Research article Special Issues

Modified fractional order social media addiction modeling and sliding mode control considering a professionally operating population

  • Published: 24 June 2024
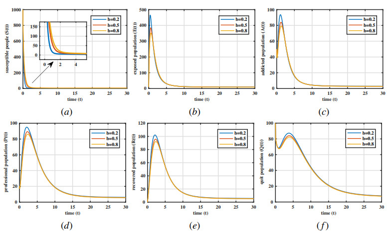
  • With the advancement of technology, social media has become an integral part of people's daily lives. This has resulted in the emergence of a new group of individuals known as "professional operation people". These individuals actively engage with social media platforms, taking on roles as content creators, influencers, or professionals utilizing social media for marketing and networking purposes. Therefore, in this article, we designed a six-dimensional fractional-order social media addiction model (FOSMA) in the sense of Caputo, which took into account the professional operations population. Initially, we established the positivity and boundedness of the FOSMA model. After that, the basic regeneration number and the equilibrium points (no addiction equilibrium point and addiction equilibrium point) were computed. Then, the local asymptotic stability of the equilibrium points were proved. In order to investigate the bifurcation behavior of the model when $ R_0 = 1, $ we extended the Sotomayor theorem from integer-order to fractional-order systems. Next, by the frequency analysis method, we converted the fractional order model into an equivalent partial differential system. The tanh function was introduced into the scheme of sliding mode surface. The elimination of addiction was achieved by the action of the fractional order sliding mode control law. Finally, simulation results showed that fractional order values, nonlinear transmission rates, and specialized operating populations had a significant impact on predicting and controlling addiction. The fractional-order sliding mode control we designed played an important role in eliminating chatter, controlling addiction, and ensuring long-term effectiveness. The results of this paper have far-reaching implications for future work on modeling and control of fractional-order systems in different scenarios, such as epidemic spread, ecosystem stabilization, and game addiction.

    Citation: Ning Li, Yuequn Gao. Modified fractional order social media addiction modeling and sliding mode control considering a professionally operating population[J]. Electronic Research Archive, 2024, 32(6): 4043-4073. doi: 10.3934/era.2024182

    Related Papers:

  • With the advancement of technology, social media has become an integral part of people's daily lives. This has resulted in the emergence of a new group of individuals known as "professional operation people". These individuals actively engage with social media platforms, taking on roles as content creators, influencers, or professionals utilizing social media for marketing and networking purposes. Therefore, in this article, we designed a six-dimensional fractional-order social media addiction model (FOSMA) in the sense of Caputo, which took into account the professional operations population. Initially, we established the positivity and boundedness of the FOSMA model. After that, the basic regeneration number and the equilibrium points (no addiction equilibrium point and addiction equilibrium point) were computed. Then, the local asymptotic stability of the equilibrium points were proved. In order to investigate the bifurcation behavior of the model when $ R_0 = 1, $ we extended the Sotomayor theorem from integer-order to fractional-order systems. Next, by the frequency analysis method, we converted the fractional order model into an equivalent partial differential system. The tanh function was introduced into the scheme of sliding mode surface. The elimination of addiction was achieved by the action of the fractional order sliding mode control law. Finally, simulation results showed that fractional order values, nonlinear transmission rates, and specialized operating populations had a significant impact on predicting and controlling addiction. The fractional-order sliding mode control we designed played an important role in eliminating chatter, controlling addiction, and ensuring long-term effectiveness. The results of this paper have far-reaching implications for future work on modeling and control of fractional-order systems in different scenarios, such as epidemic spread, ecosystem stabilization, and game addiction.



