Research article Topical Sections

Parameter identification and state of charge estimation for lithium-ion batteries based on trust region least squares

  • Published: 06 January 2026
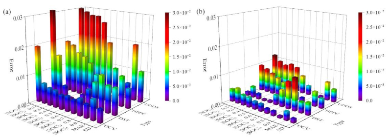
  • To address issues of inaccurate parameter identification and large state of charge (SOC) estimation error for lithium-ion batteries in electric vehicle (EV) applications, we proposed a parameter identification and corresponding SOC estimation method based on a trust region least squares (TRLS) algorithm. First, a second-order resistor-capacitor (RC) equivalent circuit model for the lithium-ion battery was established. To effectively describe the dynamic characteristics of the lithium-ion battery, discharge experiments were designed and conducted to collect the data of terminal voltage, current, and time. The initial parameters of this model were then obtained through a segmented identification based on the Levenberg-Marquardt (LM) algorithm. Subsequently, an improved parameter identification algorithm based on the TRLS was constructed. This algorithm conducted the iterative optimization of model parameters by searching for the best solution within the trust region, thereby achieving precise identification of model parameters. Finally, the SOC estimation was achieved using the TRLS-based optimization solution of model parameters in conjunction with the dual extended Kalman filter (DEKF) algorithm. With the proposed TRLS-based method, the Mean Absolute Error (MAE) values of the estimated SOC were 0.0031, 0.0066, 0.0052, and 0.0044 under the static open-circuit voltage (OCV), the dynamic Urban Dynamometer Driving Schedule (UDDS), Hybrid Pulse Power Characterization (HPPC), and Dynamic Stress Test (DST) conditions, respectively. The comparative results successfully verified the reliability and effectiveness of the proposed TRLS-based method, which demonstrated significant potential and advantages for battery management applications.

    Citation: Jun Wang, Dexing Wang, Hui Li, Chao Ma, Changhai Liu, Bin Wang. Parameter identification and state of charge estimation for lithium-ion batteries based on trust region least squares[J]. AIMS Energy, 2026, 14(1): 23-46. doi: 10.3934/energy.2026002

    Related Papers:

  • To address issues of inaccurate parameter identification and large state of charge (SOC) estimation error for lithium-ion batteries in electric vehicle (EV) applications, we proposed a parameter identification and corresponding SOC estimation method based on a trust region least squares (TRLS) algorithm. First, a second-order resistor-capacitor (RC) equivalent circuit model for the lithium-ion battery was established. To effectively describe the dynamic characteristics of the lithium-ion battery, discharge experiments were designed and conducted to collect the data of terminal voltage, current, and time. The initial parameters of this model were then obtained through a segmented identification based on the Levenberg-Marquardt (LM) algorithm. Subsequently, an improved parameter identification algorithm based on the TRLS was constructed. This algorithm conducted the iterative optimization of model parameters by searching for the best solution within the trust region, thereby achieving precise identification of model parameters. Finally, the SOC estimation was achieved using the TRLS-based optimization solution of model parameters in conjunction with the dual extended Kalman filter (DEKF) algorithm. With the proposed TRLS-based method, the Mean Absolute Error (MAE) values of the estimated SOC were 0.0031, 0.0066, 0.0052, and 0.0044 under the static open-circuit voltage (OCV), the dynamic Urban Dynamometer Driving Schedule (UDDS), Hybrid Pulse Power Characterization (HPPC), and Dynamic Stress Test (DST) conditions, respectively. The comparative results successfully verified the reliability and effectiveness of the proposed TRLS-based method, which demonstrated significant potential and advantages for battery management applications.



