Research article

Sustainable valorization of fruit waste: Extraction, characterization, and application of pectin in jam

  • Published: 30 December 2025
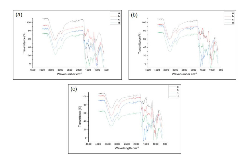
  • In this study, we aimed to extract and evaluate pectin from apple (Malus domestica), lemon (Citrus limon), and lime (Citrus aurantiifolia) peels using microwave-assisted extraction (MAE) and ultrasound-assisted extraction (UAE) techniques with different extractants. The effects of microwave power and irradiation time on pectin yield were investigated in MAE. The impacts of temperature and sonication time were assessed for UAE. The extracted pectin was subsequently used to prepare java plum (Syzygium cumini L.) jam. The highest pectin yield (18.25%) was obtained from lime peel using MAE at 500 W for 3 minutes, while UAE yielded 11.1% from lemon peel at 65 ℃ for 45 minutes. The extracted pectin was characterized as high-methoxy pectin, with a degree of esterification ranging from 50.13% to 61.63%. Fourier transform infrared spectroscopy confirmed its structure, showing a peak at 1700–1770 cm-1 for polygalacturonic acid and characteristic fingerprints in the 1600–1750 cm-1 region. Scanning electron microscopy revealed that UAE-derived apple peel pectin had a ruptured surface, whereas MAE-derived lime peel pectin exhibited a porous structure, indicating a higher degree of hydrolysis. Jams prepared with the pectin showed total soluble solids of 65.1°, 67.2°, and 68.1° Brix for apple pectin jam (APJ), lemon pectin jam (LPJ-a), and lime pectin jam (LPJ-b), respectively. The LPJ-b exhibited the highest viscosity (75.1 cP) and received the best sensory acceptability score. MAE was more effective than UAE, providing a higher yield in a shorter time. Furthermore, the jam formulated with MAE-extracted lime pectin demonstrated superior physicochemical and organoleptic properties.

    Citation: Aseel Abukayed, Faneela Sajjad, Taha Rababah, Muhammad Saeed, Muhammad Azam, Huda Fish, Israa Keelani, Bandar N. Hamadneh, Ali Almajwal, Vaida Bartkutė-Norkūnienė. Sustainable valorization of fruit waste: Extraction, characterization, and application of pectin in jam[J]. AIMS Agriculture and Food, 2025, 10(4): 1039-1055. doi: 10.3934/agrfood.2025054

    Related Papers:

  • In this study, we aimed to extract and evaluate pectin from apple (Malus domestica), lemon (Citrus limon), and lime (Citrus aurantiifolia) peels using microwave-assisted extraction (MAE) and ultrasound-assisted extraction (UAE) techniques with different extractants. The effects of microwave power and irradiation time on pectin yield were investigated in MAE. The impacts of temperature and sonication time were assessed for UAE. The extracted pectin was subsequently used to prepare java plum (Syzygium cumini L.) jam. The highest pectin yield (18.25%) was obtained from lime peel using MAE at 500 W for 3 minutes, while UAE yielded 11.1% from lemon peel at 65 ℃ for 45 minutes. The extracted pectin was characterized as high-methoxy pectin, with a degree of esterification ranging from 50.13% to 61.63%. Fourier transform infrared spectroscopy confirmed its structure, showing a peak at 1700–1770 cm-1 for polygalacturonic acid and characteristic fingerprints in the 1600–1750 cm-1 region. Scanning electron microscopy revealed that UAE-derived apple peel pectin had a ruptured surface, whereas MAE-derived lime peel pectin exhibited a porous structure, indicating a higher degree of hydrolysis. Jams prepared with the pectin showed total soluble solids of 65.1°, 67.2°, and 68.1° Brix for apple pectin jam (APJ), lemon pectin jam (LPJ-a), and lime pectin jam (LPJ-b), respectively. The LPJ-b exhibited the highest viscosity (75.1 cP) and received the best sensory acceptability score. MAE was more effective than UAE, providing a higher yield in a shorter time. Furthermore, the jam formulated with MAE-extracted lime pectin demonstrated superior physicochemical and organoleptic properties.