    加载中


    [1] M. Drahošová, P. Balco, The analysis of advantages and disadvantages of use of social media in European Union, Procedia Comput. Sci., 109 (2017), 1005–1009. https://doi.org/10.1016/j.procs.2017.05.446 doi: 10.1016/j.procs.2017.05.446
    [2] L. Aburahmah, H. AlRawi, Y. Izz, L. Syed, Online social gaming and social networking sites, Procedia Comput. Sci., 82 (2016), 72–79. https://doi.org/10.1016/j.procs.2016.04.011 doi: 10.1016/j.procs.2016.04.011
    [3] F. Maclean, D. Jones, G. C. Levy, H. M. Hunter, Understanding Twitter, Br. J. Occup. Ther., 76 (2013), 295–298. https://doi.org/10.4276/030802213X13706169933021 doi: 10.4276/030802213X13706169933021
    [4] P. T. Ayeni, Social media sddiction: symptoms and way forward, in The American Journal of Interdisciplinary Innovations and Research, 1 (2019), 19–42.
    [5] Y. B. Hou, D. Xiong, T. L. Jiang, L. Song, Q. Wang, Social media addiction: its impact, mediation, and intervention, Cyberpsychol. J. Psychosocial Res. Cyberspace, 13 (2019), 4. https://doi.org/10.5817/CP2019-1-4 doi: 10.5817/CP2019-1-4
    [6] Y. Sun, Y. Zhang, A review of theories and models applied in studies of social media addiction and implications for future research, Addict. Behav., 114 (2021), 106699. https://doi.org/10.1016/j.addbeh.2020.106699 doi: 10.1016/j.addbeh.2020.106699
    [7] N. Zhao, G. Zhou, COVID-19 stress and addictive social media use (SMU): mediating role of active use and social media flow, Front. Psychiatry, 12 (2021), 85. https://doi.org/10.3389/fpsyt.2021.635546 doi: 10.3389/fpsyt.2021.635546
    [8] T. T. Li, Y. M. Guo, Optimal control of an online game addiction model with positive and negative media reports, J. Appl. Math. Comput., 66 (2021), 599–619. https://doi.org/10.1007/s12190-020-01451-3 doi: 10.1007/s12190-020-01451-3
    [9] H. F. Huo, S. L. Jing, X. Y. Wang, H. Xiang, Modelling and analysis of an alcoholism model with treatment and effect of Twitter, Math. Biosci. Eng., 16 (2019), 3595–3622. https://doi.org/10.3934/mbe.2019179 doi: 10.3934/mbe.2019179
    [10] H. F. Huo, S. R. Huang, X. Y. Wang, H. Xiang, Optimal control of a social epidemic model with media coverage, J. Biol. Dyn., 11 (2017), 226–243. https://doi.org/10.1080/17513758.2017.1321792 doi: 10.1080/17513758.2017.1321792
    [11] H. F. Huo, X. M. Zhang, Complex dynamics in an alcoholism model with the impact of Twitter, Math. Biosci., 281 (2016), 24–35. https://doi.org/10.1016/j.mbs.2016.08.009 doi: 10.1016/j.mbs.2016.08.009
    [12] Y. M. Guo, T. T. Li, Fractional-order modeling and optimal control of a new online game addiction model based on real data, Commun. Nonlinear Sci. Numer. Simul., 121 (2023), 107221. https://doi.org/10.1016/j.cnsns.2023.107221 doi: 10.1016/j.cnsns.2023.107221
    [13] C. T. Deressa, G. F. Duressa, Analysis of Atangana–Baleanu fractional-order SEAIR epidemic model with optimal control, Adv. Differ. Equations, 2021 (2021), 174. https://doi.org/10.1186/s13662-021-03334-8 doi: 10.1186/s13662-021-03334-8
    [14] R. Q. Shi, T. Lu, Dynamic analysis and optimal control of a fractional order model for hand-foot-mouth Disease, J. Appl. Math. Comput., 64 (2020), 565–590. https://doi.org/10.1007/s12190-020-01369-w doi: 10.1007/s12190-020-01369-w
