Research article Special Issues

Development and characterization of chitosan–thyme essential oil nanoemulsion films for active packaging of raw chicken drumsticks

  • Published: 29 December 2025
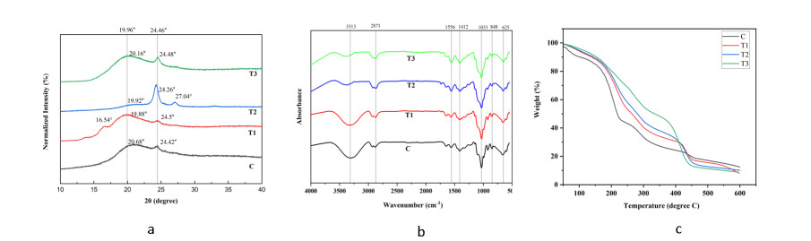
  • This study focused on the development and characterization of a bioactive film of chitosan (1.5%, w/v) integrated with a thyme (Thymus vulgaris) essential oil nanoemulsion (TNEO). The biopolymer was applied on raw chicken drumsticks to assess its effectiveness in preserving the quality and safety of meat under refrigeration. Gas chromatography‒mass spectrometry (GC-MS/MS) analysis of the thyme essential oil identified key bioactive components, viz. carvacrol (60.18%), m-cymene (22.93%) and thymol (3.24%). The dynamic light scattering (DLS) assay and transmission electron microscopy (TEM) ensured the successful encapsulation and stability of the nanoemulsion. The infusion of thyme nanoemulsion significantly enhanced the morphological features, UV barrier properties, moisture vapor barrier properties, and flexibility of chitosan film- critical properties, fulfilling the requirements for effective meat packaging. Further, scanning electron microscopy (SEM), Fourier transform infrared spectroscopy (FTIR), X-ray diffraction (XRD), and thermogravimetric analysis (TGA) were performed to analyze the active biopolymers, which ensured the compatibility between nanoemulsion and chitosan matrix. Notably, the film with 2% TNEO exhibited significant antimicrobial activity against Staphylococcus aureus (14.67 ± 0.33 mm) and Escherichia coli (12.67 ± 0.33 mm), as measured through zones of inhibition (ZOI), and also antioxidant properties (40.05 ± 1.19% reactive scavenging activity). When applied to chicken drumsticks, the 2% TNEO film significantly delayed microbial spoilage, inhibited lipid oxidation, and preserved the color attributes of the meat over a 15-day refrigerated storage period compared to no chitosan and TNEO film. From this study, it is concluded that chitosan-thyme nanoemulsion film can be utilized as a highly promising, green active-packaging solution for extending the shelf-life of raw poultry.

    Citation: Dipanwita Bhattacharya, Dhananjay Kumar, Pesingi Pavan Kumar, Arun K. Das, P. K. Nanda, Annada Das, Saurabh Karunamay, Kaushik Satyaprakash, Avanish Singh Parmar, Anshuman Kumar. Development and characterization of chitosan–thyme essential oil nanoemulsion films for active packaging of raw chicken drumsticks[J]. AIMS Agriculture and Food, 2025, 10(4): 1004-1038. doi: 10.3934/agrfood.2025053

    Related Papers:

  • This study focused on the development and characterization of a bioactive film of chitosan (1.5%, w/v) integrated with a thyme (Thymus vulgaris) essential oil nanoemulsion (TNEO). The biopolymer was applied on raw chicken drumsticks to assess its effectiveness in preserving the quality and safety of meat under refrigeration. Gas chromatography‒mass spectrometry (GC-MS/MS) analysis of the thyme essential oil identified key bioactive components, viz. carvacrol (60.18%), m-cymene (22.93%) and thymol (3.24%). The dynamic light scattering (DLS) assay and transmission electron microscopy (TEM) ensured the successful encapsulation and stability of the nanoemulsion. The infusion of thyme nanoemulsion significantly enhanced the morphological features, UV barrier properties, moisture vapor barrier properties, and flexibility of chitosan film- critical properties, fulfilling the requirements for effective meat packaging. Further, scanning electron microscopy (SEM), Fourier transform infrared spectroscopy (FTIR), X-ray diffraction (XRD), and thermogravimetric analysis (TGA) were performed to analyze the active biopolymers, which ensured the compatibility between nanoemulsion and chitosan matrix. Notably, the film with 2% TNEO exhibited significant antimicrobial activity against Staphylococcus aureus (14.67 ± 0.33 mm) and Escherichia coli (12.67 ± 0.33 mm), as measured through zones of inhibition (ZOI), and also antioxidant properties (40.05 ± 1.19% reactive scavenging activity). When applied to chicken drumsticks, the 2% TNEO film significantly delayed microbial spoilage, inhibited lipid oxidation, and preserved the color attributes of the meat over a 15-day refrigerated storage period compared to no chitosan and TNEO film. From this study, it is concluded that chitosan-thyme nanoemulsion film can be utilized as a highly promising, green active-packaging solution for extending the shelf-life of raw poultry.



