownLoad:  Full-Size Img  PowerPoint
Return
Return

Catalog