Research article Special Issues

Algebraic–spectral thresholds and discrete–continuous stability transfer in Leslie–Gower systems

  • † The authors contributed equally to this work.
  • Published: 07 January 2026
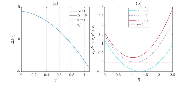
  • We studied an intraguild–predation system where an intermediate consumer and a top consumer exploit a shared basal resource. A compact nondimensionalization yielded five interpretable parameters—relative predator growth $ \alpha $, crowding $ \beta $, enrichment $ \gamma $, and depletion couplings $ \delta, \varepsilon $. We presented closed-form thresholds that organize the dynamics: the coexistence equilibrium exists exactly when a quadratic in the resource steady state has a root in $ (0, \beta) $; as $ \gamma $ varies, a two-equilibria window appears and terminates at an explicit saddle–node value $ \gamma_1^+ $, with transversality confirmed and transcritical/pitchfork alternatives excluded. A Hopf onset criterion was given via the characteristic polynomial coefficients along the interior branch. For the forward-Euler discretization we established positivity, an absorbing set under an explicit stepsize bound, and stability tests that reduce to $ |1+\Delta\tau\lambda| = 1 $. Extensions to diffusion and stochastic forcing suggest the incorporation of more realistic spatial and stochastic factors. The thresholds were directly calibratable, enabling reproducible, mechanistic predictions for applied systems.

    Citation: Louis Shuo Wang, Jiguang Yu. Algebraic–spectral thresholds and discrete–continuous stability transfer in Leslie–Gower systems[J]. Electronic Research Archive, 2026, 34(1): 251-290. doi: 10.3934/era.2026013

    Related Papers:

  • We studied an intraguild–predation system where an intermediate consumer and a top consumer exploit a shared basal resource. A compact nondimensionalization yielded five interpretable parameters—relative predator growth $ \alpha $, crowding $ \beta $, enrichment $ \gamma $, and depletion couplings $ \delta, \varepsilon $. We presented closed-form thresholds that organize the dynamics: the coexistence equilibrium exists exactly when a quadratic in the resource steady state has a root in $ (0, \beta) $; as $ \gamma $ varies, a two-equilibria window appears and terminates at an explicit saddle–node value $ \gamma_1^+ $, with transversality confirmed and transcritical/pitchfork alternatives excluded. A Hopf onset criterion was given via the characteristic polynomial coefficients along the interior branch. For the forward-Euler discretization we established positivity, an absorbing set under an explicit stepsize bound, and stability tests that reduce to $ |1+\Delta\tau\lambda| = 1 $. Extensions to diffusion and stochastic forcing suggest the incorporation of more realistic spatial and stochastic factors. The thresholds were directly calibratable, enabling reproducible, mechanistic predictions for applied systems.



