Research article

Propagation dynamics of an influenza transmission model with nonlocal dispersal

  • Published: 16 September 2025
  • MSC : 35K57, 35R20, 92D25

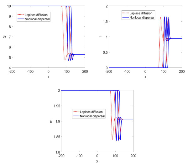
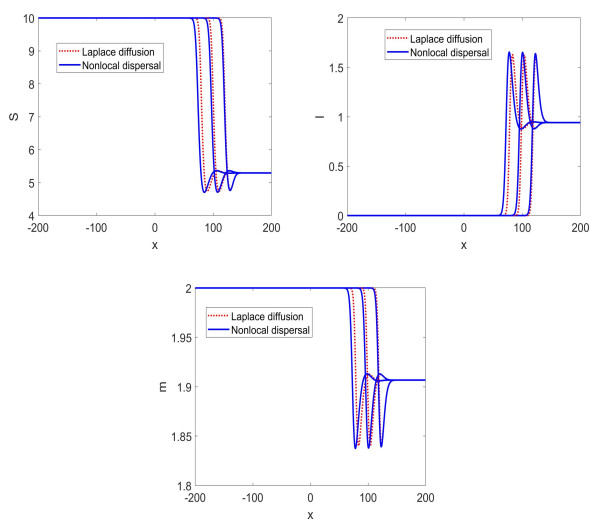
  • This paper investigated the existence and nonexistence of traveling wave solutions for a nonlocal dispersal influenza transmission model with human mobility. We established the existence of nonnegative entire solutions by combining the upper-lower solution method with Schauder's fixed point theorem. Appropriate Lyapunov functionals were constructed to determine the asymptotic behavior of solutions at $ +\infty $. Due to the influence of the nonlocal dispersal operator, the asymptotic behavior at $ -\infty $ for the critical wave speed could not be directly established via the Hartman-Grobman theorem. Through careful analysis of the wave equation, we overcame this difficulty and established the desired asymptotic properties. Finally, we used numerical simulations to verify the existence of the traveling wave solution, and compared the effects of the nonlocal dispersal pattern and the local dispersal pattern on the wave speed.

    Citation: Xuerui Li, Boyi Wang, Yuanyuan Wu. Propagation dynamics of an influenza transmission model with nonlocal dispersal[J]. AIMS Mathematics, 2025, 10(9): 21422-21451. doi: 10.3934/math.2025952

    Related Papers:

  • This paper investigated the existence and nonexistence of traveling wave solutions for a nonlocal dispersal influenza transmission model with human mobility. We established the existence of nonnegative entire solutions by combining the upper-lower solution method with Schauder's fixed point theorem. Appropriate Lyapunov functionals were constructed to determine the asymptotic behavior of solutions at $ +\infty $. Due to the influence of the nonlocal dispersal operator, the asymptotic behavior at $ -\infty $ for the critical wave speed could not be directly established via the Hartman-Grobman theorem. Through careful analysis of the wave equation, we overcame this difficulty and established the desired asymptotic properties. Finally, we used numerical simulations to verify the existence of the traveling wave solution, and compared the effects of the nonlocal dispersal pattern and the local dispersal pattern on the wave speed.



