Research article Special Issues

Recovering of dual time-varying source terms in a system of coupled time-fractional diffusion equations

  • Published: 12 December 2025
  • MSC : 35R30, 35R11, 35K57, 65M32

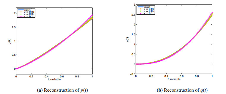
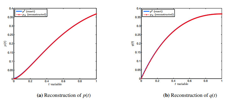
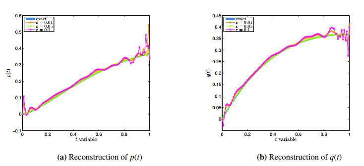
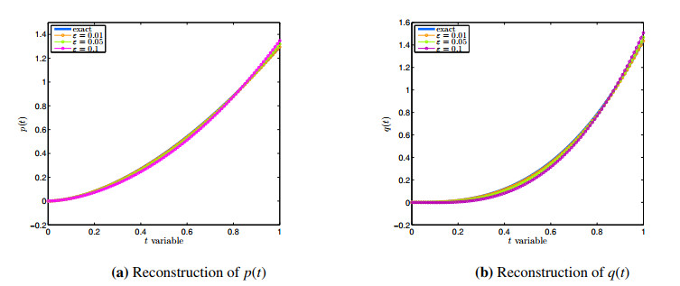
  • The present study is devoted to investigating the inverse problem of simultaneously reconstructing two source terms that depend solely on time in a system of coupled fractional reaction–diffusion equations. Such coupled systems are fundamental for modelling multispecies anomalous diffusion processes, where the evolution of each state variable is governed by unknown time-varying sources. The inverse problem is tackled using supplementary measurements of the state variables over the spatial domain. The coupling between the two equations presents a distinct complexity, making the simultaneous reconstruction problem notably challenging and important. Results on the unique solvability, are established by employing the Rothe method, whereby the problem is first discretized in time and then stability results for the semi-discrete approximations are derived. These estimates, together with compactness arguments, are then used to rigorously prove the convergence of Rothe approximations to a unique weak solution. Finally, the proposed method's effectiveness and stability are further validated through a series of numerical simulations.

    Citation: Maroua Nouar, Maged Z. Youssef, Hamed Ould Sidi, Abdeldjalil Chattouh. Recovering of dual time-varying source terms in a system of coupled time-fractional diffusion equations[J]. AIMS Mathematics, 2025, 10(12): 29285-29318. doi: 10.3934/math.20251287

    Related Papers:

  • The present study is devoted to investigating the inverse problem of simultaneously reconstructing two source terms that depend solely on time in a system of coupled fractional reaction–diffusion equations. Such coupled systems are fundamental for modelling multispecies anomalous diffusion processes, where the evolution of each state variable is governed by unknown time-varying sources. The inverse problem is tackled using supplementary measurements of the state variables over the spatial domain. The coupling between the two equations presents a distinct complexity, making the simultaneous reconstruction problem notably challenging and important. Results on the unique solvability, are established by employing the Rothe method, whereby the problem is first discretized in time and then stability results for the semi-discrete approximations are derived. These estimates, together with compactness arguments, are then used to rigorously prove the convergence of Rothe approximations to a unique weak solution. Finally, the proposed method's effectiveness and stability are further validated through a series of numerical simulations.