    [15] N. H. Sweilam, S. M. Al-Mekhlafi, T. Assiri, A. Atangana, Optimal control for cancer treatment mathematical model using Atangana–Baleanu–Caputo fractional derivative, Adv. Differ. Equations, 2020 (2020), 334. https://doi.org/10.1186/s13662-020-02793-9 doi: 10.1186/s13662-020-02793-9
    [16] N. H. Sweilam, S. M. Al-Mekhlafi, A. O. Albalawi, Optimal control for a fractional order malaria transmission dynamics mathematical model, Alexandria Eng. J., 59 (2020), 1677–1692. https://doi.org/10.1016/j.aej.2020.04.020 doi: 10.1016/j.aej.2020.04.020
    [17] K. S. Nisar, K. Logeswari, V. Vijayaraj, H. M. Baskonus, C. Ravichandran, Fractional order modeling the Gemini virus in capsicum annuum with optimal control, Fractal Fract., 6 (2022), 61. https://doi.org/10.3390/fractalfract6020061 doi: 10.3390/fractalfract6020061
    [18] H. Kheiri, M. Jafari, Stability analysis of a fractional order model for the HIV/AIDS epidemic in a patchy environment, J. Comput. Appl. Math., 346 (2019), 323–339. https://doi.org/10.1016/j.cam.2018.06.055 doi: 10.1016/j.cam.2018.06.055
    [19] C. A. K. Kwuimy, F. Nazari, X. Jiao, P. Rohani, C. Nataraj, Nonlinear dynamic analysis of an epidemiological model for COVID-19 including public behavior and government action, Nonlinear Dyn., 101 (2020), 1545–1559. https://doi.org/10.1007/s11071-020-05815-z doi: 10.1007/s11071-020-05815-z
    [20] P. N. Kambali, A. Abbasi, C. Nataraj, Nonlinear dynamic epidemiological analysis of effects of vaccination and dynamic transmission on COVID-19, Nonlinear Dyn., 111 (2023), 951–963. https://doi.org/10.1007/s11071-022-08125-8 doi: 10.1007/s11071-022-08125-8
    [21] W. C. Chen, H. G. Yu, C. J. Dai, Q. Guo, H. Liu, M. Zhao, Stability and bifurcation in a predator-prey model with prey refuge, J. Biol. Syst., 31 (2023), 417–435. https://doi.org/10.1142/S0218339023500146 doi: 10.1142/S0218339023500146
    [22] K. A. N. A. Amri, Q. J. A. Khan, Combining impact of velocity, fear and refuge for the predator–prey dynamics, J. Biol. Dyn., 17 (2023), 2181989. https://doi.org/10.1080/17513758.2023.2181989 doi: 10.1080/17513758.2023.2181989
    [23] A. Ishaku, B. S. Musa, A. Sanda, A. M. Bakoji, Mathematical assessment of social media impact on academic performance of students in higher institution, IOSR J. Math., 14 (2018), 72–79.
    [24] H. T. Alemneh, N. Y. Alemu, Mathematical modeling with optimal control analysis of social media addiction, Infect. Dis. Modell., 6 (2021), 405–419. https://doi.org/10.1016/j.idm.2021.01.011 doi: 10.1016/j.idm.2021.01.011
    [25] B. Maayah, O. A. Arqub, Hilbert approximate solutions and fractional geometric behaviors of a dynamical fractional model of social media addiction affirmed by the fractional Caputo differential operator, Chaos, Solitons Fractals:X, 10 (2023), 100092. https://doi.org/10.1016/j.csfx.2023.100092 doi: 10.1016/j.csfx.2023.100092
    [26] J. Kongson, W. Sudsutad, C. Thaiprayoon, J. Alzabut, C. Tearnbucha, On analysis of a nonlinear fractional system for social media addiction involving Atangana–Baleanu–Caputo derivative, Adv. Differ. Equations, 2021 (2021), 356. https://doi.org/10.1186/s13662-021-03515-5 doi: 10.1186/s13662-021-03515-5