    加载中


    [1] A. J. Lotka, Analytical note on certain rhythmic relations in organic systems, Proc. Natl. Acad. Sci. U.S.A., 6 (1920), 410–415. https://doi.org/10.1073/pnas.6.7.410 doi: 10.1073/pnas.6.7.410
    [2] A. J. Lotka, Undamped oscillations derived from the law of mass action, J. Am. Chem. Soc., 42 (1920), 1595–1599. https://doi.org/10.1021/ja01453a010 doi: 10.1021/ja01453a010
    [3] V. Volterra, Variations and fluctuations of the number of individuals in animal species living together, J. Cons., 3 (1928), 3–51. https://doi.org/10.1093/icesjms/3.1.3 doi: 10.1093/icesjms/3.1.3
    [4] L. A. Segel, J. D. Murray: Mathematical biology (3rd Ed), volume Ⅰ (an introduction) and volume Ⅱ (spatial models and biomedical applications), Math. Med. Biol., 20 (2003), 377–378. https://doi.org/10.1093/imammb/20.4.377 doi: 10.1093/imammb/20.4.377
    [5] M. Chen, Pattern dynamics of a Lotka-Volterra model with taxis mechanism, Appl. Math. Comput., 484 (2025), 129017. https://doi.org/10.1016/j.amc.2024.129017 doi: 10.1016/j.amc.2024.129017
    [6] C. Accarino, F. Capone, R. De Luca, G. Massa, On the dynamics of a Leslie–Gower predator–prey ternary model with intraguild, Ricerche Mat., 74 (2025), 1099–1117. https://doi.org/10.1007/s11587-023-00822-9 doi: 10.1007/s11587-023-00822-9
    [7] R. D. Holt, G. R. Huxel, Alternative prey and the dynamics of intraguild predation: Theoretical perspectives, Ecology, 88 (2007), 2706–2712. https://doi.org/10.1890/06-1525.1 doi: 10.1890/06-1525.1
    [8] S. B. Hsu, S. Ruan, T. H. Yang, Analysis of three species Lotka–Volterra food web models with omnivory, J. Math. Anal. Appl., 426 (2015), 659–687. https://doi.org/10.1016/j.jmaa.2015.01.035 doi: 10.1016/j.jmaa.2015.01.035
    [9] F. Capone, M. F. Carfora, R. De Luca, I. Torcicollo, On the dynamics of an intraguild predator–prey model, Math. Comput. Simul., 149 (2018), 17–31. https://doi.org/10.1016/j.matcom.2018.01.004 doi: 10.1016/j.matcom.2018.01.004
    [10] M. Arim, P. A. Marquet, Intraguild predation: A widespread interaction related to species biology, Ecol. Lett., 7 (2004), 557–564. https://doi.org/10.1111/j.1461-0248.2004.00613.x doi: 10.1111/j.1461-0248.2004.00613.x
    [11] R. D. Holt, G. A. Polis, A theoretical framework for intraguild predation, Am. Nat., 149 (1997), 745–764.
    [12] P. H. Leslie, J. C. Gower, The properties of a stochastic model for the predator-prey type of interaction between two species, Biometrika, 47 (1960), 219–234. https://doi.org/10.1093/biomet/47.3-4.219 doi: 10.1093/biomet/47.3-4.219
    [13] A. H. Naser, D. K. Bahlool, Dynamics of an intraguild predation food web cooperation model under the influence of fear and hunting, Computation, 13 (2025), 128. https://doi.org/10.3390/computation13060128 doi: 10.3390/computation13060128
    [14] K. Manimaran, F. Mustapha, F. M. Siam, Intraguild predation model with stage structure and cannibalism in prey population, Matematika, 38 (2022), 157–178. https://doi.org/10.11113/matematika.v38.n2.1410 doi: 10.11113/matematika.v38.n2.1410
    [15] S. Dash, S. Khajanchi, Dynamics of intraguild predation with intraspecies competition, J. Appl. Math. Comput., 69 (2023), 4877–4906. https://doi.org/10.1007/s12190-023-01956-7 doi: 10.1007/s12190-023-01956-7
