Research article

Interactive effects of biochar and ammonium fertilizer on wheat yield, soil acidity and their residual effect on soybean under no-tillage conditions

  • Published: 11 November 2025
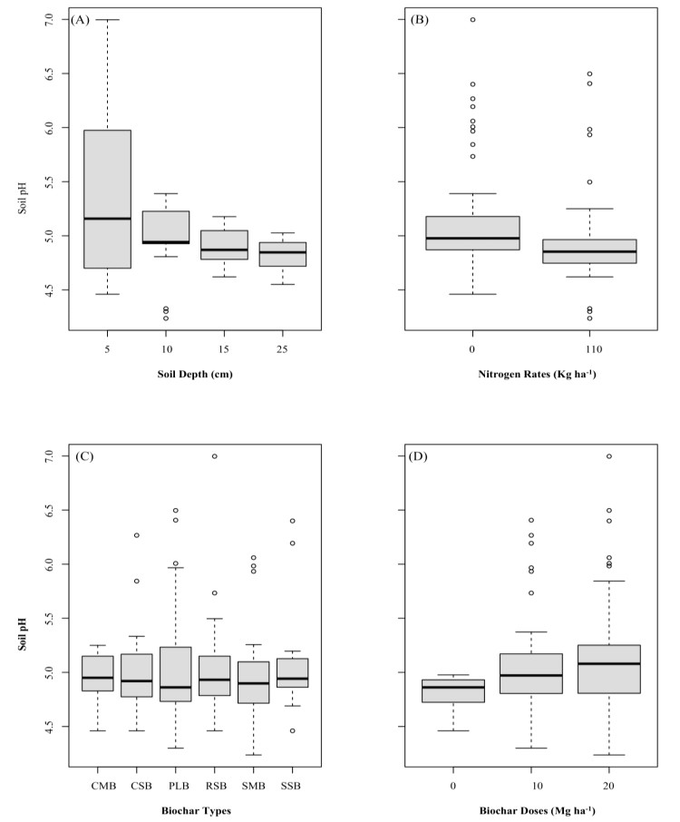
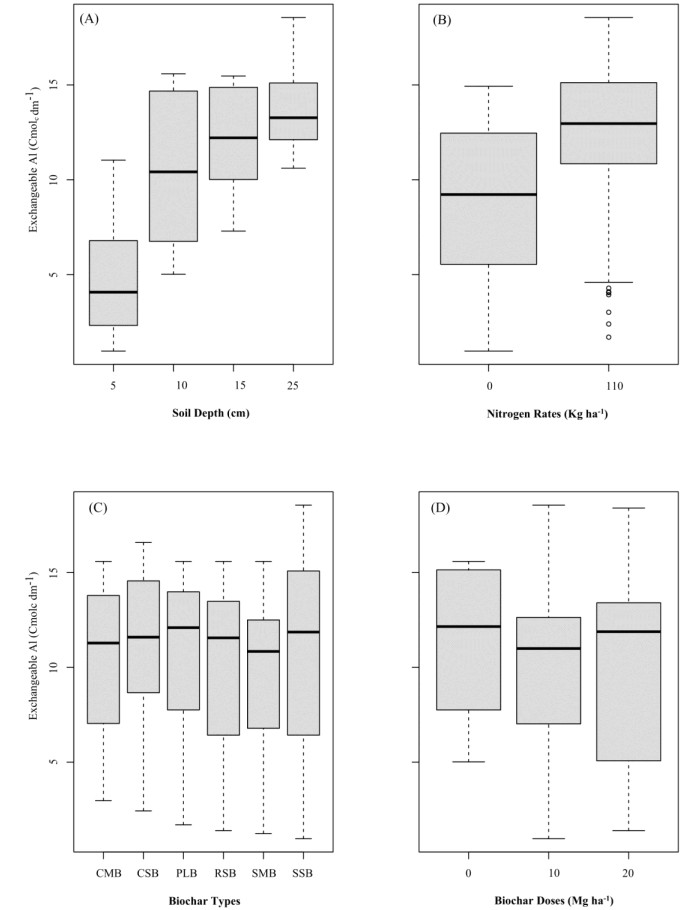
  • Reductions in soil organic matter (SOM) affect soil quality and fertility in tropical agricultural soils. Due to its recalcitrant nature, biochar persists longer in soils. A greenhouse experiment was conducted to assess the effect of biochar, locally produced from animal manures (poultry litter, swine, and cattle manures) and crop residues (rice, soybean, and corn straws) on soil pH, aluminum (Al) concentration, and yields of wheat, as well as its residual effects on soybean under a no-tillage planting system. Undisturbed soil was collected at a 25 cm depth in polyvinyl tubes (PVC) from a long-term no-tillage site. The experiment included six biochar types and two rates of each biochar type, with and without N fertilizer, leading to 26 treatment combinations including 2 controls. Two control treatments were used, one without biochar and N (control –N-B) and the other without biochar but with N (control +N-B). The treatments were replicated three times and laid out in a complete randomized design (CRD). Biochar was applied at rates of 10 Mg ha–1 (33.5 g column–1) and 20 Mg ha–1 (67 g column–1) and ammonium sulfate at 0 and 110 kg ha–1 (1.6 g ammonium sulfate column–1). The study showed that applying N along with biochar increased wheat and soybean growth and growth attributes. Additionally, applying biochar influenced the soil pH and exchangeable Al effectively in the topsoil. However, its impact decreased with increasing depth under the no-tillage planting system. These findings suggest that biochar, especially when applied with nitrogen fertilizer could improve plant performance and ameliorate soil acidity in no-tillage planting systems due to its recalcitrant nature.

