Research article

Improved modeling of real photovoltaic panel efficiency using a fractional-order error function family

  • Published: 18 December 2025
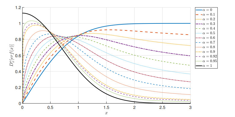
  • In this study, we introduced a unified family of fractional-order derivatives of the error function, bridging classical error function ($ \alpha = 0 $) and Gaussian ($ \alpha = 1 $) through Maclaurin expansion and Lacroix's fractional calculus. The adaptive model was validated against cubic spline and Gaussian baselines using six days of real photovoltaic measurements from a tropical environment. Moving-window optimization achieved competitive accuracy (Root Mean Squared Error (RMSE): 0.0083–0.0104; Mean Absolute Error (MAE) 0.0068–0.0086) while preserving physical interpretability via the fractional order $ \alpha $. Comparative analysis demonstrated significant improvement over Gaussian fitting, with an average 14.17% reduction in RMSE across all test days. The fractional approach also delivered more consistent daily performance and better captured asymmetric transitions, despite spline's occasional marginal RMSE advantages. Graphical analysis revealed persistent diurnal $ \alpha $ patterns: from 0.50 at sunrise, peaking at 0.90–0.91 near noon, declining to 0.37 afternoon, with sunset rebound. Our results confirmed the model effectively captures photovoltaic memory effects while offering superior interpretability and dynamic adaptation versus traditional methods. The framework enables accurate energy forecasting and condition-based maintenance, with future work focusing on real-time $ \alpha $ tuning and machine learning integration.

    Citation: Leonardo Martínez–Jiménez, Jorge Manuel Barrios–Sánchez, Roberto Baeza–Serrato. Improved modeling of real photovoltaic panel efficiency using a fractional-order error function family[J]. AIMS Energy, 2025, 13(6): 1583-1608. doi: 10.3934/energy.2025059

    Related Papers:

  • In this study, we introduced a unified family of fractional-order derivatives of the error function, bridging classical error function ($ \alpha = 0 $) and Gaussian ($ \alpha = 1 $) through Maclaurin expansion and Lacroix's fractional calculus. The adaptive model was validated against cubic spline and Gaussian baselines using six days of real photovoltaic measurements from a tropical environment. Moving-window optimization achieved competitive accuracy (Root Mean Squared Error (RMSE): 0.0083–0.0104; Mean Absolute Error (MAE) 0.0068–0.0086) while preserving physical interpretability via the fractional order $ \alpha $. Comparative analysis demonstrated significant improvement over Gaussian fitting, with an average 14.17% reduction in RMSE across all test days. The fractional approach also delivered more consistent daily performance and better captured asymmetric transitions, despite spline's occasional marginal RMSE advantages. Graphical analysis revealed persistent diurnal $ \alpha $ patterns: from 0.50 at sunrise, peaking at 0.90–0.91 near noon, declining to 0.37 afternoon, with sunset rebound. Our results confirmed the model effectively captures photovoltaic memory effects while offering superior interpretability and dynamic adaptation versus traditional methods. The framework enables accurate energy forecasting and condition-based maintenance, with future work focusing on real-time $ \alpha $ tuning and machine learning integration.