    加载中


    [1] Harikrishnan R, Thamizharasan S, Devi G, et al. (2020) Dried lemon peel enriched diet improves antioxidant activity, immune response and modulates immuno-antioxidant genes in Labeo rohita against Aeromonas sorbia. Fish Shellfish Immunol 106: 675–684. https://doi.org/10.1016/j.fsi.2020.07.040 doi: 10.1016/j.fsi.2020.07.040
    [2] Picot-Allain MCN, Ramasawmy B, Emmambux MN (2022) Extraction, characterisation, and application of pectin from tropical and sub-tropical fruits: A review. Food Rev Int 38: 282–312. https://doi.org/10.1080/87559129.2020.1733008 doi: 10.1080/87559129.2020.1733008
    [3] Zhu K, Mao G, Wu D, et al. (2020) Highly branched RG-I domain enrichment is indispensable for pectin mitigating against high-fat diet-induced obesity. J Agric Food Chem 68: 8688–8701. https://doi.org/10.1021/acs.jafc.0c02654 doi: 10.1021/acs.jafc.0c02654
    [4] Singhal S, Hulle NRS (2022) Citrus pectins: Structural properties, extraction methods, modifications and applications in food systems–A review. Appl Food Res 2: 100215. https://doi.org/10.1016/j.afres.2022.100215 doi: 10.1016/j.afres.2022.100215
    [5] Wiehle M, Nawaz MA, Dahlem R, et al. (2021) Pheno-genetic studies of apple varieties in northern Pakistan: A hidden pool of diversity. Sci Hortic 281: 109950. https://doi.org/10.1016/j.scienta.2021.109950 doi: 10.1016/j.scienta.2021.109950
    [6] Villamil-Galindo E, Piagentini AM (2022) Sequential ultrasound-assisted extraction of pectin and phenolic compounds for the valorisation of 'Granny Smith'apple peel. Food Biosci 49: 101958. https://doi.org/10.1016/j.fbio.2022.101958 doi: 10.1016/j.fbio.2022.101958
    [7] Saeed M, Azam M, Ahmad T, et al. (2022) Utilization of pomegranate peel extract as antifungal coating agent against Fusarium oxysporum on tomatoes. J Food Proc Preserv 46: e17157. https://doi.org/10.1111/jfpp.17157 doi: 10.1111/jfpp.17157
    [8] Wandee Y, Uttapap D, Mischnick P (2019) Yield and structural composition of pomelo peel pectins extracted under acidic and alkaline conditions. Food Hydrocolloids 87: 237–244. https://doi.org/10.1016/j.foodhyd.2018.08.017 doi: 10.1016/j.foodhyd.2018.08.017
    [9] Mao Y, Robinson JP, Binner ER (2023) Current status of microwave-assisted extraction of pectin. Chem Eng J 473: 145261. https://doi.org/10.1016/j.cej.2023.145261 doi: 10.1016/j.cej.2023.145261
    [10] Dranca F, Vargas M, Oroian M (2020) Physicochemical properties of pectin from Malus domestica 'Fălticeni'apple pomace as affected by non-conventional extraction techniques. Food Hydrocolloids 100: 105383. https://doi.org/10.1016/j.foodhyd.2019.105383 doi: 10.1016/j.foodhyd.2019.105383
    [11] Quoc T, Pham L (2022) Microwave-Assisted Extraction of Pectin from Passion Fruit Peels under Alkaline Conditions. Agriculturae Conspectus Scientificus 87: 45–50.
    [12] Rana M, Yeasmin F, Khan MJ, et al. (2021) Evaluation of quality characteristics and storage stability of mixed fruit jam. Food Res 5: 225–231. https://doi.org/10.26656/fr.2017.5(1).365 doi: 10.26656/fr.2017.5(1).365
    [13] Chhikara N, Kour R, Jaglan S, et al. (2018) Citrus medica: nutritional, phytochemical composition and health benefits—A review. Food Funct 9: 1978–1992. https://doi.org/10.1039/C7FO02035J doi: 10.1039/C7FO02035J
    [14] Sayed, A., Hany F, Abdel-Raouf M E-S et al. (2022) Gamma irradiation synthesis of pectin-based biohydrogels for removal of lead cations from simulated solutions. J Polym Res 29: 372. https://doi.org/10.1007/s10965-022-03219-8 doi: 10.1007/s10965-022-03219-8