    加载中


    [1] Atarés L, Chiralt A (2016) Essential oils as additives in biodegradable films and coatings for active food packaging. Trends Food Sci Technol 48: 51-62.https://doi.org/10.1016/j.tifs.2015.12.001 doi: 10.1016/j.tifs.2015.12.001
    [2] Das A, Biswas S, Satyaprakash K, et al. (2025) Exploring the synergistic effects of plant powders and essential oil combination on the quality, and structural integrity of chicken sausages during storage. Discov Food 5: 336.https://doi.org/10.1007/s44187-025-00615-z doi: 10.1007/s44187-025-00615-z
    [3] Aminzare M, Moniri R, Hassanzad Azar H, et al. (2022) Evaluation of antioxidant and antibacterial interactions between resveratrol and eugenol in carboxymethyl cellulose biodegradable film. Food Sci Nutr 10: 155-168.https://doi.org/10.1002/fsn3.2656 doi: 10.1002/fsn3.2656
    [4] Kokkosi EK, Mylonaki EN, Karabagias VK, et al. (2024) Shelf life extension of Gyros'' pork meat using plant extracts with antioxidant and antimicrobial activities. Food Biosci 62: 105542.https://doi.org/10.1016/j.fbio.2024.105542 doi: 10.1016/j.fbio.2024.105542
    [5] Grande-Tovar CD, Serio A, Delgado-Ospina J, et al. (2018) Chitosan films incorporated with Thymus capitatus essential oil: mechanical properties and antimicrobial activity against degradative bacterial species isolated from tuna (Thunnus sp.) and swordfish (Xiphias gladius). J Food Sci Technol 55: 4256-4265.https://doi.org/10.1007/s13197-018-3364-y doi: 10.1007/s13197-018-3364-y
    [6] Ozogul Y, Kuley Boğa E, Akyol I, et al. (2020) Antimicrobial activity of thyme essential oil nanoemulsions on spoilage bacteria of fish and food-borne pathogens. Food Biosci 36: 100635.https://doi.org/10.1016/j.fbio.2020.100635 doi: 10.1016/j.fbio.2020.100635
    [7] Sun J, Pan X, Wang T, et al. (2025) Preparation, characterization and application of chitosan/thyme essential oil composite film. Sci Rep 15: 7934.https://doi.org/10.1038/s41598-025-92267-3 doi: 10.1038/s41598-025-92267-3
    [8] Das JK, Chatterjee N, Nanda PK, et al. (2024) Encapsulation and delivery of clove essential oil using nanoemulsions: Impact on the physicochemical, microbial, and sensory properties of chicken meatballs. Food Biophys 19: 701-716.https://doi.org/10.1007/s11483-024-09861-7 doi: 10.1007/s11483-024-09861-7
    [9] Das AK, Nanda PK, Bandyopadhyay S, et al. (2020) Application of nanoemulsion-based approaches for improving the quality and safety of muscle foods: A comprehensive review. Compr Rev Food Sci Food Saf 19: 2677-2700.https://doi.org/10.1111/1541-4337.12604 doi: 10.1111/1541-4337.12604
    [10] McClements DJ, Das AK, Dhar P, et al. (2021) Nanoemulsion-based technologies for delivering natural plant-based antimicrobials in foods. Front Sustain Food Syst 5: 643208.https://doi.org/10.3389/fsufs.2021.643208 doi: 10.3389/fsufs.2021.643208
    [11] Silva SB da, De Souza D, Lacerda LD (2019) Food applications of chitosan and its derivatives, Chitin and Chitosan: Properties and Applications, 315-347.https://doi.org/10.1002/9781119450467.ch13
    [12] Haghighi H, Gullo M, La China S, et al. (2021) Characterization of bio-nanocomposite films based on gelatin/polyvinyl alcohol blend reinforced with bacterial cellulose nanowhiskers for food packaging applications. Food Hydrocoll 113: 106454.https://doi.org/10.1016/j.foodhyd.2020.106454 doi: 10.1016/j.foodhyd.2020.106454
    [13] Elshamy S, Khadizatul K, Uemura K, et al. (2021) Chitosan-based film incorporated with essential oil nanoemulsion foreseeing enhanced antimicrobial effect. J Food Sci Technol 58: 3314-3327.https://doi.org/10.1007/s13197-020-04888-3 doi: 10.1007/s13197-020-04888-3
