Research article

Effect of Ripeness and Drying Process on Sugar and Ethanol Production from Giant Reed (Arundo donax L.)

  • Published: 02 April 2015
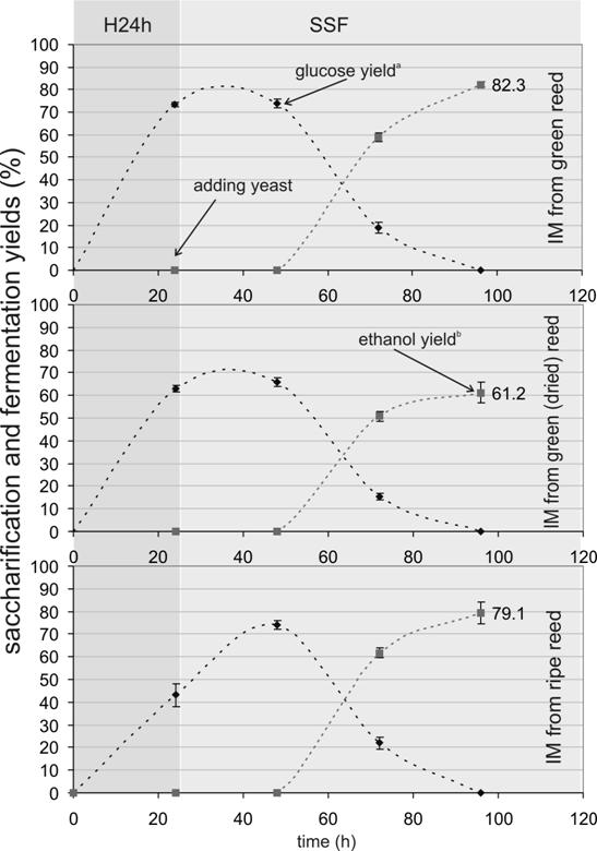
  • The work highlighted the influence of the water content within the starting biomass, drying procedure and ripeness on the enzymatic digestibility of the giant reed, one of the most suitable nonfood crops for bioenergy and bio-compound production. Fresh green reed was treated as received, while oven-dried green and ripe reed were humidified before the steam explosion pretreatment that was carried out at 210 ℃ for 10 minutes. The exploded biomasses were extracted with water to remove the soluble hemicellulose and potential inhibitors; the insoluble residue was submitted to enzymatic hydrolysis and alcoholic fermentation. The process was evaluated in terms of sugars recovery and ethanol yield. After the sequence of pretreatment, enzymatic hydrolysis and fermentation by Saccharomyces cerevisiae 132 g; 103 g; 162 g of ethanol; and 77 g; 63 g; 92 g of pentosanes were respectively obtained from 1 kgDM of fresh green reed; dried green reed or ripe reed. The ripe reed contains more carbohydrates than the green reed and the resulting sugar and ethanol production was higher, in spite of lower saccharification yield. While drying the fresh biomass is good practice for biomass preservation, it negatively affects the recovery of free sugars and the ethanol production, because of fiber hornification which hinders enzyme access in the hydrolysis step.

    Citation: Egidio Viola, Francesco Zimbardi, Vito Valerio, Antonio Villone. Effect of Ripeness and Drying Process on Sugar and Ethanol Production from Giant Reed (Arundo donax L.)[J]. AIMS Bioengineering, 2015, 2(2): 29-39. doi: 10.3934/bioeng.2015.2.29

    Related Papers:

  • The work highlighted the influence of the water content within the starting biomass, drying procedure and ripeness on the enzymatic digestibility of the giant reed, one of the most suitable nonfood crops for bioenergy and bio-compound production. Fresh green reed was treated as received, while oven-dried green and ripe reed were humidified before the steam explosion pretreatment that was carried out at 210 ℃ for 10 minutes. The exploded biomasses were extracted with water to remove the soluble hemicellulose and potential inhibitors; the insoluble residue was submitted to enzymatic hydrolysis and alcoholic fermentation. The process was evaluated in terms of sugars recovery and ethanol yield. After the sequence of pretreatment, enzymatic hydrolysis and fermentation by Saccharomyces cerevisiae 132 g; 103 g; 162 g of ethanol; and 77 g; 63 g; 92 g of pentosanes were respectively obtained from 1 kgDM of fresh green reed; dried green reed or ripe reed. The ripe reed contains more carbohydrates than the green reed and the resulting sugar and ethanol production was higher, in spite of lower saccharification yield. While drying the fresh biomass is good practice for biomass preservation, it negatively affects the recovery of free sugars and the ethanol production, because of fiber hornification which hinders enzyme access in the hydrolysis step.