    加载中


    [1] S. Ai, Y. Du, Y. Jiao, R. Peng, Traveling wave solutions of a class of multi-species non-cooperative reaction-diffusion systems, Nonlinearity, 36 (2023), 2371–2402. https://doi.org/10.1088/1361-6544/acc303 doi: 10.1088/1361-6544/acc303
    [2] F. Andreu-Vaillo, J. M. Mazón, J. D. Rossi, J. Toledo-Melero, Nonlocal diffusion problems, American Mathematical Society, 2010. https://doi.org/10.1090/surv/165
    [3] M. Balinska, C. Rizzo, Behavioural responses to influenza pandemics: What do we know? PLoS. Curr., 2009. https://doi.org/10.1371/currents.rrn1037
    [4] Y. Cai, W. Wang, Global stability for an influenza transmission model incorporating human mobility behavior, Int. J. Biomath., 10 (2017) 1750100. https://doi.org/10.1142/S1793524517501005
    [5] A. Ducrot, J. S. Guo, G. Lin, S. Pan, The spreading speed and the minimal wave speed of a predator-prey system with nonlocal dispersal, Z. Angew. Math. Phys., 70 (2019), 146. https://doi.org/10.1007/s00033-019-1188-x doi: 10.1007/s00033-019-1188-x
    [6] P. Fife, Some nonclassical trends in parabolic and parabolic-like evolutions, In: Trends in nonlinear analysis, Berlin: Springer, 2003,153–191. https://doi.org/10.1007/978-3-662-05281-5_3
    [7] R. Fisher, The wave of advance of advantageous genes, Ann. Eugenics 7 (1937), 335–369. https://doi.org/10.1111/j.1469-1809.1937.tb02153.x
    [8] J. K. Hale, Ordinary differential equations, Wiley-Inscience, 1969.
    [9] J. He, G. B. Zhang, Propagation dynamics of a nonlocal dispersal Zika transmission model with general incidence, Math. Method. Appl. Sci., 48 (2025), 2886–2912. https://doi.org/10.1002/mma.10466 doi: 10.1002/mma.10466
    [10] V. Hutson, S. Martinez, K. Mischaikow, G. T. Vickers, The evolution of dispersal, J. Math. Biol. 47 (2003), 483–517. https://doi.org/10.1007/s00285-003-0210-1
    [11] A. N. Kolmogorov, I. G. Petrovskii, N. S. Piskunov, Study of a diffusion equation that is related to the growth of a quality of matter, and its application to a biological problem, Byul. Mosk. Gos. Univ. Ser. A Mat. Mekh., 1 (1937), 26.
    [12] Y. Li, W. T. Li, F. Y. Yang, Traveling waves for a nonlocal dispersal SIR model with delay and external supplies, Appl. Math. Comput., 247 (2014), 723–740. https://doi.org/10.1016/j.amc.2014.09.072 doi: 10.1016/j.amc.2014.09.072
    [13] X. Liang, X. Q. Zhao, Asymptotic speeds of spread and traveling waves for monotone semiflows with applications, Commun. Pure Appl. Math., 60 (2007), 1–40. https://doi.org/10.1002/cpa.20154 doi: 10.1002/cpa.20154
    [14] G. Lin, Invasion traveling wave solutions of a predator-prey system, Nonlinear Anal. Theor., 96 (2014), 47–58. https://doi.org/10.1016/j.na.2013.10.024 doi: 10.1016/j.na.2013.10.024
    [15] D. K. Lv, J. B. Wang, Traveling wave solutions for the nonlocal dispersal competition system with stage structure, Discrete Cont. Dyn. B, 30 (2025), 2514–2538. https://doi.org/10.3934/dcdsb.2024175 doi: 10.3934/dcdsb.2024175
    [16] J. D. Murray, Mathematical biology: I. An introduction, third edition, New York: Springer-Verlag, 2002. https://doi.org/10.1007/b98868
    [17] L. Perko, Differential equations and dynamical systems, New York: Springer, 2001. https://doi.org/10.1007/978-1-4613-0003-8
    [18] X. F. San, Z. C. Wang, Z. Feng, Traveling waves for an epidemic system with bilinear incidence in a periodic patchy environment, J. Differ. Equations, 357 (2023), 98–137. https://doi.org/10.1016/j.jde.2023.02.006 doi: 10.1016/j.jde.2023.02.006
    [19] L. Shi, Z. Chen, P. Wu, Spatial and temporal dynamics of COVID-19 with nonlocal dispersal in heterogeneous environment: Modeling, analysis and simulation, Chaos Soliton. Fract., 174 (2023), 113891. https://doi.org/10.1016/j.chaos.2023.113891 doi: 10.1016/j.chaos.2023.113891