    [27] S. Rashid, R. Ashraf, E. Bonyah, Nonlinear dynamics of the media addiction model using the fractal-fractional derivative technique, Complexity 2022 (2022). https://doi.org/10.1155/2022/2140649 doi: 10.1155/2022/2140649
    [28] S. M. Momani, R. P. Chauhan, D. S. Kumar, S. B. Hadid, Analysis of social media addiction model with singular operator, Fractals 31 (2023), 2340097. https://doi.org/10.1142/S0218348X23400972 doi: 10.1142/S0218348X23400972
    [29] P. Malik, Deepika, Stability analysis of fractional order modelling of social media addiction, Math. Found. Comput., 6 (2023), 670–690. https://doi.org/10.3934/mfc.2022040 doi: 10.3934/mfc.2022040
    [30] M. Shutaywi, Z. U. Rehman, Z. Shah, N. Vrinceanu, R. Jan, W. Deebani, et al., Modeling and analysis of the addiction of social media through fractional calculus, Front. Appl. Math. Stat., 9 (2023). https://doi.org/10.3389/fams.2023.1210404 doi: 10.3389/fams.2023.1210404
    [31] T. Jin, H. X. Xia, S. C. Gao, Reliability analysis of the uncertain fractional-order dynamic system with state constraint, Math. Methods Appl. Sci., 45 (2022), 2615–2637. https://doi.org/10.1002/mma.7943 doi: 10.1002/mma.7943
    [32] T. Jin, F. Z. Li, H. J. Peng, B. Li, D. P. Jiang, Uncertain barrier swaption pricing problem based on the fractional differential equation in Caputo sense, Soft Comput., 27 (2023), 11587–11602. https://doi.org/10.1007/s00500-023-08153-5 doi: 10.1007/s00500-023-08153-5
    [33] I. Sen, A. Aggarwal, S. Mian, S. Singh, P. Kumaraguru, A. Datta, Worth its weight in likes: towards detecting fake likes on Instagram, in WebSci '18: Proceedings of the 10th ACM Conference on Web Science, (2018), 205–209. https://doi.org/10.1145/3201064.3201105
    [34] National Radio and Television Talent Network. Available from: http://www.nrtatalent.cn/.
    [35] X. Z. Li, W. S. Li, M. Ghosh, Stability and bifurcation of an SIR epidemic model with nonlinear incidence and treatment, Appl. Math. Comput., 210 (2009), 141–150. https://doi.org/10.1016/j.amc.2008.12.085 doi: 10.1016/j.amc.2008.12.085
    [36] K. Bansal, T. Mathur, S. Agarwal, Fractional-order crime propagation model with non-linear transmission rate, Chaos, Solitons Fractals, 169 (2023), 113321. https://doi.org/10.1016/j.chaos.2023.113321 doi: 10.1016/j.chaos.2023.113321
    [37] H. Yuan, G. Liu, G. Q. Chen, On modeling the crowding and psychological effects in network-virus prevalence with nonlinear epidemic model, Appl. Math. Comput., 219 (2012), 2387–2397. https://doi.org/10.1016/j.amc.2012.07.059 doi: 10.1016/j.amc.2012.07.059
    [38] M. Naim, F. Lahmidi, A. Namir, A. Kouidere, Dynamics of an fractional SEIR epidemic model with infectivity in latent period and general nonlinear incidence rate, Chaos, Solitons Fractals, 152 (2021), 111456. https://doi.org/10.1016/j.chaos.2021.111456 doi: 10.1016/j.chaos.2021.111456
    [39] P. L. Li, R. Gao, C. J. Xu, Y. Li, A. Akgül, D. BAleanu, Dynamics exploration for a fractional-order delayed zooplankton–phytoplankton system, Chaos, Solitons Fractals, 166 (2023), 112975. https://doi.org/10.1016/j.chaos.2022.112975 doi: 10.1016/j.chaos.2022.112975
    [40] F. A. Rihan, C. Rajivganthi, Dynamics of fractional-order delay differential model of prey-predator system with Holling-type Ⅲ and infection among predators, Chaos Solitons Fractals, 141 (2020), 110365. https://doi.org/10.1016/j.chaos.2020.110365 doi: 10.1016/j.chaos.2020.110365