    Citation: Qamar Sarfaraz, Rajesh Sharma, Gerson Laerson Drescher, Mohsin Zafar, Muhammad Izhar Shafi, Geoffrey Christie Anderson, Leandro Souza da Silva, Zakaria M. Solaiman. Interactive effects of biochar and ammonium fertilizer on wheat yield, soil acidity and their residual effect on soybean under no-tillage conditions[J]. AIMS Agriculture and Food, 2025, 10(4): 819-838. doi: 10.3934/agrfood.2025043

    Related Papers:

  • Reductions in soil organic matter (SOM) affect soil quality and fertility in tropical agricultural soils. Due to its recalcitrant nature, biochar persists longer in soils. A greenhouse experiment was conducted to assess the effect of biochar, locally produced from animal manures (poultry litter, swine, and cattle manures) and crop residues (rice, soybean, and corn straws) on soil pH, aluminum (Al) concentration, and yields of wheat, as well as its residual effects on soybean under a no-tillage planting system. Undisturbed soil was collected at a 25 cm depth in polyvinyl tubes (PVC) from a long-term no-tillage site. The experiment included six biochar types and two rates of each biochar type, with and without N fertilizer, leading to 26 treatment combinations including 2 controls. Two control treatments were used, one without biochar and N (control –N-B) and the other without biochar but with N (control +N-B). The treatments were replicated three times and laid out in a complete randomized design (CRD). Biochar was applied at rates of 10 Mg ha–1 (33.5 g column–1) and 20 Mg ha–1 (67 g column–1) and ammonium sulfate at 0 and 110 kg ha–1 (1.6 g ammonium sulfate column–1). The study showed that applying N along with biochar increased wheat and soybean growth and growth attributes. Additionally, applying biochar influenced the soil pH and exchangeable Al effectively in the topsoil. However, its impact decreased with increasing depth under the no-tillage planting system. These findings suggest that biochar, especially when applied with nitrogen fertilizer could improve plant performance and ameliorate soil acidity in no-tillage planting systems due to its recalcitrant nature.