    加载中


    [1] He M, Hector LJ, Dai F, et al. (2024) Industry needs for practical lithium-metal battery designs in electric vehicles. Nat Energy 9: 1199–1205. https://doi.org/10.1038/s41560-024-01624-5 doi: 10.1038/s41560-024-01624-5
    [2] Miao K, Ma C, Zhou J (2025) Advances and prospects of low temperature Li-S batteries. Appl Energy 388: 125720. https://doi.org/10.1016/j.apenergy.2025.125720 doi: 10.1016/j.apenergy.2025.125720
    [3] Andersson M, Streb M, Prathimala V, et al. (2024) Electrochemical model-based aging-adaptive fast charging of automotive lithium-ion cells. Appl Energy 372: 123644. https://doi.org/10.1016/j.apenergy.2024.123644 doi: 10.1016/j.apenergy.2024.123644
    [4] Geslin A, Xu L, Ganapathi D, et al. (2025) Dynamic cycling enhances battery lifetime. Nat Energy 10: 172–180. https://doi.org/10.1038/s41560-024-01675-8 doi: 10.1038/s41560-024-01675-8
    [5] Kurucan M, Özbaltan M, Yetgin Z, et al. (2024) Applications of artificial neural network based battery management systems: A literature review. Renewable Sustainable Energy Rev 192: 114262. https://doi.org/10.1016/j.rser.2023.114262 doi: 10.1016/j.rser.2023.114262
    [6] Wu L, Lyu Z, Huang Z, et al. (2024) Physics-based battery SOC estimation methods: Recent advances and future perspectives. J Energy Chem 89: 27–40. https://doi.org/10.1016/j.jechem.2023.09.045 doi: 10.1016/j.jechem.2023.09.045
    [7] Degen F, Winter M, Bendig D, et al. (2023) Energy consumption of current and future production of lithium-ion and post lithium-ion battery cells. Nat Energy 8: 1284–1295. https://doi.org/10.1038/s41560-023-01355-z doi: 10.1038/s41560-023-01355-z
    [8] Kong C, Zhu G, Wang J, et al. (2025) A simplified electrochemical lithium-ion batteries model based on-informed LSTM_Res network. Int J Heat Mass Transfer, 246. https://doi.org/10.1016/j.ijheatmasstransfer.2025.127024 doi: 10.1016/j.ijheatmasstransfer.2025.127024
    [9] Fornaro P, Puleston P, Battaiotto P (2023) State-of-Charge and State-of-Health variable-gain estimation based on tracking sliding mode differentiators for an electric vehicle Lithium-ion battery. J Energy Storage, 65. https://doi.org/10.1016/j.est.2023.107298 doi: 10.1016/j.est.2023.107298
    [10] Li J, Bai G, Yan J, et al. (2024) On-line parameter identification and SOC estimation of nonlinear model of lithium-ion battery based on Wiener structure. J Energy Storage, 92. https://doi.org/10.1016/j.est.2024.112094 doi: 10.1016/j.est.2024.112094
    [11] Miranda D, Gonçalves R, Wuttke S, et al. (2023) Overview on theoretical simulations of lithium-ion batteries and their application to battery separators. Adv Energy Mater, 13: 2203874. https://doi.org/10.1002/aenm.202203874 doi: 10.1002/aenm.202203874
    [12] Tang A, Huang Y, Xu Y, et al. (2024) Data-physics-driven estimation of battery state of charge and capacity. Energy, 294. https://doi.org/10.1016/j.energy.2024.130776 doi: 10.1016/j.energy.2024.130776
    [13] Chen M, Xie X, He C, et al. (2025) An integrated framework for ARX model identification and its application to lithium-ion battery. IEEE Trans Instrum Meas 74: 1-14. https://doi.org/10.1109/TIM.2025.3545698 doi: 10.1109/TIM.2025.3545698
    [14] Wang J, Du J, Tan B, et al. (2023) Establishment of a lithium-ion battery model considering environmental temperature for battery state of charge estimation. J Electrochem Soc 170: 120507. https://doi.org/10.1149/1945-7111/ad11af doi: 10.1149/1945-7111/ad11af
    [15] Li H, Fu L, Long X, et al. (2024) A hybrid deep learning model for lithium-ion batteries state of charge estimation based on quantile regression and attention. Energy, 294. https://doi.org/10.1016/j.energy.2024.130834 doi: 10.1016/j.energy.2024.130834
    [16] Wang S, Wu Y, Zhou H, et al. (2025) Improved particle swarm optimization-adaptive dual extended Kalman filtering for accurate battery state of charge and state of energy joint estimation with efficient core factor feedback correction. Energy 322: 135686. https://doi.org/10.1016/j.energy.2025.135686 doi: 10.1016/j.energy.2025.135686
