Research article Topical Sections

Performance improvement of lead-free CsSnCl3-based perovskite solar cell using multiple ETLs: A SCAPS-1D simulation study

  • Published: 07 January 2026
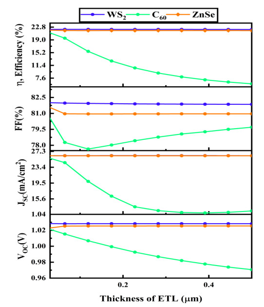
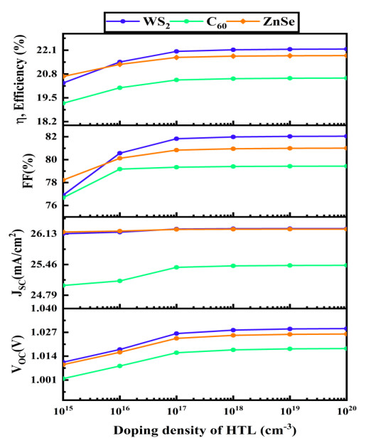
  • Cesium tin chloride (CsSnCl3) is a potential and ecologically safe material for lead-free perovskite solar cells (PSCs). CsSnCl3 is a strong candidate for sustainable energy applications due to its affordability, high energy efficiency, and excellent thermal stability. We simulated various CsSnCl3 device structures with different electron transport layers (ETLs)—viz. WS2, C60, and ZnSe—in combination with CBTS as the hole-transport layer (HTL), using the one-dimensional solar cell capacitance simulator (SCAPS-1D). We quantitatively evaluated the influence of the absorber layer thickness, doping concentration, defect density, and characteristics of the ETL and HTL on relevant photovoltaic (PV) parameters, such as power conversion efficiency (PCE) (η), short-circuit current density (JSC), open-circuit voltage (VOC), and fill factor (FF). The findings revealed that the choice of ETL has a great impact on the performance of the device. WS2, C60, and ZnSe led to the highest PCEs at 22.09%, 19.94%, and 21.80%. Then, the effect of other factors was investigated, including capacitance-voltage behavior, interface defect, Mott–Schottky behavior, current density-voltage (J-V), quantum efficiency (QE), and recombination rates. The results were compared with the earlier research conducted on CsSnCl3-based PSCs to assess enhancements and long-term sustainability. To summarize, this paper proposes the most effective and high-performance device configurations in lead-free CsSnCl3-based PSCs, as part of developing sustainable and cost-effective PV technologies.

    Citation: Rony Tota, Tarikul Islam Tasin, Md. Morsalin, Ragab A. Sayed, Sheeraz Iqbal, Shak Mahmudul Hasan, Md. Zamil Sultan, Md. Muien Ahmed Arnob. Performance improvement of lead-free CsSnCl3-based perovskite solar cell using multiple ETLs: A SCAPS-1D simulation study[J]. Clean Technologies and Recycling, 2026, 6(1): 33-55. doi: 10.3934/ctr.2026002

    Related Papers:

  • Cesium tin chloride (CsSnCl3) is a potential and ecologically safe material for lead-free perovskite solar cells (PSCs). CsSnCl3 is a strong candidate for sustainable energy applications due to its affordability, high energy efficiency, and excellent thermal stability. We simulated various CsSnCl3 device structures with different electron transport layers (ETLs)—viz. WS2, C60, and ZnSe—in combination with CBTS as the hole-transport layer (HTL), using the one-dimensional solar cell capacitance simulator (SCAPS-1D). We quantitatively evaluated the influence of the absorber layer thickness, doping concentration, defect density, and characteristics of the ETL and HTL on relevant photovoltaic (PV) parameters, such as power conversion efficiency (PCE) (η), short-circuit current density (JSC), open-circuit voltage (VOC), and fill factor (FF). The findings revealed that the choice of ETL has a great impact on the performance of the device. WS2, C60, and ZnSe led to the highest PCEs at 22.09%, 19.94%, and 21.80%. Then, the effect of other factors was investigated, including capacitance-voltage behavior, interface defect, Mott–Schottky behavior, current density-voltage (J-V), quantum efficiency (QE), and recombination rates. The results were compared with the earlier research conducted on CsSnCl3-based PSCs to assess enhancements and long-term sustainability. To summarize, this paper proposes the most effective and high-performance device configurations in lead-free CsSnCl3-based PSCs, as part of developing sustainable and cost-effective PV technologies.