    加载中


    [1] Agegnehu G, Bird MI, Nelson PN, et al. (2015) The ameliorating effects of biochar and compost on soil quality and plant growth on a Ferralsol. Soil Res 53: 1–12. https://doi.org/10.1071/SR14118 doi: 10.1071/SR14118
    [2] Lal R (2009) Chapter: Soils and food sufficiency: A review. In: Lichtfouse E, Navarrete M, Debaeke P, et al. (Eds.), Sustainable Agriculture, 25–49. https://doi.org/10.1007/978-90-481-2666-8_4
    [3] Izhar Shafi M, Adnan M, Fahad S, et al. (2020) Application of single superphosphate with humic acid improves the growth, yield and phosphorus uptake of wheat (Triticum aestivum L.) in calcareous soil. Agronomy 10: 1224. https://doi.org/10.3390/agronomy10091224 doi: 10.3390/agronomy10091224
    [4] Chan K, Van Zwieten L, Meszaros I, et al. (2008) Using poultry litter biochars as soil amendments. Soil Res 46: 437–444. https://doi.org/10.1071/SR08036 doi: 10.1071/SR08036
    [5] Solaiman ZM, Shafi MI, Beamont E, et al. (2020) Poultry litter biochar increases mycorrhizal colonisation, soil fertility and cucumber yield in a fertigation system on sandy soil. Agriculture 10: 480. https://doi.org/10.3390/agriculture10100480 doi: 10.3390/agriculture10100480
    [6] Solaiman ZM, Blackwell P, Shafi MI, et al. (2025) Co-application of biochar and phosphorus increases soil microbial biomass, mycorrhizal colonization, growth, and nutrition of subterranean clover. AIMS Microbiol 11: 59–73. https://doi.org/10.3934/microbiol.2025004 doi: 10.3934/microbiol.2025004
    [7] Solaiman ZM, Abbott LK, Murphy DV (2019) Biochar phosphorus concentration dictates mycorrhizal colonisation, plant growth and soil phosphorus cycling. Scientific Rep 9: 5062. https://doi.org/10.1038/s41598-019-41671-7 doi: 10.1038/s41598-019-41671-7
    [8] Solaiman ZM, Murphy DV, Abbott LK (2012) Biochars influence seed germination and early growth of seedlings. Plant Soil 353: 273–287. https://doi.org/10.1007/s11104-011-1031-4 doi: 10.1007/s11104-011-1031-4
    [9] Sarfaraz Q, da Silva LS, Drescher GL, et al. (2020) Characterization and carbon mineralization of biochars produced from different animal manures and plant residues. Scientific Rep10: 955. https://doi.org/10.1038/s41598-020-57987-8 doi: 10.1038/s41598-020-57987-8
    [10] Masud M, Li JY, Xu YK (2014) Use of alkaline slag and crop residue biochars to promote base saturation and reduce acidity of an acidic Ultisol. Pedosphere 24: 791–798. https://doi.org/10.1016/S1002-0160(14)60066-7 doi: 10.1016/S1002-0160(14)60066-7
    [11] Nelissen V, Rütting T, Huygens D, et al. (2012) Maize biochars accelerate short-term soil nitrogen dynamics in a loamy sand soil. Soil Biol Biochem 55: 20–27. https://doi.org/10.1016/j.soilbio.2012.05.019 doi: 10.1016/j.soilbio.2012.05.019
    [12] Kammann CI, Linsel S, Gößling JW, et al. (2011) Influence of biochar on drought tolerance of Chenopodium quinoa Willd and on soil–plant relations. Plant Soil 345: 195–210. https://doi.org/10.1007/s11104-011-0771-5 doi: 10.1007/s11104-011-0771-5
    [13] Bayer C, Gomes J, Zanatta JA, et al. (2015) Soil nitrous oxide emissions as affected by long-term tillage, cropping systems and nitrogen fertilization in Southern Brazil. Soil Tillage Res 146: 213–222. https://doi.org/10.1016/j.still.2014.10.011 doi: 10.1016/j.still.2014.10.011
    [14] Tedesco MJ, Gianello C, Bissani C, et al. (1995) Análise de solo, plantas e outros materiais.[Analysis of soil, plants and other materials.] 2nd ed., Departamento de Solos da Universidade Federal do Rio Grande do Sul, Porto Alegre, 174.