    [20] H. Shu, X. Pan, X. S. Wang, J. Wu, Traveling waves in epidemic models: Non-monotone diffusive systems with non-monotone incidence rates, J. Dyn. Differ. Equ., 31 (2019), 883–901. https://doi.org/10.1007/s10884-018-9683-x doi: 10.1007/s10884-018-9683-x
    [21] W. Wang, Modeling adaptive behavior in influenza transmission, Math. Model. Nat. Phenom., 7 (2012), 253–262. https://doi.org/10.1051/mmnp/20127315 doi: 10.1051/mmnp/20127315
    [22] X. S. Wang, H. Wang, J. Wu, Traveling waves of diffusive predator-prey systems: Disease outbreak propagation, Discr. Cont. Dynam. Syst., 32 (2012), 3303–3324. https://doi.org/10.3934/dcds.2012.32.3303 doi: 10.3934/dcds.2012.32.3303
    [23] P. Wu, X. Wang, H. Wang, Threshold dynamics of a nonlocal dispersal HIV/AIDS epidemic model with spatial heterogeneity and antiretroviral therapy, Commun. Nonlinear Sci., 115 (2022), 106728. https://doi.org/10.1016/j.cnsns.2022.106728 doi: 10.1016/j.cnsns.2022.106728
    [24] J. Wu, X. Zou, Traveling wave fronts of reaction-diffusion systems with delay, J. Dyn. Differ. Equ., 13 (2001), 651–687. https://doi.org/10.1023/A:1016690424892 doi: 10.1023/A:1016690424892
    [25] R. Wu, X. Q. Zhao, Spatial invasion of a birth pulse population with nonlocal dispersal, SIAM J. Appl. Math., 79 (2019), 1075–1097. https://doi.org/10.1137/18M120980 doi: 10.1137/18M120980
    [26] F. Y. Yang, W. T. Li, Traveling waves in a nonlocal dispersal SIR model with critical wave speed, J. Math. Anal. Appl., 458 (2018), 1131–1146. https://doi.org/10.1016/j.jmaa.2017.10.016 doi: 10.1016/j.jmaa.2017.10.016
    [27] F. Y. Yang, W. T. Li, J. B. Wang, Wave propagation for a class of non-local dispersal non-cooperative systems, P. Roy. Soc. Edinb. A, 150 (2020), 1965–1997. https://doi.org/10.1017/prm.2019.4 doi: 10.1017/prm.2019.4
    [28] L. Zhang, Z. C. Wang, Spatial propagation phenomena for diffusive SIS epidemic models, J. Differ. Equations, 423 (2025), 240–285. https://doi.org/10.1016/j.jde.2024.12.039 doi: 10.1016/j.jde.2024.12.039
    [29] R. Zhang, J. Wang, S. Liu, Traveling wave solutions for a class of discrete diffusive SIR epidemic model, J. Nonlinear Sci., 31 (2021), 10. https://doi.org/10.1007/s00332-020-09656-3 doi: 10.1007/s00332-020-09656-3
    [30] T. Zhang, W. Wang, K. Wang, Minimal wave speed for a class of non-cooperative diffusion-reaction system, J. Differ. Equations, 260 (2016), 2763–2791. https://doi.org/10.1016/j.jde.2015.10.017 doi: 10.1016/j.jde.2015.10.017
    [31] X. Zhang, S. L. Wu, L. Zou, C. H. Hsu, Spreading dynamics for a time-periodic nonlocal dispersa epidemic model with delay and vaccination, J. Math. Biol., 90 (2025), 54. https://doi.org/10.1007/s00285-025-02214-z doi: 10.1007/s00285-025-02214-z
    [32] X. D. Zhao, F. Y. Yang, W. T. Li, Traveling waves for a nonlocal dispersal predator-prey model with two preys and one predator, Z. Angew. Math. Phys., 73 (2022), 124. https://doi.org/10.1007/s00033-022-01753-5 doi: 10.1007/s00033-022-01753-5
  • Reader Comments
  • © 2025 the Author(s), licensee AIMS Press. This is an open access article distributed under the terms of the Creative Commons Attribution License (http://creativecommons.org/licenses/by/4.0)
通讯作者: 陈斌, bchen63@163.com
  • 1. 

    沈阳化工大学材料科学与工程学院 沈阳 110142

  1. 本站搜索
  2. 百度学术搜索
  3. 万方数据库搜索
  4. CNKI搜索

Metrics

Article views(998) PDF downloads(28) Cited by(0)

Article outline

Figures and Tables

Figures(3)  /  Tables(1)

Other Articles By Authors

/

DownLoad:  Full-Size Img  PowerPoint
Return
Return

Catalog