    [15] Gharibzahedi SMT, Smith B, Guo Y (2019) Ultrasound-microwave assisted extraction of pectin from fig (Ficus carica L.) skin: Optimization, characterization and bioactivity. Carbohydr Polym 222: 114992. https://doi.org/10.1016/j.carbpol.2019.114992 doi: 10.1016/j.carbpol.2019.114992
    [16] Zioga M, Tsouko E, Maina S, et al. (2022) Physicochemical and rheological characteristics of pectin extracted from renewable orange peel employing conventional and green technologies. Food Hydrocolloids 132: 107887. https://doi.org/10.1016/j.foodhyd.2022.107887 doi: 10.1016/j.foodhyd.2022.107887
    [17] Liew S, Chin NL, Yusof YA, et al. (2015) Comparison of acidic and enzymatic pectin extraction from passion fruit peels and its gel properties. J Food Proc Eng 39: 501–511. https://doi.org/10.1111/jfpe.12243 doi: 10.1111/jfpe.12243
    [18] Li WJ, Fan ZG, Wu YY, et al. (2019) Eco‐friendly extraction and physicochemical properties of pectin from jackfruit peel waste with subcritical water. J Sci Food Agric 99: 5283–5292. https://doi.org/10.1002/jsfa.9729 doi: 10.1002/jsfa.9729
    [19] Bukya A, Madane LP (2018) Preaparation and standardization of jamun jam (Syzygium cumini) it's chemical and storage studies. World J Pharm Pharm Sci 7: 876–885.
    [20] Baur FJ, Ensminger LG (1977) The association of official analytical chemists (AOAC). J Am Oil Chem Soc 54: 171–172. https://doi.org/10.1007/BF02670789 doi: 10.1007/BF02670789
    [21] Gemechu B, Keyata EO, Geleta TE, et al. (2024) Optimization of mango peel pectin extraction (Mangifera indica L.): For the production of jam and jelly. Appl Food Res 4: 100411. https://doi.org/10.1016/j.afres.2024.100411 doi: 10.1016/j.afres.2024.100411
    [22] Montgomery DC (2017) Design and analysis of experiments. John wiley & sons.
    [23] Lasunon P, Sengkhamparn N (2022) Effect of ultrasound-assisted, microwave-assisted and ultrasound-microwave-assisted extraction on pectin extraction from industrial tomato waste. Molecules 27: 1157. https://doi.org/10.3390/molecules27041157 doi: 10.3390/molecules27041157
    [24] Maran JP, Prakash KA (2015) Process variables influence on microwave assisted extraction of pectin from waste Carcia papaya L. peel. Int J Biol Macromol 73: 202–206. https://doi.org/10.1016/j.ijbiomac.2014.11.008 doi: 10.1016/j.ijbiomac.2014.11.008
    [25] Rivadeneira JP, Wu T, Ybanez Q, et al. (2020) Microwave‐assisted extraction of pectin from "Saba" banana peel waste: Optimization, characterization, and rheology study. Int J Food Sci 2020: 8879425. https://doi.org/10.1155/2020/8879425 doi: 10.1155/2020/8879425
    [26] Wongkaew M, Sommano SR, Tangpao T, et al. (2020) Mango peel pectin by microwave-assisted extraction and its use as fat replacement in dried Chinese sausage. Foods 9: 450. https://doi.org/10.3390/foods9040450 doi: 10.3390/foods9040450
    [27] El Fihry N, El Mabrouk K, Eeckhout MME, et al. (2022) Physicochemical and functional characterization of pectin extracted from Moroccan citrus peels. LWT 162: 113508. https://doi.org/10.1016/j.lwt.2022.113508 doi: 10.1016/j.lwt.2022.113508
    [28] Lal AN, Prince MV, Kothakota A, et al. (2021) Pulsed electric field combined with microwave-assisted extraction of pectin polysaccharide from jackfruit waste. Innovative Food Sci Emerging Technol 74: 102844. https://doi.org/10.1016/j.ifset.2021.102844 doi: 10.1016/j.ifset.2021.102844
    [29] Lai JCH, Mahesan D, Baini R (2022) Characterization and optimization of extracted pectin from unripe banana and mango fruit peels. Materials Today: Proceedings 65: 3020–3029. https://doi.org/10.1016/j.matpr.2022.03.580 doi: 10.1016/j.matpr.2022.03.580