    [41] W. M. Liu, S. A. Levin, Y. Iwasa, Influence of nonlinear incidence rates upon the behavior of SIRS epidemiological models, J. Math. Biol., 23 (1986), 187–204. https://doi.org/10.1007/BF00276956 doi: 10.1007/BF00276956
    [42] S. G. Ruan, W. D. Wang, Dynamical behavior of an epidemic model with a nonlinear incidence rate, J. Differ. Equations, 188 (2003), 135–163. https://doi.org/10.1016/S0022-0396(02)00089-X doi: 10.1016/S0022-0396(02)00089-X
    [43] B. Wang, J. L. Ding, F. J. Wu, D. L. Zhu, Robust finite-time control of fractional-order nonlinear systems via frequency distributed model, Nonlinear Dyn., 85 (2016), 2133–2142. https://doi.org/10.1007/s11071-016-2819-9 doi: 10.1007/s11071-016-2819-9
    [44] NasimUllah, A. Ibeas, M. Shafi, M. Ishfaq, M. Ali, Vaccination controllers for SEIR epidemic models based on fractional order dynamics, Biomed. Signal Process. Control, 38 (2017), 136–142. https://doi.org/10.1016/j.bspc.2017.05.013 doi: 10.1016/j.bspc.2017.05.013
    [45] E. E. Mahmoud, P. Trikha, L. S. Jahanzaib, O. A. Almaghrabi, Dynamical analysis and chaos control of the fractional chaotic ecological model, Chaos, Solitons Fractals, 141 (2020), 110348. https://doi.org/10.1016/j.chaos.2020.110348 doi: 10.1016/j.chaos.2020.110348
    [46] C. Baishya, M. K. Naik, R. N. Premakumari, Design and implementation of a sliding mode controller and adaptive sliding mode controller for a novel fractional chaotic class of equations, Results Control Optim., 14 (2024), 100338. https://doi.org/10.1016/j.rico.2023.100338 doi: 10.1016/j.rico.2023.100338
    [47] S. Dadra, H. R. Momeni, Control of a fractional-order economical system via sliding mode, Physica A, 389 (2010), 2434–2442. https://doi.org/10.1016/j.physa.2010.02.025 doi: 10.1016/j.physa.2010.02.025
    [48] A. Boonyaprapasorn, S. Kuntanapreeda, P. S. Ngaimsunthorn, T. Kumsaen, T. Sethaput, Fractional order sliding mode controller for HBV epidemic system, Math. Modell. Eng. Probl., 9 (2022), 1622–1630. https://doi.org/10.18280/mmep.090623 doi: 10.18280/mmep.090623
    [49] M. W. Khan, M. Abid, A. Q. Khan, G. Mustafa, M. Ali, A. Khan, Sliding mode control for a fractional-order non-linear glucose-insulin system, IET Syst. Biol., 14 (2020), 223–229. https://doi.org/10.1049/iet-syb.2020.0030 doi: 10.1049/iet-syb.2020.0030
    [50] A. Pourhashemi, A. Ramezani, M. Siahi, Dynamic fractional-order sliding mode strategy to control and stabilize fractional-order nonlinear biological systems, IETE J. Res., 68 (2022), 2560–2570. https://doi.org/10.1080/03772063.2020.1719909 doi: 10.1080/03772063.2020.1719909
    [51] M. Borah, D. Das, A. Gayan, F. Fenton, E. Cherry, Control and anticontrol of chaos in fractional-order models of Diabetes, HIV, Dengue, Migraine, Parkinson's and Ebola virus diseases, Chaos, Solitons Fractals, 153 (2021), 111419. https://doi.org/10.1016/j.chaos.2021.111419 doi: 10.1016/j.chaos.2021.111419
    [52] I. Petráš, Fractional-Order Nonlinear Systems Modeling, Analysis and Simulation, Springer Science & Business Media, 2011.
    [53] D. Baleanu, K. Diethelm, E. Scalas, J. Trujillo, Fractional Calculus: Models and Numerical Methods, World Scientific, 2012.