    加载中
    [1] Scott EL, Maarten A, Kootstra J, et al. (2010) Sustainable Biotechnology, ed. Singh and Harvey. Perspectives Bioenergy Biofuels 179-194.
    [2] Gnansounou E (2010) Production and use of lignocellulosic bioethanol in Europe: Current situation and perspectives. Biores Technol 101: 4842-4850. doi: 10.1016/j.biortech.2010.02.002
    [3] Cardona CA, Quintero JA, Paz IC (2010) Production of bioethanol from sugarcane bagasse: Status and perspectives. Biores Technol 101: 4754-4766. doi: 10.1016/j.biortech.2009.10.097
    [4] Banerjee1 S, Mudliar S, Sen R, et al. (2010) Commercializing lignocellulosic bioethanol: technology bottlenecks and possible remedies. Biofuels Bioprod Biorefin 4:77-93. doi: 10.1002/bbb.188
    [5] Lewis M, Jackson M. (2002) In: JanicK J, Whipkey A, (Eds.), Trends in New Cropsand New Uses. ASHS Press, Alexandria, VA,. 371-376.
    [6] Shatalov AA, Pereira H (2012) Xylose production from giant reed (Arundo donax L.): Modeling and optimization of dilute acid hydrolysis. Carbohydr Polym 87: 210-217.
    [7] Nassi o Di Nasso N, Angelini LG, Bonari E (2010) Influence of fertilization and harvest time on fuel quality of reed (Reed donax L.) in central Italy. Eur J Agron 32: 219-227.
    [8] Corno L, Pilu R, Adani F (2014) Arundo donax L.: a nonfood crop for bioenergy and biocompound production. Biotechnol Adv 32: 1532-1549.
    [9] Fairley P (2011) Next generation biofuels. Nature 474: 2-5.
    [10] Barnoud F, Joseleau JP (1975) Changes of the cell wall carbohydrates in the internode of Reed donax (graminae) at different stages of growth. Plant Sci Lett 4: 168-174.
    [11] Monti A, Di Virgilio N, Venturi G (2008) Mineral composition and ash content of six major energy crops. Biomass Bioenergy 32: 216-223. doi: 10.1016/j.biombioe.2007.09.012
    [12] Mansfield SD, Mooney CJ, Saddler N (1999) Substrate and Enzyme Characteristics that Limit Cellulose Hydrolysis. Biotechnol Prog 15: 804-816. doi: 10.1021/bp9900864
    [13] Duan X, Zhang C, Ju X, et al. (2013) Effect of lignocellulosic composition and structure on the bioethanol production from different poplar lines. Bioresource technol 140: 363-367. doi: 10.1016/j.biortech.2013.04.101
    [14] Shatalov AA, Pereira H (2013) High-grade sulfur-free cellulose fibers by pre-hydrolysis and ethanol-alkali delignification of giant reed (Arundo donax L.) stems. Ind Crop Prod 43:623-630. doi: 10.1016/j.indcrop.2012.08.003
    [15] Scordia D, Cosentino SL, Lee JW, et al. (2012) Bioconversion of giant reed (Arundo donax L.) hemicellulose hydrolysate to ethanol by Scheffersomyces stipitis CBS6054. Biomass Bioenergy 39: 296-305.
    [16] Raspolli Galletti AM, Antonetti C, Ribechini E, et al. (2013) From giant reed to levulinic acid and gamma-valerolactone: A high yield catalytic route to valeric biofuels. Appl Energ 102: 157-162. doi: 10.1016/j.apenergy.2012.05.061
    [17] Kohnke T, Lund K, Brelid H, et al. (2010) Kraft pulp hornification: A closer look at the preventive effect gained by glucuroxylan adsorption. Carbohydr Polym 81: 226-233. doi: 10.1016/j.carbpol.2010.02.023
