Research article Special Issues

Research on synchronized assets of multiple individuals based on delayed feedback control

  • Published: 29 January 2026
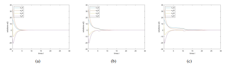
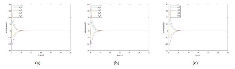
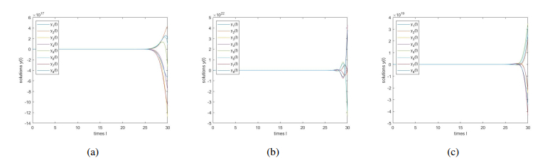
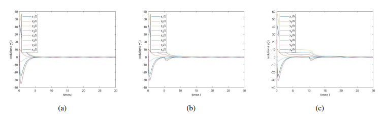
  • From a theoretical perspective, it is worthwhile to use the idea of control to synchronize multiple individual assets. We regard personal assets as multi-agent systems, i.e., second-order multi-agent systems (SOMAS). The delayed feedback control for consensus and average quasi-consensus of delayed SOMAS is studied. First, two weight matrices are studied, where the interactions are not entirely cooperative into the SOMAS with mixed time-varying delays (the delay varies with time). Second, a delayed feedback control is designed based on two weight matrices where the interactions are cooperative to get the consensus about followers and the average quasi-consensus about leader and followers. The consensus and average quasi-consensus of the delayed SOMAS are established by the graph-theoretic technique and Lyapunov functions. Finally, some numerical simulations is given to verify the theory.

    Citation: Huaiqin Yu, Qiang Fu, Xiaohuan Wang. Research on synchronized assets of multiple individuals based on delayed feedback control[J]. Electronic Research Archive, 2026, 34(2): 1017-1043. doi: 10.3934/era.2026047

    Related Papers:

  • From a theoretical perspective, it is worthwhile to use the idea of control to synchronize multiple individual assets. We regard personal assets as multi-agent systems, i.e., second-order multi-agent systems (SOMAS). The delayed feedback control for consensus and average quasi-consensus of delayed SOMAS is studied. First, two weight matrices are studied, where the interactions are not entirely cooperative into the SOMAS with mixed time-varying delays (the delay varies with time). Second, a delayed feedback control is designed based on two weight matrices where the interactions are cooperative to get the consensus about followers and the average quasi-consensus about leader and followers. The consensus and average quasi-consensus of the delayed SOMAS are established by the graph-theoretic technique and Lyapunov functions. Finally, some numerical simulations is given to verify the theory.



