Research article Topical Sections

Hydrolysis of molten CaCl2-CaF2 with additions of CaO

  • Published: 30 October 2017
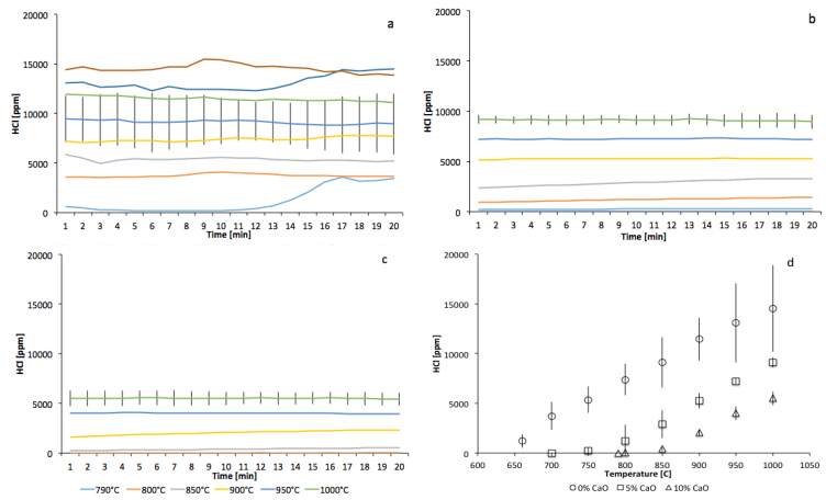
  • Calcium halide based molten salts have recently attracted interest for a number of applications such as direct reduction of oxides for metal production and as liquefying agent in cyclic sorption processes for CO2 by CaO from dilute flue gases (Ca-looping). A fundamental aspect of these melts is the possible hydrolysis reaction upon exposure to gaseous H2O forming corrosive and poisonous hydrogen halides. In this work experiments have been performed investigating the formation of HCl and HF from a molten salt consisting of a 13.8 wt% CaF2 in CaCl2 eutectic exposed to a flowing gas consisting of 10 vol% H2O in N2. Hydrolysis has been investigated as function of content of CaO and temperature. HCl and HF are shown to be formed at elevated temperatures; HCl forms to a substantially larger extent than HF. Addition of CaO has a marked, limiting effect on the hydrolysis. Thermodynamic modeling of the reaction indicates activity coefficients for CaO above unity in the system. For cyclic CO2-capture based on thermal swing, it is advisable to keep the temperature in the carbonation (absorption) reactor well below 850 ℃ while maintaining a high CaO content if molten CaCl2 is employed. Similar conclusions can be drawn with regards to CaF2.

    Citation: Espen Olsen, Maria Hansen, Heidi S. Nygård. Hydrolysis of molten CaCl2-CaF2 with additions of CaO[J]. AIMS Energy, 2017, 5(6): 873-886. doi: 10.3934/energy.2017.6.873

    Related Papers:

  • Calcium halide based molten salts have recently attracted interest for a number of applications such as direct reduction of oxides for metal production and as liquefying agent in cyclic sorption processes for CO2 by CaO from dilute flue gases (Ca-looping). A fundamental aspect of these melts is the possible hydrolysis reaction upon exposure to gaseous H2O forming corrosive and poisonous hydrogen halides. In this work experiments have been performed investigating the formation of HCl and HF from a molten salt consisting of a 13.8 wt% CaF2 in CaCl2 eutectic exposed to a flowing gas consisting of 10 vol% H2O in N2. Hydrolysis has been investigated as function of content of CaO and temperature. HCl and HF are shown to be formed at elevated temperatures; HCl forms to a substantially larger extent than HF. Addition of CaO has a marked, limiting effect on the hydrolysis. Thermodynamic modeling of the reaction indicates activity coefficients for CaO above unity in the system. For cyclic CO2-capture based on thermal swing, it is advisable to keep the temperature in the carbonation (absorption) reactor well below 850 ℃ while maintaining a high CaO content if molten CaCl2 is employed. Similar conclusions can be drawn with regards to CaF2.