    [18] Luo X, Zhu JY (2011) Effects of dryin-induced fiber hornification on enzymatic saccharification of lignocellulose. Enzyme Microb Technol 48: 92-99. doi: 10.1016/j.enzmictec.2010.09.014
    [19] Jeoh T, Ishizawa CI, Davis MF, et al. (2007) Cellulase digestibility of pretreated biomass is limited by cellulose accessibility. Biotechnol Bioeng 98: 112-122. doi: 10.1002/bit.21408
    [20] Agblevor FA, Rejai B, Wang D, et al. (1994) Influence of storage conditions on the production of hydrocarbons from herbaceous biomass. Biomass Bioenergy 6: 213-22.
    [21] Wyman CE ((1999) Biomass Ethanol: Technical Progress, Opportunities, and Commercial Challenges, Annu Rev Energy Env 24: 189-226.
    [22] Abatzoglou N, Chornet E, Belkacemi K (1992) Phenomenological kinetics of complex systems: the development of a generalized severity parameter and its application to lignocellulosics fractionation. Chem Eng Sci 47: 1109-1122. doi: 10.1016/0009-2509(92)80235-5
    [23] De Bari I, Viola E, Zimbardi F, et al. (2002) Ethanol Production at Flask and Pilot Scale from Concentrated Slurries of Steam-Exploded Aspen. Ind Eng Chem Res 41: 1745-1753. doi: 10.1021/ie010571f
    [24] Sassner P, Galbe M, Zacchi G (2006) Bioethanol production based on simultaneous saccharification and fermentation of steam-pretreated Salix at high dry-matter content. Enzyme Microb Technol 39: 756-762. doi: 10.1016/j.enzmictec.2005.12.010
    [25] Stenberg K, Galbe M, Zacchi G (2000) The influence of lactic acid formation on the simultaneous saccharification and fermentation (SSF) of softwood to ethanol. Enzyme Microb Techn 26: 71-79. doi: 10.1016/S0141-0229(99)00127-1
    [26] Tomàs-Pejò E, Oliva JM, Ballesteros M, et al. (2008) Comparison of SHF and SSF Processes From Steam-Exploded Wheat Straw for Ethanol Production by Xylose-Fermenting and Robust Glucose-Fermenting Saccharomyces cerevisiae Strains. Biotechnol Bioeng 100: 1122-1131. doi: 10.1002/bit.21849
    [27] Kacic A, Palmquist B, Liden G (2014) Effects of agitation on particle size distribution and enzymatic hydrolysis of pretreated spruce and giant reed. Biotech for Biofuels 7: 77. doi: 10.1186/1754-6834-7-77
    [28] Shin SJ, Cho NS, Lai YZ (2007) Residual extractives in aspen kraft pulps and their impact on kappa number and Klason lignin determination. J Wood Sci 53: 494-497. doi: 10.1007/s10086-007-0894-8
    [29] Joseleau JP, Barnoud F (1975) Hemicellulose of Reed Donax at different stages of maturity. Phytochem 14: 71-75. doi: 10.1016/0031-9422(75)85010-2
    [30] Matsumoto Y, Ishizu A, Nakano J, et al. (1984). Residual Sugars in Klason Lignin. J Wood Chem Technol 4: 321-330. doi: 10.1080/02773818408070652
  • Reader Comments
  • © 2015 the Author(s), licensee AIMS Press. This is an open access article distributed under the terms of the Creative Commons Attribution License (http://creativecommons.org/licenses/by/4.0)
通讯作者: 陈斌, bchen63@163.com
  • 1. 

    沈阳化工大学材料科学与工程学院 沈阳 110142

  1. 本站搜索
  2. 百度学术搜索
  3. 万方数据库搜索
  4. CNKI搜索

Metrics

Article views(6568) PDF downloads(998) Cited by(4)

Article outline

Figures and Tables

Figures(5)  /  Tables(2)

/

DownLoad:  Full-Size Img  PowerPoint
Return
Return

Catalog