    加载中


    [1] P. Lin, Y. Jia, Consensus of a class of second-order multi-agent systems with time-delay and jointly-connected topologies, IEEE Trans. Autom. Control, 55 (2010), 778–784. https://doi.org/10.1109/TAC.2010.2040500 doi: 10.1109/TAC.2010.2040500
    [2] Y. Sun, L. Wang, $H_{\infty}$ consensus of second-order multi-agent systems with asymmetric delays, Syst. Control Lett., 61 (2012), 857–862. https://doi.org/10.1016/j.sysconle.2012.05.007 doi: 10.1016/j.sysconle.2012.05.007
    [3] J. Qin, H. Gao, W. Zheng, Second-order consensus for multi-agent systems with switching topology and communication delay, Syst. Control Lett., 60 (2011), 390–397. https://doi.org/10.1016/j.sysconle.2011.03.004 doi: 10.1016/j.sysconle.2011.03.004
    [4] J. Liu, Z. Chen, Robust $H_{\infty}$ consensus control concerning second-order multi-agent systems with time-varying delays on dynamic topologies, Int. J. Comput. Math., 88 (2011), 2485–2501. https://doi.org/10.1080/00207160.2011.553674 doi: 10.1080/00207160.2011.553674
    [5] W. Yu, G. Chen, M. Cao, Some necessary and sufficient conditions for second-order consensus in multi-agent dynamical systems, Automatica, 46 (2010), 1089–1095. https://doi.org/10.1016/j.automatica.2010.03.006 doi: 10.1016/j.automatica.2010.03.006
    [6] H. Li, X. Liao, T. Dong, L. Xiao, Second-order consensus seeking in directed networks of multi-agent dynamical systems via generalized linear local interaction protocols, Nonlinear Dyn., 70 (2012), 2213–2226. https://doi.org/10.1007/s11071-012-0611-z doi: 10.1007/s11071-012-0611-z
    [7] W. Yu, W. Ren, W. Zheng, G. Chen, J Lü, Distributed control gains design for consensus in multi-agent systems with second-order nonlinear dynamics, Automatica, 49 (2013), 2107–2115. https://doi.org/10.1016/j.automatica.2013.03.005 doi: 10.1016/j.automatica.2013.03.005
    [8] Y. Ding, H. Peng, T. Qi, J. Chen, Consensus performance of first-order agents, IEEE Trans. Autom. Control, 69 (2024), 5446–5453. https://doi.org/10.1109/TAC.2024.3362861 doi: 10.1109/TAC.2024.3362861
    [9] F. Sun, Z. Guan, Finite-time consensus for leader-following second-order multi-agent system, Int. J. Syst. Sci., 44 (2013), 727–738. https://doi.org/10.1080/00207721.2011.618641 doi: 10.1080/00207721.2011.618641
    [10] L. Zhao, C. Hua, Finite-time consensus tracking of second-order multi-agent systems via nonsingular TSM, Nonlinear Dyn., 75 (2014), 311–318. https://doi.org/10.1007/s11071-013-1067-5 doi: 10.1007/s11071-013-1067-5
    [11] S. Yu, X. Long, Finite-time consensus for second-order multi-agent systems with disturbances by integral sliding mode, Automatica, 54 (2015), 158–165. https://doi.org/10.1016/j.automatica.2015.02.001 doi: 10.1016/j.automatica.2015.02.001
    [12] Y. Zhao, Z. Duan, G. Wen, Finite-time consensus for second-order multi-agent systems with saturated control protocols, IET Control Theory Appl., 9 (2015), 312–319. https:/doi.org//10.1049/iet-cta.2014.0061 doi: 10.1049/iet-cta.2014.0061
    [13] X. Liu, J. Cao, N. Jiang, G. Hao, S. Wang, Finite-time consensus of second-order multi-agent systems via auxiliary system approach, J. Franklin Inst., 353 (2016), 1479–1493. https://doi.org/10.1016/j.jfranklin.2016.02.007 doi: 10.1016/j.jfranklin.2016.02.007
    [14] H. Liu, Z. Wang, Sampled-data-based consensus of multi-agent systems under asynchronous denial-of-service attacks, Nonlinear Anal. Hybrid Syst., 39 (2021), 100969. https://doi.org/10.1016/j.nahs.2020.100969 doi: 10.1016/j.nahs.2020.100969