    加载中


    [1] G. P. Galdi, An introduction to the mathematical theory of the Navier–Stokes equations: steady-state problems, Springer, Berlin/Heidelberg, Germany, 2011. https://doi.org/10.1007/978-0-387-09620-9
    [2] J. D. Murray, Mathematical biology: Ⅰ. An introduction, 3 Eds., New York, NY, USA: Springer, 2007, Vol. 17. https://doi.org/10.1007/b98868
    [3] V. Volpert, S. Petrovskii, Reaction-diffusion waves in biology: new trends, recent developments, Phys. Life Rev., 52 (2025), 1–20. https://doi.org/10.1016/j.plrev.2024.11.007 doi: 10.1016/j.plrev.2024.11.007
    [4] P. De Kepper, E. Dulos, J. Boissonade, A. De Wit, G. Dewel, P. Borckmans, Reaction–diffusion patterns in confined chemical systems, J. Stat. Phys., 101 (2000), 495–508. https://doi.org/10.1023/A:1026462105253 doi: 10.1023/A:1026462105253
    [5] B. A. Grzybowski, Chemistry in motion: reaction–diffusion systems for micro- and nanotechnology, Hoboken, NJ, USA: John Wiley & Sons, 2009. https://doi.org/10.1002/9780470741627
    [6] D. Walgraef, Spatio-temporal pattern formation: with examples from physics, chemistry, and materials science, Germany: Springer, Berlin/Heidelberg, 1997. https://doi.org/10.1007/978-1-4612-1850-0
    [7] B. Jin, W. Rundell, A tutorial on inverse problems for anomalous diffusion processes, Inverse Probl., 31 (2015), 035003. https://doi.org/10.1088/0266-5611/31/3/035003 doi: 10.1088/0266-5611/31/3/035003
    [8] A. Ghafoor, M. Fiaz, M. Hussain, A. Ullah, Emad A. A. Ismail, F. A. Awwad, Dynamics of the time-fractional reaction–diffusion coupled equations in biological and chemical processes, Sci. Rep., 14 (2024), 7549. https://doi.org/10.1038/s41598-024-58073-z doi: 10.1038/s41598-024-58073-z
    [9] V. Gafiychuk, B. Datsko, V. Meleshko, Mathematical modeling of time fractional reaction–diffusion systems, J. Comput. Appl. Math., 220 (2008), 215–225. https://doi.org/10.1016/j.cam.2007.08.011 doi: 10.1016/j.cam.2007.08.011
    [10] V. V. Uchaikin, Fractional derivatives for physicists and engineers, Vol. 2, Springer-Verlag Berlin Heidelberg, 2013. https://doi.org/10.1007/978-3-642-33911-0
    [11] R. Herrmann, Fractional calculus: an introduction for physicists, Singapore: World Scientific, 2011.
    [12] I. Goychuk, Viscoelastic subdiffusion: from anomalous to normal, Phys. Rev. E, 80 (2009), 046125. https://doi.org/10.1103/PhysRevE.80.046125 doi: 10.1103/PhysRevE.80.046125
    [13] R. Metzler, W. Schick, H. G. Kilian, T. F. Nonnenmacher, Relaxation in filled polymers: a fractional calculus approach, J. Chem. Phys., 103 (1995), 7180–7186. https://doi.org/10.1063/1.470346 doi: 10.1063/1.470346
    [14] J. A. Nohel, D. F. Shea, Frequency domain methods for Volterra equations, Adv. Math., 22 (1976), 278–304. https://doi.org/10.1016/0001-8708(76)90096-7 doi: 10.1016/0001-8708(76)90096-7
    [15] V. Isakov, Inverse problems for partial differential equations, New York, NY, USA: Springer, 2006.
    [16] C. Wekumbura, J. Stastna, L. Zanzotto, Destruction and recovery of internal structure in polymer-modified asphalts, J. Mater. Civil. Eng., 19 (2007), 227–232. https://doi.org/10.1061/(ASCE)0899-1561(2007)19:3(227) doi: 10.1061/(ASCE)0899-1561(2007)19:3(227)
    [17] J. Atmadja, A. C. Bagtzoglou, State of the art report on mathematical methods for groundwater pollution source identification, Environ. Forensics, 2 (2001), 205–214. https://doi.org/10.1006/enfo.2001.0055 doi: 10.1006/enfo.2001.0055
    [18] M. Tanaka, G. S. Dulikravich, Inverse problems in engineering mechanics, Elsevier Science, 1998.
    [19] M. S. Zhdanov, Geophysical inverse theory and regularization problems, Vol. 36, Amsterdam, Netherlands: Elsevier, 2002.