    [14] Ojagh SM, Rezaei M, Razavi SH, et al. (2010) Development and evaluation of a novel biodegradable film made from chitosan and cinnamon essential oil with low affinity toward water. Food Chem 122: 161-166.https://doi.org/10.1016/j.foodchem.2010.02.033 doi: 10.1016/j.foodchem.2010.02.033
    [15] Zehra A, Wani SM, Jan N, et al. (2022) Development of chitosan-based biodegradable films enriched with thyme essential oil and additives for potential applications in packaging of fresh collard greens. Sci Rep 12: 16923.https://doi.org/10.1038/s41598-022-20751-1 doi: 10.1038/s41598-022-20751-1
    [16] Haghighi H, Biard S, Bigi F, et al. (2019) Comprehensive characterization of active chitosan-gelatin blend films enriched with different essential oils. Food Hydrocoll 95: 33-42.https://doi.org/10.1016/j.foodhyd.2019.04.019 doi: 10.1016/j.foodhyd.2019.04.019
    [17] El-Sayed SM, El-Sayed HS (2021) Antimicrobial nanoemulsion formulation based on thyme (Thymus vulgaris) essential oil for UF labneh preservation. J Mater Res Technol 10: 1029-1041.https://doi.org/10.1016/j.jmrt.2020.12.073 doi: 10.1016/j.jmrt.2020.12.073
    [18] Sheerzad S, Khorrami R, Khanjari A, et al. (2024) Improving chicken meat shelf-life: Coating with whey protein isolate, nanochitosan, bacterial nanocellulose, and cinnamon essential oil. LWT 197: 115912.https://doi.org/10.1016/j.lwt.2024.115912 doi: 10.1016/j.lwt.2024.115912
    [19] Elsherief MF, Devecioglu D, Saleh MN, et al. (2024) Chitosan/alginate/pectin biopolymer-based Nanoemulsions for improving the shelf life of refrigerated chicken breast. Int J Biol Macromol 264: 130213.https://doi.org/10.1016/j.ijbiomac.2024.130213 doi: 10.1016/j.ijbiomac.2024.130213
    [20] Sayadi M, Abedi E, Oliyaei N (2025) Effect of Persian gum-gelatin based-pickering emulsion film loaded with Thyme essential oil on the storage quality of Barred mackerel (Scomberomorus commerrson) fillet. LWT 215: 117241.https://doi.org/10.1016/j.lwt.2024.117241 doi: 10.1016/j.lwt.2024.117241
    [21] Venkatesan R, Alrashed MM, Vetcher AA, et al. (2025) Next-generation food packaging: progress and challenges of biopolymer-based materials. Polymers (Basel) 17: 2299.https://doi.org/10.3390/polym17172299 doi: 10.3390/polym17172299
    [22] Xu C, Xin Z, Yu R, et al. (2025) The control strategies for E. coli O157: H7 in food processing at the physical, chemical and biological levels. Front Microbiol 16: 1598090.https://doi.org/10.3389/fmicb.2025.1598090
    [23] Das AK, Nanda PK, Das A, et al. (2019) Hazards and safety issues of meat and meat products, Food Safety and Human Health, Elsevier Academic Press, 145-168.https://doi.org/10.1016/B978-0-12-816333-7.00006-0
    [24] Salimnejhad Z, Hassanzadazar H, Aminzare M (2023) Epinecidin-1 (an active marine antimicrobial peptide): Effects on the survival of inoculated Escherichia Coli O157: H7 and Staphylococcus aureus bacteria, antioxidant, and sensory attributes in raw milk. Food Sci Nutr 11: 5573-5581.https://doi.org/10.1002/fsn3.3514 doi: 10.1002/fsn3.3514
    [25] Noori S, Zeynali F, Almasi H (2018) Antimicrobial and antioxidant efficiency of nanoemulsion-based edible coating containing ginger (Zingiber officinale) essential oil and its effect on safety and quality attributes of chicken breast fillets. Food Control 84: 312-320.https://doi.org/10.1016/j.foodcont.2017.08.015 doi: 10.1016/j.foodcont.2017.08.015