    [15] Q. Song, J. Cao, W. Yu, Second-order leader-following consensus of nonlinear multi-agent systems via pinning control, Syst. Control Lett., 59 (2010), 553–562. https://doi.org/10.1016/j.sysconle.2010.06.016 doi: 10.1016/j.sysconle.2010.06.016
    [16] Z. Wang, J. Cao, Quasi-consensus of second-order leader-following multi-agent systems, IET Control Theory Appl., 6 (2012), 545–551. https://doi.org/10.1049/iet-cta.2011.0198 doi: 10.1049/iet-cta.2011.0198
    [17] H. Yang, Z. Zhang, S. Zhang, Consensus of second-order multi-agent systems with exogenous disturbances, Int. J. Robust Nonlinear Control, 21 (2011), 945–956. https://doi.org/10.1002/rnc.1631 doi: 10.1002/rnc.1631
    [18] W. Guo, H. Xiao, S. Chen, Consensus of the second-order multi-agent systems with an active leader and coupling time delay, Acta Math. Sci., 34 (2014), 453–465. https://doi.org/10.1016/S0252-9602(14)60019-9 doi: 10.1016/S0252-9602(14)60019-9
    [19] W. Hou, M. Fu, H. Zhang, Z. Wu, Consensus conditions for general second-order multi-agent systems with communication delay, Automatica, 75 (2017), 293–298. https://doi.org/10.1016/j.automatica.2016.09.042 doi: 10.1016/j.automatica.2016.09.042
    [20] T. Zhang, G. Zhang, Y. Huang, Consensus control and initialization region optimization for leader-following multi-agent systems under time-varying communication delay and consecutive packet dropouts, Optim. Control Appl. Methods, 45 (2024), 2689–2701. https://doi.org/10.1002/oca.3180 doi: 10.1002/oca.3180
    [21] K. Liu, G. Xie, L. Wang, Containment control for second-order multi-agent systems with time-varying delays, Syst. Control Lett., 67 (2014), 24–31. https://doi.org/10.1016/j.sysconle.2013.12.013 doi: 10.1016/j.sysconle.2013.12.013
    [22] D. Zhang, Q. Song, Y. Liu, G. Cao, Pinning consensus analysis for nonlinear second-order multi-agent systems with time-varying delays, Asian J. Control, 20 (2018), 2343–2350. https://doi.org/10.1002/asjc.1731 doi: 10.1002/asjc.1731
    [23] M. Dhullipalla, H. Yu, T. Chen, Distributed Control Under Transmission Delays: A Model-Based Hybrid System Approach, IEEE Trans. Autom. Control, 69 (2024), 7901–7908. https://doi.org/10.1109/TAC.2024.3401970 doi: 10.1109/TAC.2024.3401970
    [24] R. Yang, L. Peng, Y. Yang, H. Zhao, Scaled bipartite consensus controller design for second-order multi-agent systems with mixed time-delays, J. Syst. Sci. Complex, 35 (2022), 888–908. https://doi.org/10.1007/s11424-021-0189-y doi: 10.1007/s11424-021-0189-y
    [25] Y. Qian, X. Wu, J. L$\ddot{u}$, J. Lu, Consensus of second-order multi-agent systems with nonlinear dynamics and time delay, Nonlinear Dyn., 78 (2014), 495–503. https://doi.org/10.1007/s11071-014-1456-4 doi: 10.1007/s11071-014-1456-4
    [26] Y. Jin, X. Liu, M. Cao, N. Tashi, Strong consensus of convex second-order multi-agent systems with time-varying topologies, Int. J. Robust Nonlinear Control, 34 (2024), 11267–11281. https://doi.org/10.1002/rnc.7569 doi: 10.1002/rnc.7569
    [27] Q. Zhang, J. Luo, P. Tong, L. Wan, X. Wu, Asynchronous impulsive consensus of discrete-time nonlinear multi-agent systems with time-varying delays, Phys. A, 645 (2024), 129867. https://doi.org/10.1016/j.physa.2024.129867 doi: 10.1016/j.physa.2024.129867
    [28] Q. Fu, X. Wang, Delayed feedback control for the consensus and average quasi-consensus of delayed multi-agent systems, Commun. Nonlinear Sci. Numer. Simul., 152 (2026), 109321. https://doi.org/10.1016/j.cnsns.2025.109321 doi: 10.1016/j.cnsns.2025.109321