    [54] S. Arora, T. Mathur, K. Tiwari, A fractional-order model to study the dynamics of the spread of crime, J. Comput. Appl. Math., 426 (2023), 115102. https://doi.org/10.1016/j.cam.2023.115102 doi: 10.1016/j.cam.2023.115102
    [55] H. M. Ali, I. G. Ameen, Stability and optimal control analysis for studying the transmission dynamics of a fractional-order MSV epidemic model, J. Comput. Appl. Math., 434 (2023), 115352. https://doi.org/10.1016/j.cam.2023.115352 doi: 10.1016/j.cam.2023.115352
    [56] C. Castillo-Chavez, B. J. Song, Dynamical models of tuberculosis and their applications, Math. Biosci. Eng., 1 (2004), 361–404. https://doi.org/10.3934/mbe.2004.1.361 doi: 10.3934/mbe.2004.1.361
    [57] C. H. Xu, Y. G. Yu, G. J. Ren, Y. Q. Sun, X. H. Si, Stability analysis and optimal control of a fractional-order generalized SEIR model for the COVID-19 pandemic, Appl. Math. Comput., 457 (2023), 128210. https://doi.org/10.1016/j.amc.2023.128210 doi: 10.1016/j.amc.2023.128210
    [58] L. Perko, Differential Equations and Dynamical Systems, Springer Science & Business Media, 2013.
    [59] T. Das, P. K. Srivastava, Effect of a novel generalized incidence rate function in SIR model: stability switches and bifurcations, Chaos, Solitons Fractals, 166 (2023), 112967. https://doi.org/10.1016/j.chaos.2022.112967 doi: 10.1016/j.chaos.2022.112967
    [60] L. X. Yuan, O. P. Agrawal, A numerical scheme for dynamic systems containing fractional derivatives, J. Vib. Acoust., 124 (2002), 321–324. https://doi.org/10.1115/1.1448322 doi: 10.1115/1.1448322
    [61] S. H. Rouhani, E. Abbaszadeh, M. A. Sepestanaki, S. Mobayen, C. L. Su, A. Nemati, Adaptive finite-time tracking control of fractional microgrids against time-delay attacks, IEEE Trans. Ind. Appl., 60 (2024), 2153–2164. https://doi.org/10.1109/TIA.2023.3312223 doi: 10.1109/TIA.2023.3312223
    [62] P. C. Lin, E. Abbaszadeh, S. Mobayen, S. H. Rouhani, C. L. Su, M. H. Zarif, et al., Soft variable structure fractional sliding-mode control for frequency regulation in renewable shipboard microgrids, Ocean Eng., 296 (2024), 117065. https://doi.org/10.1016/j.oceaneng.2024.117065 doi: 10.1016/j.oceaneng.2024.117065
    [63] M. Sadki, S. Harroudi, K. Allali, Fractional-order SIR epidemic model with treatment cure rate, Partial Differ. Equations Appl. Math., 8 (2023), 100593. https://doi.org/10.1016/j.padiff.2023.100593 doi: 10.1016/j.padiff.2023.100593
    [64] J. Danane, K. Allali, Z. Hammouch, Mathematical analysis of a fractional differential model of HBV infection with antibody immune response, Chaos, Solitons Fractals, 136 (2020), 109787. https://doi.org/10.1016/j.chaos.2020.109787 doi: 10.1016/j.chaos.2020.109787
  • Reader Comments
  • © 2024 the Author(s), licensee AIMS Press. This is an open access article distributed under the terms of the Creative Commons Attribution License (http://creativecommons.org/licenses/by/4.0)
通讯作者: 陈斌, bchen63@163.com
  • 1. 

    沈阳化工大学材料科学与工程学院 沈阳 110142

  1. 本站搜索
  2. 百度学术搜索
  3. 万方数据库搜索
  4. CNKI搜索

Metrics

Article views(2591) PDF downloads(71) Cited by(0)

Article outline

Figures and Tables

Figures(12)  /  Tables(4)

Other Articles By Authors

/

DownLoad:  Full-Size Img  PowerPoint
Return
Return

Catalog