    [16] S. N. Raw, B. Tiwari, A mathematical model of intraguild predation with prey refuge and competitive predators, Int. J. Appl. Comput. Math., 8 (2022), 157. https://doi.org/10.1007/s40819-022-01366-6 doi: 10.1007/s40819-022-01366-6
    [17] X. Jin, L. Liu, Y. G. Shi, Exploring coexistence and bifurcations in a tri-trophic intraguild predation model with a Holling Ⅱ functional response, Int. J. Bifurcation Chaos, 35 (2025), 2550107. https://doi.org/10.1142/S021812742550107X doi: 10.1142/S021812742550107X
    [18] P. A. Abrams, S. R. Fung, Prey persistence and abundance in systems with intraguild predation and type-2 functional responses, J. Theor. Biol., 264 (2010), 1033–1042. https://doi.org/10.1016/j.jtbi.2010.02.045 doi: 10.1016/j.jtbi.2010.02.045
    [19] Y. Kang, L. Wedekin, Dynamics of a intraguild predation model with generalist or specialist predator, J. Math. Biol., 67 (2013), 1227–1259. https://doi.org/10.1007/s00285-012-0584-z doi: 10.1007/s00285-012-0584-z
    [20] D. Sen, S. Ghorai, M. Banerjee, Complex dynamics of a three species prey-predator model with intraguild predation, Ecol. Complexity, 34 (2018), 9–22. https://doi.org/10.1016/j.ecocom.2018.02.002 doi: 10.1016/j.ecocom.2018.02.002
    [21] Z. Shang, Y. Qiao, Complex dynamics of a four-species food web model with nonlinear top predator harvesting and fear effect, Math. Comput. Simul., 223 (2024), 458–484. https://doi.org/10.1016/j.matcom.2024.04.024 doi: 10.1016/j.matcom.2024.04.024
    [22] S. Chakravarty, L. N. Guin, S. Ghosh, Mathematical modelling of intraguild predation and its dynamics of resource harvesting, Int. J. Nonlinear Anal. Appl., 13 (2022), 837–861. http://dx.doi.org/10.22075/ijnaa.2022.26067.3215 doi: 10.22075/ijnaa.2022.26067.3215
    [23] F. Farivar, G. Gambino, V. Giunta, M. C. Lombardo, M. Sammartino, Intraguild predation communities with anti-predator behavior, SIAM J. Appl. Dyn. Syst., 24 (2025), 1110–1149. https://doi.org/10.1137/24M1632747 doi: 10.1137/24M1632747
    [24] R. S. Cantrell, X. Cao, K. Y. Lam, T. Xiang, A PDE model of intraguild predation with cross-diffusion, Discrete Contin. Dyn. Syst. Ser. B, 22 (2017), 3653–3661. https://doi.org/10.3934/dcdsb.2017145 doi: 10.3934/dcdsb.2017145
    [25] D. Ryan, R. S. Cantrell, Avoidance behavior in intraguild predation communities: A cross-diffusion model, Discrete Contin. Dyn. Syst., 35 (2015), 1641–1663. https://doi.org/10.3934/dcds.2015.35.1641 doi: 10.3934/dcds.2015.35.1641
    [26] P. Mishra, D. Wrzosek, Indirect taxis drives spatio-temporal patterns in an extended Schoener's intraguild predator–prey model, Appl. Math. Lett., 125 (2022), 107745. https://doi.org/10.1016/j.aml.2021.107745 doi: 10.1016/j.aml.2021.107745
    [27] P. Mishra, D. Wrzosek, Schoener-Polis-Holt's model of the intraguild predation with predator taxis and repulsive chemotaxis, Discrete Contin. Dyn. Syst. Ser. B, 29 (2024), 4698–4726. https://doi.org/10.3934/dcdsb.2024062 doi: 10.3934/dcdsb.2024062
    [28] Y. Ma, R. Yang, Bifurcation analysis in a modified Leslie-Gower with nonlocal competition and Beddington-DeAngelis functional response, J. Appl. Anal. Comput., 15 (2025), 2152–2184. http://doi.org/10.11948/20240415 doi: 10.11948/20240415
    [29] F. Zhu, R. Yang, Bifurcation in a modified Leslie-Gower model with nonlocal competition and fear effect, Discrete Contin. Dyn. Syst. Ser. B, 30 (2025), 2865–2893. https://doi.org/10.3934/dcdsb.2024195 doi: 10.3934/dcdsb.2024195