    [26] Almasi L, Radi M, Amiri S, et al. (2021) Fabrication and characterization of antimicrobial biopolymer films containing essential oil-loaded microemulsions or nanoemulsions. Food Hydrocoll 117: 106733.https://doi.org/10.1016/j.foodhyd.2021.106733 doi: 10.1016/j.foodhyd.2021.106733
    [27] Norcino LB, Mendes JF, Natarelli CVL, et al. (2020) Pectin films loaded with copaiba oil nanoemulsions for potential use as bio-based active packaging. Food Hydrocoll 106: 105862.https://doi.org/10.1016/j.foodhyd.2020.105862 doi: 10.1016/j.foodhyd.2020.105862
    [28] Ferreira RR, Souza AG, Rosa DS (2021) Essential oil-loaded nanocapsules and their application on PBAT biodegradable films. J Mol Liq 337: 116488.https://doi.org/10.1016/j.molliq.2021.116488 doi: 10.1016/j.molliq.2021.116488
    [29] Xavier LO, Sganzerla WG, Rosa GB, et al. (2021) Chitosan packaging functionalized with Cinnamodendron dinisii essential oil loaded zein: A proposal for meat conservation. Int J Biol Macromol 169: 183-193.https://doi.org/10.1016/j.ijbiomac.2020.12.093 doi: 10.1016/j.ijbiomac.2020.12.093
    [30] Nisar T, Wang ZC, Yang X, et al. (2018) Characterization of citrus pectin films integrated with clove bud essential oil: Physical, thermal, barrier, antioxidant and antibacterial properties. Int J Biol Macromol 106: 670-680.https://doi.org/10.1016/j.ijbiomac.2017.08.068 doi: 10.1016/j.ijbiomac.2017.08.068
    [31] Ghani S, Barzegar H, Noshad M, et al. (2018) The preparation, characterization and in vitro application evaluation of soluble soybean polysaccharide films incorporated with cinnamon essential oil nanoemulsions. Int J Biol Macromol 112: 197-202.https://doi.org/10.1016/j.ijbiomac.2018.01.145 doi: 10.1016/j.ijbiomac.2018.01.145
    [32] He J, Zhang W, Goksen G, et al. (2024) Functionalized sodium alginate composite films based on double-encapsulated essential oil of wampee nanoparticles: A green preservation material. Food Chem X 24: 101842.https://doi.org/10.1016/j.fochx.2024.101842 doi: 10.1016/j.fochx.2024.101842
    [33] Haridevamuthu B, Raj D, Chandran A, et al. (2024) Sustainable food packaging: Harnessing biowaste of Terminalia catappa L. for chitosan-based biodegradable active films for shrimp storage. Carbohydr Polym 329: 121798.https://doi.org/10.1016/j.carbpol.2024.121798 doi: 10.1016/j.carbpol.2024.121798
    [34] Nxumalo KA, Fawole OA, Aremu AO (2023) Development of chitosan-based active films with medicinal plant extracts for potential food packaging applications. Processes 12: 23.https://doi.org/10.3390/pr12010023 doi: 10.3390/pr12010023
    [35] Almasi H, Azizi S, Amjadi S (2020) Development and characterization of pectin films activated by nanoemulsion and Pickering emulsion stabilized marjoram (Origanum majorana L.) essential oil. Food Hydrocoll 99: 105338.https://doi.org/10.1016/j.foodhyd.2019.105338 doi: 10.1016/j.foodhyd.2019.105338
    [36] Ballester-Costa C, Sendra E, Fernández-López J, et al. (2016) Evaluation of the antibacterial and antioxidant activities of chitosan edible films incorporated with organic essential oils obtained from four Thymus species. J Food Sci Technol 53: 3374-3379.https://doi.org/10.1007/s13197-016-2312-y doi: 10.1007/s13197-016-2312-y
    [37] Rahim A, Rostiati, Alam N, et al. (2023) Physicochemical and sensory characteristics of edible films from phosphorylated arenga starches using sodium tripolyphosphate. IOP Conf Ser Earth Environ Sci 1253: 012126.https://doi.org/10.1088/1755-1315/1253/1/012126 doi: 10.1088/1755-1315/1253/1/012126
    [38] APHA (2015) Compendium of methods for the microbiological examination of foods. Compend Methods Microbiol Exam Foods.