    [15] da Silva FC (2009) Manual de análises químicas de solos, plantas e fertilizantes. Brasília, DF: Embrapa Informação Tecnológica; Rio de Janeiro: Embrapa Solos, 2 ed., rev. e ampl. 1–627.
    [16] Murphy J, Riley JP (1962) A modified single solution method for the determination of phosphate in natural waters. Analytica Chimica Acta 27: 31–36. https://doi.org/10.1016/S0003-2670(00)88444-5 doi: 10.1016/S0003-2670(00)88444-5
    [17] Solaiman ZM, Blackwell P, Abbott LK, et al. (2010) Direct and residual effect of biochar application on mycorrhizal root colonisation, growth and nutrition of wheat. Soil Res 48: 546–554. https://doi.org/10.1071/SR10002 doi: 10.1071/SR10002
    [18] Wisnubroto EI, Utomo WH, Indrayatie ER (2017) Residual effect of biochar on growth and yield of red chili (Capsicum annum L.). J Advan Agricul Technol 4: No.1. https://doi.org/10.18178/joaat.4.1.28-31 doi: 10.18178/joaat.4.1.28-31
    [19] Solaiman ZM, Shafi MI, Beamont E, et al. (2020) Poultry litter biochar increases mycorrhizal colonisation, soil fertility and cucumber yield in a fertigation system on sandy soil. Agriculture 10: 480. https://doi.org/10.3390/agriculture10100480 doi: 10.3390/agriculture10100480
    [20] Bista P, Ghimire R, Machado S, et al. (2019) Biochar effects on soil properties and wheat biomass vary with fertility management. Agronomy 9: 623. https://doi.org/10.3390/agronomy9100623 doi: 10.3390/agronomy9100623
    [21] Steiner C, Glaser B, Teixeira WG, et al. (2008) Nitrogen retention and plant uptake on a highly weathered central Amazonian Ferralsol amended with compost and charcoal. J Plant Nutr Soil Sci 171: 893–899. https://doi.org/10.1002/jpln.200625199 doi: 10.1002/jpln.200625199
    [22] Wang J, Pan X, Liu Y, et al. (2012) Effects of biochar amendment in two soils on greenhouse gas emissions and crop production. Plant Soil 360: 287–298. https://doi.org/10.1007/s11104-012-1250-3 doi: 10.1007/s11104-012-1250-3
    [23] Prommer J, Wanek W, Hofhansl F, et al. (2014) Biochar decelerates soil organic nitrogen cycling but stimulates soil nitrification in a temperate arable field trial. PloS One 9: e86388. https://doi.org/10.1371/journal.pone.0086388 doi: 10.1371/journal.pone.0086388
    [24] Abbasi MK, Anwar AA (2015) Ameliorating effects of biochar derived from poultry manure and white clover residues on soil nutrient status and plant growth promotion-greenhouse experiments. PloS One 10: e0131592. https://doi.org/10.1371/journal.pone.0131592 doi: 10.1371/journal.pone.0131592
    [25] Widowati W, Asnah A (2014) Biochar can enhance potassium fertilization efficiency and economic feasibility of maize cultivation. J Agricult Sci 6: No.2. https://doi.org/10.5539/jas.v6n2p24 doi: 10.5539/jas.v6n2p24
    [26] Spokas KA, Novak JM, Venterea RT (2012) Biochar's role as an alternative N-fertilizer: ammonia capture. Plant Soil 350: 35–42. https://doi.org/10.1007/s11104-011-0930-8 doi: 10.1007/s11104-011-0930-8
    [27] Mandal S, Donner E, Vasileiadis S, et al. (2018) The effect of biochar feedstock, pyrolysis temperature, and application rate on the reduction of ammonia volatilisation from biochar-amended soil. Sci Total Environ 627: 942–950. https://doi.org/10.1016/j.scitotenv.2018.01.312 doi: 10.1016/j.scitotenv.2018.01.312
    [28] Chintala R, Mollinedo J, Schumacher TE, et al. (2014) Effect of biochar on chemical properties of acidic soil. Arch Agron Soil Sci 60: 393–404. https://doi.org/10.1080/03650340.2013.789870 doi: 10.1080/03650340.2013.789870