    [30] R. Yang, F. Wang, D. Jin, Spatially inhomogeneous bifurcating periodic solutions induced by nonlocal competition in a predator–prey system with additional food, Math. Methods Appl. Sci., 45 (2022), 9967–9978. https://doi.org/10.1002/mma.8349 doi: 10.1002/mma.8349
    [31] F. Wang, R. Yang, X. Zhang, Turing patterns in a predator–prey model with double Allee effect, Math. Comput. Simul., 220 (2024), 170–191. https://doi.org/10.1016/j.matcom.2024.01.015 doi: 10.1016/j.matcom.2024.01.015
    [32] H. M. Safuan, H. S. Sidhu, Z. Jovanoski, I. N. Towers, Impacts of biotic resource enrichment on a predator–prey population, Bull. Math. Biol., 75 (2013), 1798–1812. https://doi.org/10.1007/s11538-013-9869-7 doi: 10.1007/s11538-013-9869-7
    [33] J. Yao, S. Yuan, Extinction of intra prey induced by catastrophic shift in a Lesile–Gower intraguild predation model, Appl. Math. Lett., 173 (2026), 109748. https://doi.org/10.1016/j.aml.2025.109748 doi: 10.1016/j.aml.2025.109748
    [34] T. M. Bury, C. T. Bauch, M. Anand, Detecting and distinguishing tipping points using spectral early warning signals, J. R. Soc. Interface, 17 (2020), 20200482. https://doi.org/10.1098/rsif.2020.0482 doi: 10.1098/rsif.2020.0482
    [35] M. M. Khan, M. J. Uddin, Chaos and bifurcations of a discretized Holling-Ⅱ prey-predator model including prey refuge and Allee effect, Sci. Rep., 15 (2025), 32940. https://doi.org/10.1038/s41598-025-04333-5 doi: 10.1038/s41598-025-04333-5
    [36] W. Yin, X. Shi, P. Meng, F. Qu, Research on recovering scattering obstacles in inhomogeneous medium based on Bayesian method, Appl. Anal., 103 (2024), 3197–3212. https://doi.org/10.1080/00036811.2024.2346275 doi: 10.1080/00036811.2024.2346275
    [37] J. Zhuang, P. Meng, W. Yin, A stable neural network for inverse scattering problems with contaminated data, Knowledge-Based Syst., 310 (2025), 113001. https://doi.org/10.1016/j.knosys.2025.113001 doi: 10.1016/j.knosys.2025.113001
    [38] P. Meng, Z. Xu, X. Wang, W. Yin, H. Liu, A novel method for solving the inverse spectral problem with incomplete data, J. Comput. Appl. Math., 463 (2025), 116525. https://doi.org/10.1016/j.cam.2025.116525 doi: 10.1016/j.cam.2025.116525
    [39] Y. Deng, H. Liu, L. Zhu, Optimal estimate of electromagnetic field concentration between two nearly-touching inclusions in the quasi-static regime, SIAM J. Math. Anal., 57 (2025), 2596–2621. https://doi.org/10.1137/24M1639774 doi: 10.1137/24M1639774
    [40] H. Diao, H. Liu, Q. Meng, L. Wang, Effective medium theory for embedded obstacles in electromagnetic scattering with applications, J. Differ. Equations, 437 (2025), 113283. https://doi.org/10.1016/j.jde.2025.113283 doi: 10.1016/j.jde.2025.113283
    [41] V. Makler-Pick, M. R. Hipsey, T. Zohary, Y. Carmel, G. Gal, Intraguild predation dynamics in a lake ecosystem based on a coupled hydrodynamic-ecological model: The example of Lake Kinneret (Israel), Biology, 6 (2017), 22. https://doi.org/10.3390/biology6020022 doi: 10.3390/biology6020022
    [42] M. A. Aziz-Alaoui, M. D. Okiye, Boundedness and global stability for a predator-prey model with modified Leslie-Gower and Holling-type Ⅱ schemes, Appl. Math. Lett., 16 (2003), 1069–1075. https://doi.org/10.1016/S0893-9659(03)90096-6 doi: 10.1016/S0893-9659(03)90096-6
    [43] L. Perko, Differential Equations and Dynamical Systems, 3nd edition, Springer-Verlag, New York, 2001.