    [39] Das A, Biswas S, Satyaprakash K, et al. (2024) Ratanjot (Alkanna tinctoria L.) root extract, rich in antioxidants, exhibits strong antimicrobial activity against foodborne pathogens and is a potential food preservative. Foods 13: 2254.https://doi.org/10.3390/foods13142254 doi: 10.3390/foods13142254
    [40] Witte VC, KRAUSE GF, Bailey MEF (1970) A new extraction method for determining 2-thiobarbituric acid values of pork and beef during storage. J Food Sci 35: 582-585.https://doi.org/10.1111/j.1365-2621.1970.tb04815.x doi: 10.1111/j.1365-2621.1970.tb04815.x
    [41] Kowalczyk A, Przychodna M, Sopata S, et al. (2020) Thymol and thyme essential oil—New insights into selected therapeutic applications. Molecules 25: 4125.https://doi.org/10.3390/molecules25184125 doi: 10.3390/molecules25184125
    [42] Marchese A, Arciola C, Barbieri R, et al. (2017) Update on monoterpenes as antimicrobial agents: a particular focus on p-cymene. Materials (Basel) 10: 947.https://doi.org/10.3390/ma10080947 doi: 10.3390/ma10080947
    [43] Keykhosravy K, Khanzadi S, Hashemi M, et al. (2020) Chitosan-loaded nanoemulsion containing Zataria Multiflora Boiss and Bunium persicum Boiss essential oils as edible coatings: Its impact on microbial quality of turkey meat and fate of inoculated pathogens. Int J Biol Macromol 150: 904-913.https://doi.org/10.1016/j.ijbiomac.2020.02.092 doi: 10.1016/j.ijbiomac.2020.02.092
    [44] Amiri E, Aminzare M, Azar HH, et al. (2019) Combined antioxidant and sensory effects of corn starch films with nanoemulsion of Zataria multiflora essential oil fortified with cinnamaldehyde on fresh ground beef patties. Meat Sci 153: 66-74.https://doi.org/10.1016/j.meatsci.2019.03.004 doi: 10.1016/j.meatsci.2019.03.004
    [45] Gupta P, Preet S, Ananya, et al. (2022) Preparation of Thymus vulgaris (L.) essential oil nanoemulsion and its chitosan encapsulation for controlling mosquito vectors. Sci Rep 12: 4335.https://doi.org/10.1038/s41598-022-07676-5 doi: 10.1038/s41598-022-07676-5
    [46] Liu J, Song F, Chen R, et al. (2022) Effect of cellulose nanocrystal-stabilized cinnamon essential oil Pickering emulsions on structure and properties of chitosan composite films. Carbohydr Polym 275: 118704.https://doi.org/10.1016/j.carbpol.2021.118704 doi: 10.1016/j.carbpol.2021.118704
    [47] Qin C, Li Z, Zhang J, et al. (2024) Preparation, physicochemical properties, antioxidant, and antibacterial activities of quaternized hawthorn pectin films incorporated with thyme essential oil. Food Packag Shelf Life 41: 101235.https://doi.org/10.1016/j.fpsl.2023.101235 doi: 10.1016/j.fpsl.2023.101235
    [48] Muñoz-Núñez C, Hevilla V, Zágora J, et al. (2025) Functionalization of chitosan-chitin nanowhiskers films by impregnation with essential oils via supercritical CO2. J Polym Environ 33: 96-111.https://doi.org/10.1007/s10924-024-03413-3 doi: 10.1007/s10924-024-03413-3
    [49] Dey SC, Al-Amin M, Rashid TU, et al. (2016) Preparation, characterization and performance evaluation of chitosan as an adsorbent for remazol red. Int J Latest Res Eng Technol 2: 52-62.
    [50] Weerapol Y, Manmuan S, Chuenbarn T, et al. (2023) Nanoemulsion-based orodispersible film formulation of guava leaf oil for inhibition of oral cancer cells. Pharmaceutics 15: 2631.https://doi.org/10.3390/pharmaceutics15112631 doi: 10.3390/pharmaceutics15112631