    加载中


    [1] Sodhi M, Banaszek L, Magee C, et al. (2022) Economic lifetimes of solar panels. Proc CIRP 105: 782–787. https://doi.org/10.1016/j.procir.2022.02.130 doi: 10.1016/j.procir.2022.02.130
    [2] Ebhota WS, Tabakov PY (2023) Influence of photovoltaic cell technologies and elevated temperature on photovoltaic system performance. Ain Shams Eng J 14: 101984. https://doi.org/10.1016/j.asej.2022.101984 doi: 10.1016/j.asej.2022.101984
    [3] Zubeer SA, Ali OM (2022) Experimental and numerical study of low concentration and water-cooling effect on PV module performance. Case Stud Therm Eng 34: 102007. https://doi.org/10.1016/j.csite.2022.102007 doi: 10.1016/j.csite.2022.102007
    [4] Yakubu S, Samikannu R, Gawusu S, et al. (2025) A holistic review of the effects of dust buildup on solar photovoltaic panel efficiency. Sol Compass 13: 100101. https://doi.org/10.1016/j.solcom.2024.100101 doi: 10.1016/j.solcom.2024.100101
    [5] Fan S, Wang Y, Cao S, et al. (2021) A novel method for analyzing the effect of dust accumulation on energy efficiency loss in photovoltaic (PV) system. Energy 234: 121112. https://doi.org/10.1016/j.energy.2021.121112 doi: 10.1016/j.energy.2021.121112
    [6] Shenouda R, Abd-Elhady MS, Kandil HA (2022) A review of dust accumulation on PV panels in the MENA and the Far East regions. J Eng Appl Sci 69: 8. https://doi.org/10.1186/s44147-021-00052-6 doi: 10.1186/s44147-021-00052-6
    [7] Govindasamy D, Kumar A (2023) Experimental analysis of solar panel efficiency improvement with composite phase change materials. Renewable Energy 212: 175–184. https://doi.org/10.1016/j.renene.2023.05.028 doi: 10.1016/j.renene.2023.05.028
    [8] Sharaf M, Yousef MS, Huzayyin AS (2022) Review of cooling techniques used to enhance the efficiency of photovoltaic power systems. Environ Sci Pollut Res 29: 26131–26159. https://doi.org/10.1007/s11356-022-18719-9 doi: 10.1007/s11356-022-18719-9
    [9] Stalin PMJ, Prasad KS, Kumar KP, et al. (2022) Performance improvement of solar PV through the thermal management using a nano-PCM. Mater Today Proc 50: 1553–1558. https://doi.org/10.1016/j.matpr.2021.09.111 doi: 10.1016/j.matpr.2021.09.111
    [10] Ait Mansour A, Tilioua A, Touzani M (2024) Bi-LSTM, GRU and 1D-CNN models for short-term photovoltaic panel efficiency forecasting case amorphous silicon grid-connected PV system. Results Eng 21: 101886. https://doi.org/10.1016/j.rineng.2024.101886 doi: 10.1016/j.rineng.2024.101886
    [11] Dhanraj JA, Mostafaeipour A, Velmurugan K, et al. (2021) An effective evaluation on fault detection in solar panels. Energies 14: 7770. https://doi.org/10.3390/en14227770 doi: 10.3390/en14227770
    [12] Karthick A, Shankar R, Dharmaraj G (2024) Energy forecasting of the building integrated photovoltaic system based on deep learning dragonfly-firefly algorithm. Energy 308: 132926. https://doi.org/10.1016/j.energy.2024.132926 doi: 10.1016/j.energy.2024.132926
    [13] Howard RM (2022) Arbitrarily accurate analytical approximations for the error function. Math Comput Appl 27: 14. https://doi.org/10.3390/mca27010014 doi: 10.3390/mca27010014
    [14] Lee J, Woodring D (1972) Considerations of nonlinear effects in phase-modulation systems. IEEE Trans Commun 20: 1063–1073. https://doi.org/10.1109/TCOM.1972.1091291 doi: 10.1109/TCOM.1972.1091291
    [15] Klein SA (2001) Measuring, estimating, and understanding the psychometric function: A commentary. Percept Psychophys 63: 1421–1455. https://doi.org/10.3758/BF03194552 doi: 10.3758/BF03194552
    [16] Rinderknecht MD, Lambercy O, Gassert R (2018) Performance metrics for an application driven selection and optimization of psychophysical sampling procedures. PLoS ONE 13: e0207217. https://doi.org/10.1371/journal.pone.0207217 doi: 10.1371/journal.pone.0207217
    [17] Oldham KB (2010) Fractional differential equations in electrochemistry. Adv Eng Software 41: 9–12. https://doi.org/10.1016/j.advengsoft.2008.12.012 doi: 10.1016/j.advengsoft.2008.12.012