    [44] P. S. Mandal, L. J. S. Allen, M. Banerjee, Stochastic modeling of phytoplankton allelopathy, Appl. Math. Modell., 38 (2014), 1583–1596. https://doi.org/10.1016/j.apm.2013.08.031 doi: 10.1016/j.apm.2013.08.031
    [45] R. V. dos Santos, Discreteness inducing coexistence, Phys. A, 392 (2013), 5888–5897. https://doi.org/10.1016/j.physa.2013.07.058 doi: 10.1016/j.physa.2013.07.058
    [46] G. W. A. Constable, T. Rogers, A. J. McKane, C. E. Tarnita, Demographic noise can reverse the direction of deterministic selection, Proc. Natl. Acad. Sci. U.S.A., 113 (2016), E4745–E4754. https://doi.org/10.1073/pnas.1603693113 doi: 10.1073/pnas.1603693113
    [47] H. Weissmann, N. M. Shnerb, D. A. Kessler, Simulation of spatial systems with demographic noise, Phys. Rev. E, 98 (2018), 022131. https://doi.org/10.1103/PhysRevE.98.022131 doi: 10.1103/PhysRevE.98.022131
    [48] M. Abundo, A stochastic model for predator-prey systems: Basic properties, stability and computer simulation, J. Math. Biol., 29 (1991), 495–511. https://doi.org/10.1007/BF00164048 doi: 10.1007/BF00164048
    [49] L. S. Wang, J. Yu, Analysis framework for stochastic predator–prey model with demographic noise, Results Appl. Math., 27 (2025), 100621. https://doi.org/10.1016/j.rinam.2025.100621 doi: 10.1016/j.rinam.2025.100621
    [50] L. S. Wang, J. Yu, S. Li, Z. Liu, Analysis and mean-field limit of a hybrid PDE-ABM modeling angiogenesis-regulated resistance evolution, Mathematics, 13 (2025), 2898. https://doi.org/10.3390/math13172898 doi: 10.3390/math13172898
    [51] F. Solimano, E. Beretta, Graph theoretical criteria for stability and boundedness of predator-prey systems, Bull. Math. Biol., 44 (1982), 579–585. https://doi.org/10.1007/BF02459411 doi: 10.1007/BF02459411
    [52] Z. Liu, L. S. Wang, J. Yu, J. Zhang, E. Martel, S. Li, Bidirectional endothelial feedback drives Turing-vascular patterning and drug-resistance niches: A hybrid PDE-agent-based study, Bioengineering, 12 (2025), 1097. https://doi.org/10.3390/bioengineering12101097 doi: 10.3390/bioengineering12101097
    [53] J. Duan, Z. Wei, D. Li, H. Su, C. Grebogi, Symbolic dynamics for a kinds of piecewise smooth maps, Discrete Contin. Dyn. Syst. Ser. S, 17 (2024), 2778–2787. https://doi.org/10.3934/dcdss.2024042 doi: 10.3934/dcdss.2024042
    [54] J. Duan, Z. Wei, G. Li, D. Li, C. Grebogi, Strange nonchaotic attractors in a class of quasiperiodically forced piecewise smooth systems, Nonlinear Dyn., 112 (2024), 12565–12577. https://doi.org/10.1007/s11071-024-09678-6 doi: 10.1007/s11071-024-09678-6
    [55] Z. Wei, F. Wang, H. Li, W. Zhang, Jacobi stability analysis and impulsive control of a 5D self-exciting homopolar disc dynamo, Discrete Contin. Dyn. Syst. Ser. B, 27 (2022), 5029–5045. https://doi.org/10.3934/dcdsb.2021263 doi: 10.3934/dcdsb.2021263
  • Reader Comments
  • © 2026 the Author(s), licensee AIMS Press. This is an open access article distributed under the terms of the Creative Commons Attribution License (http://creativecommons.org/licenses/by/4.0)
通讯作者: 陈斌, bchen63@163.com
  • 1. 

    沈阳化工大学材料科学与工程学院 沈阳 110142

  1. 本站搜索
  2. 百度学术搜索
  3. 万方数据库搜索
  4. CNKI搜索

Metrics

Article views(1156) PDF downloads(48) Cited by(1)

Article outline

Figures and Tables

Figures(7)  /  Tables(4)

Other Articles By Authors

/

DownLoad:  Full-Size Img  PowerPoint
Return
Return

Catalog