    [51] Wang J, Li L, Li Y, et al. (2025) Characterization of thyme essential oil microcapsules and potato starch/pectin composite films and their impact on the quality of chilled mutton. Food Chem 464: 141692.https://doi.org/10.1016/j.foodchem.2024.141692 doi: 10.1016/j.foodchem.2024.141692
    [52] Li Z, Jiang X, Huang H, et al. (2022) Chitosan/zein films incorporated with essential oil nanoparticles and nanoemulsions: Similarities and differences. Int J Biol Macromol 208: 983-994.https://doi.org/10.1016/j.ijbiomac.2022.03.200 doi: 10.1016/j.ijbiomac.2022.03.200
    [53] Sedlaříková J, Janalíková M, Rudolf O, et al. (2019) Chitosan/thyme oil systems as affected by stabilizing agent: Physical and antimicrobial properties. Coatings 9: 165.https://doi.org/10.3390/coatings9030165 doi: 10.3390/coatings9030165
    [54] Aziz SB, Abdulwahid RT, Rasheed MA, et al. (2017) Polymer blending as a novel approach for tuning the SPR peaks of silver nanoparticles. Polymers (Basel) 9: 486.https://doi.org/10.3390/polym9100486 doi: 10.3390/polym9100486
    [55] Qiao C, Ma X, Wang X, et al. (2021) Structure and properties of chitosan films: Effect of the type of solvent acid. LWT 135: 109984.https://doi.org/10.1016/j.lwt.2020.109984 doi: 10.1016/j.lwt.2020.109984
    [56] Zhao R, Guan W, Zhou X, et al. (2022) The physiochemical and preservation properties of anthocyanidin/chitosan nanocomposite-based edible films containing cinnamon-perilla essential oil pickering nanoemulsions. LWT 153: 112506.https://doi.org/10.1016/j.lwt.2021.112506 doi: 10.1016/j.lwt.2021.112506
    [57] Woźniak M, Młodziejewska J, Stefanowska K, et al. (2024) Chitosan-based films with essential oil components for food packaging. Coatings 14: 830.https://doi.org/10.3390/coatings14070830 doi: 10.3390/coatings14070830
    [58] Liu T, Liu L (2020) Fabrication and characterization of chitosan nanoemulsions loading thymol or thyme essential oil for the preservation of refrigerated pork. Int J Biol Macromol 162: 1509-1515.https://doi.org/10.1016/j.ijbiomac.2020.07.207 doi: 10.1016/j.ijbiomac.2020.07.207
    [59] Carvalho RA, de Oliveira ACS, Santos TA, et al. (2020) WPI and cellulose nanofibres bio-nanocomposites: Effect of thyme essential oil on the morphological, mechanical, barrier and optical properties. J Polym Environ 28: 231-241.https://doi.org/10.1007/s10924-019-01598-6 doi: 10.1007/s10924-019-01598-6
    [60] Rahman L, Goswami J, Choudhury D (2022) Assessment of physical and thermal behaviour of chitosan-based biocomposites reinforced with leaf and stem extract of Tectona grandis. Polym Polym Compos 30: 1-12.https://doi.org/10.1177/09673911221076305 doi: 10.1177/09673911221076305
    [61] Luna PBFG da S de, Caetano VF, Andrade MF de, et al. (2024) Effect of thyme essential oil on the properties of poly (butylene adipate-co-terephthalate)(PBAT). Polímeros 34: e20240005.https://doi.org/10.1590/0104-1428.20230009 doi: 10.1590/0104-1428.20230009
    [62] Mehdizadeh T, Tajik H, Razavi Rohani SM, et al. (2012) Antibacterial, antioxidant and optical properties of edible starch-chitosan composite film containing Thymus kotschyanus essential oil. Vet Res forum an Int Q J 3: 167-173.
    [63] Shen Z, Kamdem DP (2015) Development and characterization of biodegradable chitosan films containing two essential oils. Int J Biol Macromol 74: 289-296.https://doi.org/10.1016/j.ijbiomac.2014.11.046 doi: 10.1016/j.ijbiomac.2014.11.046
    [64] Amiri H (2012) Essential oils composition and antioxidant properties of three thymus species. Evidence-Based Complement Altern Med 2012: 1-8.https://doi.org/10.1155/2012/728065 doi: 10.1155/2012/728065