    加载中
    [1] Chu S (2009) Carbon capture and sequestration. Science 325: 1599. doi: 10.1126/science.1181637
    [2] Macdowell N, Florin N, Buchard A, et al. (2010) An overview of CO2 capture technologies. Energ Environ Sci 3: 1645–1669. doi: 10.1039/c004106h
    [3] Dean CC, Blamey J, Florin NH, et al. (2011) The calcium looping cycle for CO2 capture from power generation, cement manufacture and hydrogen production. Chem Eng Res Des 89: 836–855. doi: 10.1016/j.cherd.2010.10.013
    [4] Junk M, Reitz M, Strohle J, et al. (2016) Technical and economical assessment of the indirectly heated carbonate looping process. J Energ Resour Technol 138.
    [5] Abanades JC, Alvarez D (2003) Conversion limits in the reaction of CO2 with lime. Energ Fuel 17: 308–315. doi: 10.1021/ef020152a
    [6] Donat F, Florin NH, Anthony EJ, et al. (2012) Influence of high-temperature steam on the reactivity of CaO sorbent for CO2 capture. Environ Sci Technol 46: 1262–1269. doi: 10.1021/es202679w
    [7] Aljeboori MJ, Nguyen M, Dean C, et al. (2013) Improvement of limestone-based CO2 sorbents for Ca looping by HBr and other mineral acids. Ind Eng Chem Res 52: 1426–1433. doi: 10.1021/ie302198g
    [8] Liu W, Yin J, Qin C, et al. (2012) Synthesis of CaO-based sorbents for CO2 capture by a spray-drying technique. Environ Sci Technol 46: 11267–11272. doi: 10.1021/es301783b
    [9] Stendardo S, Andersen LK, Herce C (2013) Self-activation and effect of regeneration conditions in CO2-carbonate looping with CaO-Ca12Al14O33 sorbent. Chem Eng J 220: 383–394. doi: 10.1016/j.cej.2013.01.045
    [10] Olsen E, Tomkute V (2013) Carbon capture in molten salts. Energy Sci Eng 1: 144–150. doi: 10.1002/ese3.24
    [11] Tomkute V, Solheim A, Olsen E (2013) Investigation of high-temperature CO2 capture by CaO in CaCl2 molten salt. Energ Fuel 27: 5373–5379.
    [12] Tomkute V, Solheim A, Olsen E (2014) CO2 capture by CaO in molten CaF2-CaCl2: optimization of the process and cyclability of CO2 capture. Energ Fuel 28: 5345–5353. doi: 10.1021/ef5010896
    [13] Chen GZ, Fray DJ, Farthing TW (2000) Direct electrochemical reduction of titanium dioxide to titanium in molten calcium chloride. Nature 407: 361–364. doi: 10.1038/35030069
    [14] Chen GZ, Fray DJ (2006) A morphological study of the FFC chromium and titanium powders. Miner Process Extr Metall Imm Trans 115: 49–54. doi: 10.1179/174328506X91365
    [15] Vishnu DSM, Sanil N, Mohandas KS, et al. (2017) Factors influencing the direct electrochemical reduction of Nb2O5 pellets to Nb metal in molten chloride salts. Acta Metall Sin 30: 218–227. doi: 10.1007/s40195-016-0503-1
    [16] Kipouros GJ, Sadoway DR (2001) A thermochemical analysis of the production of anhydrous MgCl2. J Light Metals 2: 111–117.
    [17] Roine A (2008) HSC Chemistry 6. 6.1 ed. Pori Finland. Outokumpu Research.
    [18] Kondo H, Asaki Z, Kondo Y (1978) Hydrolysis of fused calcium chloride at high temperature. Metall Trans B 9: 477–483. doi: 10.1007/BF02654424
    [19] Hanf NW. Nickel Segregation Research at Anglo American Research Laboratories. Part 2. Hydrogen Chloride Evolution in the Nickel Segregation system. In: Dor AA, editor. Proceedings of the Panel Discussion on Nickel Segregation, 1972 Feb.23, San Francisco CA. American Institute of Mining, Metallurgical, and Petroleum Engineers, 62–71.
    [20] Wang S, Zhang F, Liu X, et al. (2008) CaO solubility and activity coefficient in molten salts CaCl2–x (x = 0, NaCl, KCl, SrCl2, BaCl2 and LiCl). Thermochim Acta 470: 105–107. doi: 10.1016/j.tca.2008.02.007
    [21] Sonntag RE, Borgnakke C (2007) Introduction to Engineering Thermodynamics. Hoboken NJ : John Wiley & Sons, 489 pl.
    [22] Freidina EB, Fray DJ (2000) Phase diagram of the system CaCl2–CaCO3. Thermochim Acta 351: 107–108. doi: 10.1016/S0040-6031(00)00420-2
    [23] Shen VK, Siderius DW, Krekelberg WP, et al. (2010) ACerS-NIST Phase Equilibria Diagrams NIST Standard Reference Database, 3.1 ed., Westerville OH : The American Ceramic Society, 04908.
    [24] Wenz DA, Johnson I, Wolson RD (1969) CaCl2-rich region of CaCl2-CaF2-CaO system. J Chem Eng Data 14: 250–251. doi: 10.1021/je60041a027
  • Reader Comments
  • © 2017 the Author(s), licensee AIMS Press. This is an open access article distributed under the terms of the Creative Commons Attribution License (http://creativecommons.org/licenses/by/4.0)
通讯作者: 陈斌, bchen63@163.com
  • 1. 

    沈阳化工大学材料科学与工程学院 沈阳 110142

  1. 本站搜索
  2. 百度学术搜索
  3. 万方数据库搜索
  4. CNKI搜索

Metrics

Article views(9615) PDF downloads(1260) Cited by(18)

Article outline

Figures and Tables

Figures(5)  /  Tables(3)

Other Articles By Authors

/

DownLoad:  Full-Size Img  PowerPoint
Return
Return

Catalog