    [20] W. Q. Hou, F. Yang, X. X. Li, Z. J. Tian, The modified Tikhonov regularization method for backward heat conduction problem with a complete parabolic equation in $\mathbb{R}^n$, Numer. Algor., 2025, 1–30. https://doi.org/10.1007/s11075-025-02164-z
    [21] H. Heng, F. Yang, X. Li, Z. Tian, Two regularization methods for identifying the unknown source term of space-time fractional diffusion-wave equation, AIMS Math., 10 (2025), 18398–18430. https://doi.org/10.3934/math.2025822 doi: 10.3934/math.2025822
    [22] Y. S. Li, L. L. Sun, Z. Q. Zhang, T. Wei, Identification of the time-dependent source term in a multi-term time-fractional diffusion equation, Numer. Algor., 82 (2019), 1279–1301. https://doi.org/10.1007/s11075-019-00654-5 doi: 10.1007/s11075-019-00654-5
    [23] M. Alhazmi, Y. Alrashedi, H. O. Sidi, M. O. Sidi, Detection of a spatial source term within a multi-dimensional, multi-term time-space fractional diffusion equation, Mathematics, 13 (2025), 705. https://doi.org/10.3390/math13050705 doi: 10.3390/math13050705
    [24] M. Nouar, A. Chattouh, On the source identification problem for a degenerate time-fractional diffusion equation, J. Math. Anal., 15 (2024), 84–98. https://doi.org/10.54379/jma-2024-5-6 doi: 10.54379/jma-2024-5-6
    [25] K. Besma, B. Nadjib, B. Abderafik, Two-parameter quasi-boundary value method for a backward abstract time-degenerate fractional parabolic problem, J. Inverse Ⅲ-Posed Probl., 33 (2025), 183–206. https://doi.org/10.1515/jiip-2024-0025 doi: 10.1515/jiip-2024-0025
    [26] L. Sun, Z. Zhang, Y. Wang, The quasi-reversibility method for recovering a source in a fractional evolution equation, Fract. Calc. Appl. Anal., 28 (2025), 473–504. https://doi.org/10.1007/s13540-025-00370-z doi: 10.1007/s13540-025-00370-z
    [27] F. Yang, L. L. Yan, H. Liu, X. X. Li, Two regularization methods for identifying the unknown source of Sobolev equation with fractional Laplacian, J. Appl. Anal. Comput., 15 (2025), 198–225. https://doi.org/10.11948/20240065 doi: 10.11948/20240065
    [28] M. Slodička, K. Šišková, An inverse source problem in a semilinear time-fractional diffusion equation, Comput. Math. Appl., 72 (2016), 1655–1669. https://doi.org/10.1016/j.camwa.2016.07.029 doi: 10.1016/j.camwa.2016.07.029
    [29] A. S. Hendy, K. Van Bockstal, On a reconstruction of a solely time-dependent source in a time-fractional diffusion equation with non-smooth solutions, J. Sci. Comput., 90 (2022), 41. https://doi.org/10.1007/s10915-021-01704-8 doi: 10.1007/s10915-021-01704-8
    [30] M. Nouar, A. Chattouh, O. M. Alsalhi, H. O. Sidi, Inverse problem of identifying a time-dependent source term in a fractional degenerate semi-linear parabolic equation, Mathematics, 13 (2025), 1486. https://doi.org/10.3390/math13091486 doi: 10.3390/math13091486
    [31] M. Slodička, Numerical solution of a parabolic equation with a weakly singular positive-type memory term, Electron. J. Differ. Equ., 1997 (1997), 1–12.
    [32] J. Kačur, Method of rothe in evolution equations, Teubner, Leipzig, Germany, 1985.
    [33] A. A. Alikhanov, A priori estimates for solutions of boundary value problems for fractional-order equations, Differ. Equ., 46 (2010), 660–666. https://doi.org/10.1134/S0012266110050058 doi: 10.1134/S0012266110050058
  • Reader Comments
  • © 2025 the Author(s), licensee AIMS Press. This is an open access article distributed under the terms of the Creative Commons Attribution License (http://creativecommons.org/licenses/by/4.0)
通讯作者: 陈斌, bchen63@163.com
  • 1. 

    沈阳化工大学材料科学与工程学院 沈阳 110142

  1. 本站搜索
  2. 百度学术搜索
  3. 万方数据库搜索
  4. CNKI搜索

Metrics

Article views(363) PDF downloads(48) Cited by(0)

Article outline

Figures and Tables

Figures(7)  /  Tables(4)

/

DownLoad:  Full-Size Img  PowerPoint
Return
Return

Catalog