    加载中


    [1] Tota R, Tasin TI, Hasan SM, et al. (2025) Performance enhancement of lead-free K2TiI6-based perovskite solar cells using SCAPS-1D simulation study. MSCE 13: 19–37. https://doi.org/10.4236/msce.2025.1310002 doi: 10.4236/msce.2025.1310002
    [2] Kishore TS, Kumar PU, Ippili V (2025) Review of global sustainable solar energy policies: Significance and impact. Innov Green Develop 4: 100224. https://doi.org/10.1016/j.igd.2025.100224 doi: 10.1016/j.igd.2025.100224
    [3] Song Z, McElvany CL, Phillips AB, et al. (2017) A technoeconomic analysis of perovskite solar module manufacturing with low-cost materials and techniques. Energy Environ Sci 10: 1297–1305. https://doi.org/10.1039/C7EE00757D doi: 10.1039/C7EE00757D
    [4] Green MA, Ho-Baillie A, Snaith HJ (2014) The emergence of perovskite solar cells. Nat Photon 8: 506–514. https://doi.org/10.1038/nphoton.2014.134 doi: 10.1038/nphoton.2014.134
    [5] Leijtens T, Eperon GE, Noel NK, et al. (2015) Stability of metal halide perovskite solar cells. Adv Energy Mater 5: 1500963. https://doi.org/10.1002/aenm.201500963 doi: 10.1002/aenm.201500963
    [6] Saliba M, Matsui T, Domanski K, et al. (2016) Incorporation of rubidium cations into perovskite solar cells improves photovoltaic performance. Science 354: 206–209. https://doi.org/10.1126/science.aah5557 doi: 10.1126/science.aah5557
    [7] Walsh A (2015) Principles of chemical bonding and band gap engineering in hybrid organic–inorganic halide perovskites. J Phys Chem C 119: 5755–5760. https://doi.org/10.1021/jp512420b doi: 10.1021/jp512420b
    [8] Zaky AA, Christopoulos E, Gkini K, et al. (2021) Enhancing efficiency and decreasing photocatalytic degradation of perovskite solar cells using a hydrophobic copper-modified titania electron transport layer. Appl Catal B Environ 284: 119714. https://doi.org/10.1016/j.apcatb.2020.119714 doi: 10.1016/j.apcatb.2020.119714
    [9] Wu Y, Zhou J, Zhang Q, et al. (2024) Atomistic insights into optoelectronic properties of tin halide perovskite CsSnCl3/Cs2SnCl6 hetero-interfaces. Phys Letters A 514–515: 129627. https://doi.org/10.1016/j.physleta.2024.129627 doi: 10.1016/j.physleta.2024.129627
    [10] Banik S, Das A, Das BK, et al. (2024) Numerical simulation and performance optimization of a lead-free inorganic perovskite solar cell using SCAPS-1D. Heliyon 10: e23985. https://doi.org/10.1016/j.heliyon.2024.e23985 doi: 10.1016/j.heliyon.2024.e23985
    [11] Green MA, Hishikawa Y, Dunlop ED, et al. (2019) Solar cell efficiency tables (Version 53). Progress Photovolt Res Appl 27: 3–12. https://doi.org/10.1002/pip.3102 doi: 10.1002/pip.3102
    [12] Chowdhury MS, Shahahmadi SA, Chelvanathan P, et al. (2020) Effect of deep-level defect density of the absorber layer and n/i interface in perovskite solar cells by SCAPS-1D. Results Phys 16: 102839. https://doi.org/10.1016/j.rinp.2019.102839 doi: 10.1016/j.rinp.2019.102839
    [13] Hossain MK, Rubel MHK, Toki GFI, et al. (2022) Effect of various electron and hole transport layers on the performance of CsPbI3-based perovskite solar cells: A numerical investigation in DFT, SCAPS-1D, and wxAMPS Frameworks. ACS Omega 7: 43210–43230. https://doi.org/10.1021/acsomega.2c05912 doi: 10.1021/acsomega.2c05912