    [18] Miller KS, Ross B (1993) An introduction to the fractional calculus and fractional differential equations. John Wiley, New York. Available from: https://api.semanticscholar.org/CorpusID: 117250850.
    [19] Podlubny T (1999) Fractional differential equations. Academic Press, New York. https://doi.org/10.1016/s0076-5392(99)x8001-5
    [20] Baleanu D, Günvenc ZB, Tenreiro Machado JA, et al. (2010) New trends in nanotechnology and fractional calculus aplications, Springer, Dordrecht. https://doi.org/10.1007/978-90-481-3293-5
    [21] Golmankhaneh AK, Lambert L (2012) Investigations in dynamics: With focus on fractional dynamics, Lap Lambert Academic Publishing.
    [22] Baleanu D, Diethelm k, Scalas E, et al. (2012) Fractional calculus models and numerical methods. World Scientific Publishing Company, Singapore. https://doi.org/10.1142/8180
    [23] Uchaikin V (2013) Fractional derivatives for physicists and engineers. Springer, Berlin. https://doi.org/10.1007/978-3-642-33911-0
    [24] Wyss W (1986) Fractional diffusion equation. J Math Phys 27: 2782–2785. https://doi.org/10.1063/1.527251 doi: 10.1063/1.527251
    [25] Westerlund S (1994) Causality. Rep. No. 940426, University of Kalmar.
    [26] Caputo M, Mainardi F (1971) A new dissipation model based on memory mechanism. Pure Appl Geophys 91: 134–147. https://doi.org/10.1007/BF00879562 doi: 10.1007/BF00879562
    [27] Caputo M, Fabrizio M (2015) A new definition of fractional derivative without singular kernel. Progr Fract Differ Appl 1: 73–85. Avalanche from: https://www.naturalspublishing.com/files/published/0gb83k287mo759.pdf.
    [28] Atangana A, Baleanu D (2016) New fractional derivatives with non-local and non-singular kernel, theory and application to heat transfer model. Therm Sci 20: 763–769. https://doi.org/10.2298/TSCI160111018A doi: 10.2298/TSCI160111018A
    [29] Khalil R, Al Horani M, Yousef A, et al. (2014) A new definition of fractional derivative. J Comp Appl Math 264: 65–70. https://doi.org/10.1016/j.cam.2014.01.002 doi: 10.1016/j.cam.2014.01.002
    [30] Scherer R, Kalla SL, Tang Y, et al. (2011) The Grünwald–Letnikov method for fractional differential equations. Comput Math Appl 62: 902–917. https://doi.org/10.1016/j.camwa.2011.03.054 doi: 10.1016/j.camwa.2011.03.054
    [31] Abel NH (2013) Oeuvres complètes de Niels Henrik Abel: Nouvelle édition. Cambridge University Press, Cambridge. https://doi.org/10.1017/CBO9781139245814
    [32] Liu X, Pu Y (2023) Image edge detection based on fractional-order ant colony algorithm. Fractal Fract 7: 420. https://doi.org/10.3390/fractalfract7060420 doi: 10.3390/fractalfract7060420
    [33] Tenekeci ME, Abdulazeez ST, Karadağ K, et al. (2025) Edge detection using the Prewitt operator with fractional order telegraph partial differential equations (PreFOTPDE). Multimed Tools Appl 84: 12329–12345. Available from: https://link.springer.com/article/10.1007/s11042-024-19440-0.
    [34] Mustafa MA, Murad MAS (2025) Optical solutions of the nonlinear conformable Schrödinger equation in weakly non-local media using two distinct analytic methods. Nonlinear Dyn 113: 1005–1021. Available from: https://link.springer.com/article/10.1007/s11071-025-11215-y.
    [35] Barrios-Sánchez JM, Baeza-Serrato R, Martínez-Jiménez L (2025) Analysis of installed photovoltaic capacity in Mexico: A systems dynamics and conformable fractional calculus approach. AIMS Energy 13: 402–427. https://doi.org/10.3934/energy.2025015 doi: 10.3934/energy.2025015
    [36] Barrios-Sánchez J.M, Baeza-Serrato R, Martínez-Jiménez L (2024) Fractional calculus to analyze efficiency behavior in a balancing loop in a system dynamics environment. Fractal Fract 8: 212. https://doi.org/10.3390/fractalfract8040212 doi: 10.3390/fractalfract8040212
    [37] Guía M, Rosales JJ, Martínez L, et al. (2016) Fractional drude model of electrons in a metal. Rev Mex Fis 62: 155–159. Available from: https://www.researchgate.net/publication/294580478.