    [30] Moorthy IG, Maran JP, Surya SM, et al. (2015) Response surface optimization of ultrasound assisted extraction of pectin from pomegranate peel. Int J Biol Macromol 72: 1323–1328. https://doi.org/10.1016/j.ijbiomac.2014.10.037 doi: 10.1016/j.ijbiomac.2014.10.037
    [31] de Oliveira CF, Giordani D, Lutckemier R, et al. (2016) Extraction of pectin from passion fruit peel assisted by ultrasound. LWT-Food Sci Technol 71: 110–115. https://doi.org/10.1016/j.lwt.2016.03.027 doi: 10.1016/j.lwt.2016.03.027
    [32] Mada T, Duraisamy R, Guesh F (2022) Optimization and characterization of pectin extracted from banana and papaya mixed peels using response surface methodology. Food Sci Nutr 10: 1222–1238. https://doi.org/10.1002/fsn3.2754 doi: 10.1002/fsn3.2754
    [33] Ullah N, Ullah S, Khan A, et al. (2018) Preparation and evaluation of carrot and apple blended jam. J Food Proc Technol 9: 725.
    [34] Zhang L, Zhang X, Liu D, et al. (2015) Effect of degradation methods on the structural properties of citrus pectin. LWT-Food Sci Technol 61: 630–637. https://doi.org/10.1016/j.lwt.2014.11.002 doi: 10.1016/j.lwt.2014.11.002
    [35] Güzel M, Akpınar O (2019) Valorisation of fruit by-products: Production characterization of pectins from fruit peels. Food Bioprod Proc 115: 126–133. https://doi.org/10.1016/j.fbp.2019.03.009 doi: 10.1016/j.fbp.2019.03.009
    [36] Shivangi S, Dorairaj D, Negi PS, et al. (2021) Development and characterisation of a pectin-based edible film that contains mulberry leaf extract and its bio-active components. Food Hydrocolloids 121: 107046. https://doi.org/10.1016/j.foodhyd.2021.107046 doi: 10.1016/j.foodhyd.2021.107046
    [37] Bekele M, Satheesh N (2020) Screening of Ethiopian mango cultivars for suitability for preparing jam and determination of pectin, sugar, and acid effects on physico-chemical and sensory properties of mango jam. Sci Afr 7: e00277. https://doi.org/10.1016/j.sciaf.2020.e00277 doi: 10.1016/j.sciaf.2020.e00277
    [38] Siddiqui NH, Azhar I, Tarar OM, et al. (2015) Influence of pectin concentrations on physico-chemical and sensory qualities of jams. World J Pharm Pharm Sci 4: 68–77.
    [39] Awolu OO, Okedele GO, Ojewumi ME, et al. (2018) Functional jam production from blends of banana, pineapple and watermelon pulp. Int J Food Sci Biotechnol 3: 7–14. https://doi.org/10.11648/j.ijfsb.20180301.12 doi: 10.11648/j.ijfsb.20180301.12
    [40] Mozakkin MJI, Saha BK, Ferdous T, et al. (2022) Evaluation of physico-chemical and nutritional properties and microbial analysis of some local jam and jelly in Bangladesh. Dhaka Univ J Appl Sci Eng 7: 16–21. https://doi.org/10.3329/dujase.v7i1.62882 doi: 10.3329/dujase.v7i1.62882
    [41] Thakre G, Barse A (2018) Development of herbal jelly (with Hibiscus Rosa sinensis and Rose petals). J Med Plants Stud 6: 30–32.
    [42] Sravani V, Ravi N, Roopa N, et al. (2017) Use of high pressure technology for the development of novel jam and its quality evaluation during storage. J Food Sci Technol 54: 3562–3568. https://doi.org/10.1007/s13197-017-2814-2 doi: 10.1007/s13197-017-2814-2
    [43] Onyekwelu C (2018) Chemical composition and sensory evaluation of jam from cola parchycarpa and orange blends. Agric Ext J 2: 78–81.
  • Reader Comments
  • © 2025 the Author(s), licensee AIMS Press. This is an open access article distributed under the terms of the Creative Commons Attribution License (http://creativecommons.org/licenses/by/4.0)
通讯作者: 陈斌, bchen63@163.com
  • 1. 

    沈阳化工大学材料科学与工程学院 沈阳 110142

  1. 本站搜索
  2. 百度学术搜索
  3. 万方数据库搜索
  4. CNKI搜索

Metrics

Article views(2301) PDF downloads(183) Cited by(0)

Article outline

Figures and Tables

Figures(7)

/

DownLoad:  Full-Size Img  PowerPoint
Return
Return

Catalog