    [29] H. Guo, G. Feng, C. Bi, Containment control of heterogeneous multi-agent systems subject to Markovian randomly switching topologies and unbounded delays, J. Autom. Intell., 3 (2024), 152–159. https://doi.org/10.1016/j.jai.2024.06.001 doi: 10.1016/j.jai.2024.06.001
    [30] Y. Zhang, X. Chen, G. Lv, Stabilization of hybrid stochastic differential delay equations by feedback control based on discrete-time state observation, Eur. J. Control, 80 (2024), 101126. https://doi.org/10.1016/j.ejcon.2024.101126 doi: 10.1016/j.ejcon.2024.101126
    [31] J. Zhang, B. Zhou, D. Yang, Y. Luo, G. Li, Distributed dynamic event-triggered consensus control of multiagent systems subject to external disturbances, Inf. Sci., 709 (2025), 122072. https://doi.org/10.1016/j.ins.2025.122072 doi: 10.1016/j.ins.2025.122072
    [32] J. Zhang, H. Zhang, S. Sun, Adaptive dynamic event-triggered bipartite time-varying output formation tracking problem of heterogeneous multiagent systems, IEEE Trans. Syst. Man Cybern.: Syst., 54 (2024), 12–22. https://doi.org/10.1109/TSMC.2023.3296880 doi: 10.1109/TSMC.2023.3296880
    [33] W. Cao, G. Feng, Robust adaptive leaderless consensus of unknown non-minimum phase linear multi-agent systems subject to disturbances and/or unmodeled dynamics, J. Autom. Intell., 3 (2024), 92–100. https://doi.org/10.1016/j.jai.2024.03.002 doi: 10.1016/j.jai.2024.03.002
    [34] Q. Guo, X. Mao, R. Yue, Almost sure exponential stability of stochastic differential delay equations, SIAM J. Control Optim., 54 (2016), 1919–1933. https://doi.org/10.1137/15M1019465 doi: 10.1137/15M1019465
    [35] X. Li, X. Mao, Stabilisation of highly nonlinear hybrid stochastic differential delay equations by delay feedback control, Automatica, 112 (2020), 108657. https://doi.org/10.1016/j.automatica.2019.108657 doi: 10.1016/j.automatica.2019.108657
    [36] Y. Li, S. You, J. Lu, Y. Jiang, L. Hu, X. Mao, Stabilisation in distribution by delay feedback controls for hybrid stochastic delay differential equations, Int. J. Syst. Sci., 54 (2023), 1070–1086. https://doi.org/10.1080/00207721.2022.2160675 doi: 10.1080/00207721.2022.2160675
    [37] W. Mao, X. Xiao, L. Miao, L. Hu, Stabilization of hybrid stochastic systems with time-varying delay by discrete-time state feedback control, Adv. Contin. Discrete Models, 2023 (2023). https://doi.org/10.1186/s13662-023-03759-3 doi: 10.1186/s13662-023-03759-3
    [38] J. Huang, G. Wen, Z. Peng, Y. Zhang, Cluster-delay consensus for second-order nonlinear multi-agent systems, J. Syst. Sci. Complex, 33 (2020), 333–344. https://doi.org/10.1007/s11424-020-8174-4 doi: 10.1007/s11424-020-8174-4
    [39] M. Khodaverdian, M. Najafi, O. Kazemifar, S. Rahmanian, Fault-tolerant model predictive sliding mode control for trajectory replanning of multi-UAV formation flight, Appl. Math. Comput., 487 (2025), 129073. https://doi.org/10.1016/j.amc.2024.129073 doi: 10.1016/j.amc.2024.129073
  • Reader Comments
  • © 2026 the Author(s), licensee AIMS Press. This is an open access article distributed under the terms of the Creative Commons Attribution License (http://creativecommons.org/licenses/by/4.0)
通讯作者: 陈斌, bchen63@163.com
  • 1. 

    沈阳化工大学材料科学与工程学院 沈阳 110142

  1. 本站搜索
  2. 百度学术搜索
  3. 万方数据库搜索
  4. CNKI搜索

Metrics

Article views(1147) PDF downloads(30) Cited by(0)

Article outline

Figures and Tables

Figures(7)

Other Articles By Authors

/

DownLoad:  Full-Size Img  PowerPoint
Return
Return

Catalog