    [65] Al-Hilifi SA, Al-Ali RM, Petkoska AT (2022) Ginger essential oil as an active addition to composite chitosan films: Development and characterization. Gels 8: 327.https://doi.org/10.3390/gels8060327 doi: 10.3390/gels8060327
    [66] Sani IK, Pirsa S, Tağı S (2019) Preparation of chitosan/zinc oxide/Melissa officinalis essential oil nano-composite film and evaluation of physical, mechanical and antimicrobial properties by response surface method. Polym Test 79: 106004.https://doi.org/10.1016/j.polymertesting.2019.106004 doi: 10.1016/j.polymertesting.2019.106004
    [67] Peng Y, Li Y (2014) Combined effects of two kinds of essential oils on physical, mechanical and structural properties of chitosan films. Food Hydrocoll 36: 287-293.https://doi.org/10.1016/j.foodhyd.2013.10.013 doi: 10.1016/j.foodhyd.2013.10.013
    [68] Lian H, Shi J, Zhang X, et al. (2020) Effect of the added polysaccharide on the release of thyme essential oil and structure properties of chitosan based film. Food Packag Shelf Life 23: 100467.https://doi.org/10.1016/j.fpsl.2020.100467 doi: 10.1016/j.fpsl.2020.100467
    [69] Kanatt SR (2020) Development of active/intelligent food packaging film containing Amaranthus leaf extract for shelf life extension of chicken/fish during chilled storage. Food Packag Shelf Life 24: 100506.https://doi.org/10.1016/j.fpsl.2020.100506 doi: 10.1016/j.fpsl.2020.100506
    [70] Latif S, Ahmed M, Ahmed M, et al. (2024) Development of Plumeria alba extract supplemented biodegradable films containing chitosan and cellulose derived from bagasse and corn cob waste for antimicrobial food packaging. Int J Biol Macromol 266: 131262.https://doi.org/10.1016/j.ijbiomac.2024.131262 doi: 10.1016/j.ijbiomac.2024.131262
    [71] Khorshidi S, Mehdizadeh T, Ghorbani M (2021) The effect of chitosan coatings enriched with the extracts and essential oils of Elettaria Cardamomum on the shelf-life of chicken drumsticks vacuum-packaged at 4 ℃. J Food Sci Technol 58: 2924-2935.https://doi.org/10.1007/s13197-020-04794-8 doi: 10.1007/s13197-020-04794-8
    [72] Huang M, Wang H, Xu X, et al. (2020) Effects of nanoemulsion-based edible coatings with composite mixture of rosemary extract and ε-poly-l-lysine on the shelf life of ready-to-eat carbonado chicken. Food Hydrocoll 102: 105576.https://doi.org/10.1016/j.foodhyd.2019.105576 doi: 10.1016/j.foodhyd.2019.105576
    [73] Kamkar A, Molaee-aghaee E, Khanjari A, et al. (2021) Nanocomposite active packaging based on chitosan biopolymer loaded with nano-liposomal essential oil: Its characterizations and effects on microbial, and chemical properties of refrigerated chicken breast fillet. Int J Food Microbiol 342: 109071.https://doi.org/10.1016/j.ijfoodmicro.2021.109071 doi: 10.1016/j.ijfoodmicro.2021.109071
    [74] Wang W, Zhao D, Xiang Q, et al. (2021) Effect of cinnamon essential oil nanoemulsions on microbiological safety and quality properties of chicken breast fillets during refrigerated storage. LWT 152: 112376.https://doi.org/10.1016/j.lwt.2021.112376 doi: 10.1016/j.lwt.2021.112376
  • Reader Comments
  • © 2025 the Author(s), licensee AIMS Press. This is an open access article distributed under the terms of the Creative Commons Attribution License (http://creativecommons.org/licenses/by/4.0)
通讯作者: 陈斌, bchen63@163.com
  • 1. 

    沈阳化工大学材料科学与工程学院 沈阳 110142

  1. 本站搜索
  2. 百度学术搜索
  3. 万方数据库搜索
  4. CNKI搜索

Metrics

Article views(1830) PDF downloads(85) Cited by(0)

Article outline

Figures and Tables

Figures(10)  /  Tables(5)

/

DownLoad:  Full-Size Img  PowerPoint
Return
Return

Catalog