    [17] Jiang Z, Zhang Y, Gao R (2025) An improved electrochemical-thermal coupling model for state-of-charge estimation of lithium-ion battery. Energy 333: 137486. https://doi.org/10.1016/j.energy.2025.137486 doi: 10.1016/j.energy.2025.137486
    [18] Li Z, Zhang X, Gao W (2024) State of health estimation of lithium-ion battery during fast charging process based on BiLSTM-Transformer. Energy 311: 133418. https://doi.org/10.1016/j.energy.2024.133418 doi: 10.1016/j.energy.2024.133418
    [19] Li F, Zuo W, Zhou K, et al. (2024) State-of-charge estimation of lithium-ion battery based on second order resistor-capacitance circuit-PSO-TCN model. Energy 289: 130025. https://doi.org/10.1016/j.energy.2023.130025 doi: 10.1016/j.energy.2023.130025
    [20] Yuan B, Zhang B, Yuan X, et al. (2024) Study on the estimation of the state of charge of lithium-ion battery. Electrochim Acta 491: 144297. https://doi.org/10.1016/j.electacta.2024.144297 doi: 10.1016/j.electacta.2024.144297
    [21] Li N, Zhang X, Wang R, et al. (2025) SR-CKF algorithm-based state-of-charge estimation of lithium-ion batteries for energy storage over a wide temperature range. J Energy Storage, 125: 116849. https://doi.org/10.1016/j.est.2025.116849 doi: 10.1016/j.est.2025.116849
    [22] Wang D, Yang Y, Gu T (2023) A hierarchical adaptive extended Kalman filter algorithm for lithium-ion battery state of charge estimation. J Energy Storage 62: 106831. https://doi.org/10.1016/j.est.2023.106831 doi: 10.1016/j.est.2023.106831
    [23] Ding F (2023) Least squares parameter estimation and multi-innovation least squares methods for linear fitting problems from noisy data. J Comput Appl Math 426: 115107. https://doi.org/10.1016/j.cam.2023.115107 doi: 10.1016/j.cam.2023.115107
    [24] Huang C (2023) An online condition-based parameter identification switching algorithm for lithium-ion batteries in electric vehicles. IEEE Trans Veh Technol 72: 1701–1709. https://doi.org/10.1109/TVT.2022.3210688 doi: 10.1109/TVT.2022.3210688
    [25] Hou J, Liu J, Chen F, et al. (2023) Robust lithium-ion state-of-charge and battery parameters joint estimation based on an enhanced adaptive unscented Kalman filter. Energy 271: 126998. https://doi.org/10.1016/j.energy.2023.126998 doi: 10.1016/j.energy.2023.126998
    [26] Wang J, Song J, Li Y, et al. (2024) State of charge estimation for lithium-ion battery based on improved online parameters identification and adaptive square root unscented Kalman filter. J Energy Storage 77: 109977. https://doi.org/10.1016/j.est.2023.109977 doi: 10.1016/j.est.2023.109977
    [27] Yang J, Fang W, Chen J, et al. (2022) A lithium-ion battery remaining useful life prediction method based on unscented particle filter and optimal combination strategy. J Energy Storage 55: 105648. https://doi.org/10.1016/j.est.2022.105648 doi: 10.1016/j.est.2022.105648
    [28] Jiang Z, Qin S, Wei Y, et al. (2021) An immune genetic extended kalman particle filter approach on state of charge estimation for lithium-ion battery. Energy 230: 120805. https://doi.org/10.1016/j.energy.2021.120805 doi: 10.1016/j.energy.2021.120805
    [29] Ananda S, Lakshminarasamma N, Radhakrishna, et al. (2022) Lithium-ion cell sorting and cell performance modeling for spacecraft battery. IEEE Trans Ind Appl 58: 6536–6545. https://doi.org/10.1109/TIA.2022.3179455 doi: 10.1109/TIA.2022.3179455
    [30] Li N, He F, Ma W, et al. (2022) An indirect state-of-health estimation method based on improved genetic and back propagation for online lithium-ion battery used in electric vehicles. IEEE Trans Veh Technol 71: 12682–12690. https://doi.org/10.1109/TVT.2022.3196225 doi: 10.1109/TVT.2022.3196225