    [38] Morales-Delgado VF, Gómez-Aguilar JF, Taneco-Hernández MA, et al. (2025) Linear electrical circuits described by a novel constant Pproportional caputo hybrid operator. Int J Numer Model 38: e70023. https://doi.org/10.1002/jnm.70023 doi: 10.1002/jnm.70023
    [39] Ben Makhlouf A (2022) On the stability of caputo fractional-order systems: A survey. Naifar O, Ben Makhlouf A (eds). Fractional Order Systems—Control Theory and Applications. Studies in Systems, Decision and Control. Springer, Cham, 364: 1–20. https://doi.org/10.1007/978-3-030-71446-8_1
    [40] Chaudhary NI, Khan ZA, Kiani AK, et al. (2022) Design of auxiliary model based normalized fractional gradient algorithm for nonlinear output-error systems. Chaos Solitons Fractals 163: 112611. https://doi.org/10.1016/j.chaos.2022.112611 doi: 10.1016/j.chaos.2022.112611
    [41] Chaudhary NI, Raja MAZ, Khan ZA, et al. (2022) Design of fractional hierarchical gradient descent algorithm for parameter estimation of nonlinear control autoregressive systems. Chaos Solitons Fractals 157: 111913. https://doi.org/10.1016/j.chaos.2022.111913 doi: 10.1016/j.chaos.2022.111913
    [42] Mukhtar R, Chang CY, Raja MAZ, et al. (2014) Novel nonlinear fractional order Parkinson's disease model for brain electrical activity rhythms: intelligent adaptive Bayesian networks. Chaos Solitons Fractals 180: 114557. https://doi.org/10.1016/j.chaos.2024.114557 doi: 10.1016/j.chaos.2024.114557
    [43] Mukhtar R, Chang CY, Raja MAZ, et al. (2025) Design of fractional innate immune response to nonlinear Parkinson's disease model with therapeutic intervention: Intelligent machine predictive exogenous networks. Chaos Solitons Fractals 191: 115947. https://doi.org/10.1016/j.chaos.2025.115947 doi: 10.1016/j.chaos.2025.115947
    [44] Sánchez-Muñoz JM (2011) Historias de Matemáticas: Génesis y desarrollo del Cálculo Fraccional. Rev Invest Pens Mat 1: 1–20. Available from: https://dialnet.unirioja.es/servlet/articulo?codigo = 3744288.
    [45] Ross B (1977) The development of fractional calculus 1695–1900. Hist Math 4: 75–89. https://doi.org/10.1016/0315-0860(77)90039-8 doi: 10.1016/0315-0860(77)90039-8
    [46] Paris RB, Kaminski D (2001) Asymptotics and Mellin–Barnes integrals. Cambridge University Press, Cambridge. https://doi.org/10.1017/CBO9780511546662
    [47] Kilbas, AA, Marzan SA, Titioura AA (2003) Hadamard-type fractional integrals and derivatives and differential equations of fractional order. Doklady Math 67: 263–267. Available from: https://www.researchgate.net/publication/265993676.
    [48] Abramowitz M, Stegun IA, eds. (2012) Handbook of mathematical functions. Dover Publications, New York. Available from: https://personal.math.ubc.ca/cbm/aands/frameindex.htm.
    [49] Ullah N, Nisar F, Alahmadi AA (2020) Closed loop control of photo voltaic emulator using fractional calculus. IEEE Access 8: 28880–28887. https://doi.org/10.1109/ACCESS.2020.2971676 doi: 10.1109/ACCESS.2020.2971676
    [50] Abdelfattah WM, Ragb O, Salah M, et al. (2024) Fractional partial differential equation modeling for solar cell charge dynamics. Fractal Fract 8: 729. https://doi.org/10.3390/fractalfract8120729 doi: 10.3390/fractalfract8120729
    [51] Khan ZA, Khan TA, Waqar M, et al. (2025) Nonlinear marine predator algorithm for robust identification of fractional hammerstein nonlinear model under impulsive noise with application to heat exchanger system. Commun Nonlinear Sci Numerical Simul 146: 108809. https://doi.org/10.1016/j.cnsns.2025.108809 doi: 10.1016/j.cnsns.2025.108809
  • Reader Comments
  • © 2025 the Author(s), licensee AIMS Press. This is an open access article distributed under the terms of the Creative Commons Attribution License (http://creativecommons.org/licenses/by/4.0)
通讯作者: 陈斌, bchen63@163.com
  • 1. 

    沈阳化工大学材料科学与工程学院 沈阳 110142

  1. 本站搜索
  2. 百度学术搜索
  3. 万方数据库搜索
  4. CNKI搜索

Metrics

Article views(1025) PDF downloads(51) Cited by(0)

Article outline

Figures and Tables

Figures(15)  /  Tables(2)

/

DownLoad:  Full-Size Img  PowerPoint
Return
Return

Catalog