    [14] Ahmad W, Noman M, Tariq Jan S, et al. (2023) Performance analysis and optimization of inverted inorganic CsGeI3 perovskite cells with carbon/copper charge transport materials using SCAPS-1D. R Soc Open Sci 10: 221127. https://doi.org/10.1098/rsos.221127 doi: 10.1098/rsos.221127
    [15] Li H, Huang Y, Zhu M, et al. (2025) Analyzing efficiency of perovskite solar cells under high illumination intensities by SCAPS device simulation. Nanomaterials 15: 286. https://doi.org/10.3390/nano15040286 doi: 10.3390/nano15040286
    [16] Simya OK, Mahaboobbatcha A, Balachander K (2015) A comparative study on the performance of Kesterite based thin film solar cells using SCAPS simulation program. Superlattices Microst 82: 248–261. https://doi.org/10.1016/j.spmi.2015.02.020 doi: 10.1016/j.spmi.2015.02.020
    [17] Burgelman M, Nollet P, Degrave S (2000) Modelling polycrystalline semiconductor solar cells. Thin Solid Films 361–362: 527–532. https://doi.org/10.1016/S0040-6090(99)00825-1 doi: 10.1016/S0040-6090(99)00825-1
    [18] Niemegeers A, Gillis S, Burgelman M (1998) A user program for realistic simulation of polycrystalline heterojunction solar cells: SCAPS-1D, in: Proceedings of the 2nd World Conference on Photovoltaic Energy Conversion, JRC, European Commission, pp. 672–675.
    [19] Hossain MK, Toki GFI, Kuddus A, et al. (2023) An extensive study on multiple ETL and HTL layers to design and simulation of high-performance lead-free CsSnCl3-based perovskite solar cells. Sci Rep 13: 2521. https://doi.org/10.1038/s41598-023-28506-2 doi: 10.1038/s41598-023-28506-2
    [20] Arumugam GM, Karunakaran SK, Liu C, et al. (2021) Inorganic hole transport layers in inverted perovskite solar cells: A review. Nano Select 2: 1081–1116. https://doi.org/10.1002/nano.202000200 doi: 10.1002/nano.202000200
    [21] Chakraborty R, Sim KM, Shrivastava M, et al. (2019) Colloidal synthesis, optical properties, and hole transport layer applications of Cu2BaSnS4 (CBTS) Nanocrystals. ACS Appl Energy Mater 2: 3049–3055. https://doi.org/10.1021/acsaem.9b00473 doi: 10.1021/acsaem.9b00473
    [22] Saidani O, Yousfi A, Samajdar DP, et al. (2024) Revealing the secrets of high performance lead-free CsSnCl3 based perovskite solar cell: A dive into DFT and SCAPS-1D numerical insights. Solar Energy Mater Solar Cells 277: 113122. https://doi.org/10.1016/j.solmat.2024.113122 doi: 10.1016/j.solmat.2024.113122
    [23] Rawat S, Madan J (2023) Enhancing the performance and reliability of CsSnCl3-based perovskite solar cells through temperature variations, in: 2023 3rd International Conference on Smart Generation Computing, Communication and Networking (SMART GENCON), Bangalore, India, IEEE, 1–4. https://doi.org/10.1109/SMARTGENCON60755.2023.10442687
  • Reader Comments
  • © 2026 the Author(s), licensee AIMS Press. This is an open access article distributed under the terms of the Creative Commons Attribution License (http://creativecommons.org/licenses/by/4.0)
通讯作者: 陈斌, bchen63@163.com
  • 1. 

    沈阳化工大学材料科学与工程学院 沈阳 110142

  1. 本站搜索
  2. 百度学术搜索
  3. 万方数据库搜索
  4. CNKI搜索

Metrics

Article views(1436) PDF downloads(43) Cited by(0)

Article outline

Figures and Tables

Figures(16)  /  Tables(6)

/

DownLoad:  Full-Size Img  PowerPoint
Return
Return

Catalog