    [29] Gul S, Whalen JK, Thomas BW, et al. (2015) Physico-chemical properties and microbial responses in biochar-amended soils: mechanisms and future directions. Agric Ecosyst Environ 206: 46–59. https://doi.org/10.1016/j.agee.2015.03.015 doi: 10.1016/j.agee.2015.03.015
    [30] Li W, Feng X, Song W, et al. (2018) Transformation of phosphorus in speciation and bioavailability during converting poultry litter to biochar. Front Sust Food Syst 2: 20. https://doi.org/10.3389/fsufs.2018.00020 doi: 10.3389/fsufs.2018.00020
    [31] Luo X, Chen L, Zheng H, et al. (2016) Biochar addition reduced net N mineralization of a coastal wetland soil in the Yellow River Delta, China. Geoderma 282: 120–128. https://doi.org/10.1016/j.geoderma.2016.07.015 doi: 10.1016/j.geoderma.2016.07.015
    [32] Ritchie G (1994) Role of dissolution and precipitation of minerals in controlling soluble aluminum in acidic soils. Advan Agron 53: 47. https://doi.org/10.1016/S0065-2113(08)60612-4 doi: 10.1016/S0065-2113(08)60612-4
    [33] Yuan JH, Xu RK (2011) The amelioration effects of low temperature biochar generated from nine crop residues on an acidic Ultisol. Soil Use Manag 27: 110–115. https://doi.org/10.1111/j.1475-2743.2010.00317.x doi: 10.1111/j.1475-2743.2010.00317.x
    [34] Iqbal A, Shafi MI, Rafique M, et al. (2023) Biofertilizers to improve soil health and crop yields. In: Fahad S, Danish S, Datta R, et al. (Eds.), Sustainable Agriculture Reviews 61: Biochar to Improve Crop Production and Decrease Plant Stress under a Changing Climate, Springer, 247–272. https://doi.org/10.1007/978-3-031-26983-7_11
    [35] Mehmood K, Li JY, Jiang J, et al. (2017) Effect of low energy-consuming biochars in combination with nitrate fertilizer on soil acidity amelioration and maize growth. J Soils Sed 17: 790–799. https://doi.org/10.1007/s11368-015-1219-y doi: 10.1007/s11368-015-1219-y
    [36] Steiner C, Teixeira WG, Lehmann J, et al. (2007) Long term effects of manure, charcoal and mineral fertilization on crop production and fertility on a highly weathered Central Amazonian upland soil. Plant Soil 291: 275–290.
    [37] Kabir E, Kim KH, Kwon EE (2023) Biochar as a tool for the improvement of soil and environment. Front Environ Sci 11: 1324533. https://doi.org/10.3389/fenvs.2023.1324533 doi: 10.3389/fenvs.2023.1324533
    [38] Iboko MP, Dossou-Yovo ER, Obalum SE, et al. (2023) Paddy rice yield and greenhouse gas emissions: Any trade-off due to co-application of biochar and nitrogen fertilizer? A systematic review. Heliyon 9: e22132. https://doi.org/10.1016/j.heliyon.2023.e22132 doi: 10.1016/j.heliyon.2023.e22132
    [39] Iboko MP, Dossou-Yovo ER, Obalum SE, et al. (2025) Biochar and nitrogen fertilizer application increased yield and economic benefits in no-till lowland rice production system. Arch Agron Soil Sci 71: 1–27. https://doi.org/10.1080/03650340.2025.2515104 doi: 10.1080/03650340.2025.2515104
    [40] Sarfaraz Q, Silva LSD, Drescher GL, et al. (2020) Characterization and carbon mineralization of biochars produced from different animal manures and plant residues.Sci Rep 10: 955. https://doi.org/10.1038/s41598-020-57987-8 doi: 10.1038/s41598-020-57987-8
  • Reader Comments
  • © 2025 the Author(s), licensee AIMS Press. This is an open access article distributed under the terms of the Creative Commons Attribution License (http://creativecommons.org/licenses/by/4.0)
通讯作者: 陈斌, bchen63@163.com
  • 1. 

    沈阳化工大学材料科学与工程学院 沈阳 110142

  1. 本站搜索
  2. 百度学术搜索
  3. 万方数据库搜索
  4. CNKI搜索

Metrics

Article views(1619) PDF downloads(112) Cited by(0)

Article outline

Figures and Tables

Figures(2)  /  Tables(7)

/

DownLoad:  Full-Size Img  PowerPoint
Return
Return

Catalog