    [31] Zhang F, Xing Z, Wu M (2023) State of health estimation for Li-ion battery using characteristic voltage intervals and genetic algorithm optimized back propagation neural network. J Energy Storage 57: 106277. https://doi.org/10.1016/j.est.2022.106277 doi: 10.1016/j.est.2022.106277
    [32] Liu Y, Zhao W, Yin G (2024) Forgetting-Factor regrets for online convex optimization. IEEE Trans Autom Control 69: 5034–5048. https://doi.org/10.1109/TAC.2023.3340120 doi: 10.1109/TAC.2023.3340120
    [33] Cao R, Zhang Z, Shi R, et al. (2025) Model-constrained deep learning for online fault diagnosis in Li-ion batteries over stochastic conditions. Nat Commun 16: 1651. https://doi.org/10.1038/s41467-025-56832-8 doi: 10.1038/s41467-025-56832-8
    [34] Liu Z, He H, Xie J, et al. (2022) Self-discharge prediction method for lithium-ion batteries based on improved support vector machine. J Energy Storage 55: 105571. https://doi.org/10.1016/j.est.2022.105571 doi: 10.1016/j.est.2022.105571
    [35] Ren X, Liu S, Yu X, et al. (2021) A method for state-of-charge estimation of lithium-ion batteries based on PSO-LSTM. Energy 234: 121236. https://doi.org/10.1016/j.energy.2021.121236 doi: 10.1016/j.energy.2021.121236
    [36] Sharma S, Garg A, Panigrahi B (2024) Predicting state-of-charge using gradient-boosted SVR ensemble technique for lithium ion battery used in EVs. IEEE Trans Transp Electrification 10: 4441–4454. https://doi.org/10.1109/TTE.2023.3310159 doi: 10.1109/TTE.2023.3310159
    [37] Shi J, Rivera A, Wu D (2022) Battery health management using physics-informed machine learning: Online degradation modeling and remaining useful life prediction. Mech Syst Signal Process 179: 109347. https://doi.org/10.1016/j.ymssp.2022.109347 doi: 10.1016/j.ymssp.2022.109347
    [38] Liu M, Zhou X, Yang L, et al. (2023) A novel Kalman-filter-based battery internal temperature estimation method based on an enhanced electro-thermal coupling model. J Energy Storage 71: 108241. https://doi.org/10.1016/j.est.2023.108241 doi: 10.1016/j.est.2023.108241
    [39] Wang C, Yang M, Wang X, et al. (2025) A review of battery SOC estimation based on equivalent circuit models. J Energy Storage 110: 115346. https://doi.org/10.1016/j.est.2025.115346 doi: 10.1016/j.est.2025.115346
    [40] Su S, Li W, Mou J, et al. (2023) A hybrid battery equivalent circuit model, deep learning, and transfer learning for battery state monitoring. IEEE Trans Transp Electrification 9: 1113–1127. https://doi.org/10.1109/TTE.2022.3204843 doi: 10.1109/TTE.2022.3204843
    [41] Zhu G, Hu M, Qiu C, et al. (2025) Integer variable-order equivalent circuit model and switching strategy for lithium-ion power batteries for vehicles based on information criterion under dynamic and static working conditions. Energy 322: 135694. https://doi.org/10.1016/j.energy.2025.135694 doi: 10.1016/j.energy.2025.135694
    [42] Hong Z, Wang Y, Jin Z (2025) Diagnosis of battery external short circuits based on an improved second-order RC fault model and recursive least squares identification method. Energy 319: 134880. https://doi.org/10.1016/j.energy.2025.134880 doi: 10.1016/j.energy.2025.134880
    [43] Xiong R, Pan Y, Shen W, et al. (2020) Lithium-ion battery aging mechanisms and diagnosis method for automotive applications: Recent advances and perspectives. Renewable Sustainable Energy Rev 131: 110048. https://doi.org/10.1016/j.rser.2020.110048 doi: 10.1016/j.rser.2020.110048
    [44] Monirul I, Qiu L, Ruby R (2024) Accurate SOC estimation of ternary lithium-ion batteries by HPPC test-based extended Kalman filter. J Energy Storage 92: 112304. https://doi.org/10.1016/j.est.2024.112304 doi: 10.1016/j.est.2024.112304
    [45] Yan Y, Wang B, Wang C, et al. (2024) Adaptive maximum available energy evaluation for lithium battery in hydrogen-electric hybrid unmanned aerial vehicle applications considering dynamic ambient temperature and aging level. Energy Convers Manage 314: 118685. https://doi.org/10.1016/j.enconman.2024.118685 doi: 10.1016/j.enconman.2024.118685
    [46] Wei L, Lin T, Wang Y (2025) CCEM: Cell-to-Cell Extension Model for low-cost joint estimation of SOC and temperature in supercapacitor series modules. J Energy Storage 119: 116316. https://doi.org/10.1016/j.est.2025.116316 doi: 10.1016/j.est.2025.116316
    [47] Paul T, Wang S, Zhang H, et al. (2023) An ASTSEKF optimizer with nonlinear condition adaptability for accurate SOC estimation of lithium-ion batteries. J Energy Storage 70: 108098. https://doi.org/10.1016/j.est.2023.108098 doi: 10.1016/j.est.2023.108098
    [48] Fan Y, Zhang Z, Yang G, et al. (2025) A comparative study of modeling and parameter identification for lithium-ion batteries in energy storage systems. Measurement 243: 116263. https://doi.org/10.1016/j.measurement.2024.116263 doi: 10.1016/j.measurement.2024.116263
    [49] Yang B, Wang D, Sun X, et al. (2023) Offline order recognition for state estimation of Lithium-ion battery using fractional order model. Appl Energy 341: 120977. https://doi.org/10.1016/j.apenergy.2023.120977 doi: 10.1016/j.apenergy.2023.120977
    [50] Duan Z, Hong X, Li H, et al. (2024) Simulating the uneven temperature distributions within large-sized lithium-ion batteries using a thermal resistance network model. J Energy Storage 101: 113732. https://doi.org/10.1016/j.est.2024.113732 doi: 10.1016/j.est.2024.113732
    [51] Peng J, Meng J, Wu J, et al. (2023) A comprehensive overview and comparison of parameter benchmark methods for lithium-ion battery application. J Energy Storage 71: 108197. https://doi.org/10.1016/j.est.2023.108197 doi: 10.1016/j.est.2023.108197
    [52] Wang Y, Cheng Y, Xiong Y, et al. (2022) Estimation of battery open-circuit voltage and state of charge based on dynamic matrix control-extended Kalman filter algorithm. J Energy Storage 52: 104860. https://doi.org/10.1016/j.est.2022.104860 doi: 10.1016/j.est.2022.104860
    [53] Wu J, Lei D, Liu Z, et al. (2024) A fusion algorithm of multidimensional element space mapping architecture for SOC estimation of lithium-ion batteries under dynamic operating conditions. Energy 311: 133467. https://doi.org/10.1016/j.energy.2024.133467 doi: 10.1016/j.energy.2024.133467
    [54] Zhou Z, Duan B, Li C, et al. (2025) Life-cycle state-of-charge estimation for lithium-ion battery considering coulomb efficiency and capacity decay. IEEE Trans Transp Electrification 11: 6335–6343. https://doi.org/10.1109/TTE.2024.3506778 doi: 10.1109/TTE.2024.3506778
    [55] Tang A, Huang Y, Liu S, et al. (2023) A novel lithium-ion battery state of charge estimation method based on the fusion of neural network and equivalent circuit models. Appl Energy 348: 121578. https://doi.org/10.1016/j.apenergy.2023.121578 doi: 10.1016/j.apenergy.2023.121578
    [56] Xu M, Zhang E, Wang S, et al. (2024) Dynamic ultrasonic response modeling and accurate state of charge estimation for lithium ion batteries under various load profiles and temperatures. Appl Energy 355: 122210. https://doi.org/10.1016/j.apenergy.2023.122210 doi: 10.1016/j.apenergy.2023.122210
    [57] Zhang Y, Lai X, Zhang X, et al. (2025) Fusion of stress and electrical signals for high-accuracy joint estimation of SOC and SOH in lithium-ion batteries. Energy 331: 137063. https://doi.org/10.1016/j.energy.2025.137063 doi: 10.1016/j.energy.2025.137063
  • Reader Comments
  • © 2026 the Author(s), licensee AIMS Press. This is an open access article distributed under the terms of the Creative Commons Attribution License (http://creativecommons.org/licenses/by/4.0)
通讯作者: 陈斌, bchen63@163.com
  • 1. 

    沈阳化工大学材料科学与工程学院 沈阳 110142

  1. 本站搜索
  2. 百度学术搜索
  3. 万方数据库搜索
  4. CNKI搜索

Metrics

Article views(2091) PDF downloads(136) Cited by(0)

Article outline

Figures and Tables

Figures(11)  /  Tables(5)

Other Articles By Authors

/

DownLoad:  Full-Size Img  PowerPoint
Return
Return

Catalog