Research article Special Issues

Dynamic modeling and analysis for the periodic spread of influenza: A case study in Shanghai

  • Published: 23 April 2026
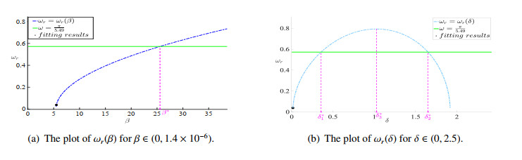
  • In this paper, an $ SIRS $ epidemic model with periodic transmission and vaccination is proposed to study the periodic transmission phenomenon of influenza. The threshold dynamics of the model are completely determined by the basic reproduction number $ \mathcal R_{0} $, i.e., the disease-free periodic steady state is globally asymptotically stable if $ \mathcal R_{0} < 1 $, while the disease is uniformly persistent if $ \mathcal R_{0} > 1 $. With the help of control theory, the resonance frequency $ \omega_r $ of our model is obtained, which is numerically validated in that there exists a resonance phenomenon of the disease spread (i.e., there is a maximum amplitude of the oscillatory spread of diseases) when the frequency $ \omega = \omega_r $. By fitting the real data of influenza from Shanghai, we estimate the parameter values of the model. Results show that there is no resonance phenomenon in the spread of influenza in Shanghai. Based on the expression of resonance frequency $ \omega_r $, the effects of the mean transmission rate $ \beta $ and the transition rate $ \delta $ on the resonance frequency $ \omega_r $ are displayed numerically.

    Citation: Zhenwen Qin, Xichao Duan. Dynamic modeling and analysis for the periodic spread of influenza: A case study in Shanghai[J]. Electronic Research Archive, 2026, 34(5): 3530-3553. doi: 10.3934/era.2026158

    Related Papers:

  • In this paper, an $ SIRS $ epidemic model with periodic transmission and vaccination is proposed to study the periodic transmission phenomenon of influenza. The threshold dynamics of the model are completely determined by the basic reproduction number $ \mathcal R_{0} $, i.e., the disease-free periodic steady state is globally asymptotically stable if $ \mathcal R_{0} < 1 $, while the disease is uniformly persistent if $ \mathcal R_{0} > 1 $. With the help of control theory, the resonance frequency $ \omega_r $ of our model is obtained, which is numerically validated in that there exists a resonance phenomenon of the disease spread (i.e., there is a maximum amplitude of the oscillatory spread of diseases) when the frequency $ \omega = \omega_r $. By fitting the real data of influenza from Shanghai, we estimate the parameter values of the model. Results show that there is no resonance phenomenon in the spread of influenza in Shanghai. Based on the expression of resonance frequency $ \omega_r $, the effects of the mean transmission rate $ \beta $ and the transition rate $ \delta $ on the resonance frequency $ \omega_r $ are displayed numerically.



    加载中


    [1] K. G. Nicholson, R. G. Webster, A. J. Hay, Textbook of Influenza, Trans. R. Soc. Trop. Med. Hyg., 93 (1999), 31. https://doi.org/10.1016/S0035-9203(99)90169-4 doi: 10.1016/S0035-9203(99)90169-4
    [2] J. N. Barr, R. Fearns, Chapter 2 - Genetic instability of RNA viruses, Genome Stab., (2016), 21–35. https://doi.org/10.1016/B978-0-12-803309-8.00002-1 doi: 10.1016/B978-0-12-803309-8.00002-1
    [3] S. Cauchemez, A. Valleron, P. Boëlle, A. Flahault, N. M. Ferguson, Estimating the impact of school closure on influenza transmission from Sentinel data, Nature, 452 (2008), 750–754. https://doi.org/10.1038/nature06732 doi: 10.1038/nature06732
    [4] L. Shi, L. Wang, Z. Jin, The seasonal influenza transmission dynamic and the correlation analysis with meteorology in Beijing, Int. J. Biomath., 17 (2024), 2350071. https://doi.org/10.1142/S1793524523500717 doi: 10.1142/S1793524523500717
    [5] J. Shaman, E. Goldstein, M. Lipsitch, Absolute humidity and pandemic versus epidemic influenza, Am. J. Epidemiol., 173 (2011), 127–135. https://doi.org/10.1093/aje/kwq347 doi: 10.1093/aje/kwq347
    [6] G. Neumann, Y. Kawaoka, Seasonality of influenza and other respiratory viruses, EMBO Mol. Med., 14 (2022), e15352. https://doi.org/10.15252/emmm.202115352 doi: 10.15252/emmm.202115352
    [7] Y. L. Shu, W. Liu, S. Vlas, Y. Gao, J. H. Richardus, W. C. Cao, Dual seasonal patterns for influenza, China, Emerging Infect. Dis., 16 (2010), 725–726. https://doi.org/10.3201/eid1604.091578 doi: 10.3201/eid1604.091578
    [8] Y. Z. Zhang, C. C. Ye, J. X. Yu, W. P. Zhu, Y. P. Wang, Z. J. Li, et al., The complex associations of climate variability with seasonal influenza A and B virus transmission in subtropical Shanghai, China, Sci. Total Environ., 701 (2020), 134607. https://doi.org/10.1016/j.scitotenv.2019.134607 doi: 10.1016/j.scitotenv.2019.134607
    [9] J. L. Ma, J. Dushoff, D. Earn, Age-specific mortality risk from pandemic influenza, J. Theor. Biol., 288 (2011), 29–34. https://doi.org/10.1016/j.jtbi.2011.08.003 doi: 10.1016/j.jtbi.2011.08.003
    [10] J. Arino, C. Bauch, F. Brauer, S. M. Driedger, A. L. Greer, S. M. Moghadas, et al., Pandemic influenza: Modelling and public health perspectives, Math. Biosci. Eng., 8 (2011), 1–20. https://doi.org/10.3934/mbe.2011.8.1 doi: 10.3934/mbe.2011.8.1
    [11] S. M. Asaduzzaman, J. L. Ma, P. Driessche, Estimation of cross-immunity between drifted strains of influenza A/H3N2, Bull. Math. Biol., 80 (2018), 657–669. https://doi.org/10.1007/s11538-018-0395-5 doi: 10.1007/s11538-018-0395-5
    [12] D. H. He, J. Dushoff, T. Day, J. L. Ma, D. Earn, Mechanistic modelling of the three waves of the 1918 influenza pandemic, Theor. Ecol., 4 (2011), 283–288. https://doi.org/10.1007/s12080-011-0123-3 doi: 10.1007/s12080-011-0123-3
    [13] S. M. Asaduzzaman, J. L. Ma, P. Driessche, The coexistence or replacement of two subtypes of influenza, Math. Biosci., 270 (2015), 1–9. https://doi.org/10.1016/j.mbs.2015.09.006 doi: 10.1016/j.mbs.2015.09.006
    [14] Y. Furuse, H. Oshitani, Mechanisms of replacement of circulating viruses by seasonal and pandemic influenza A viruses, Int. J. Infect. Dis., 51 (2016), 6–14. https://doi.org/10.1016/j.ijid.2016.08.012 doi: 10.1016/j.ijid.2016.08.012
    [15] Z. McCarthy, S. Athar, M. Alavinejad, C. Chow, I. Moyles, K. Nah, et al., Quantifying the annual incidence and underestimation of seasonal influenza: a modelling approach, Theor. Biol. Med. Modell., 17 (2020), 11. https://doi.org/10.1186/s12976-020-00129-4 doi: 10.1186/s12976-020-00129-4
    [16] X. C. Duan, J. F. Yin, X. Z. Li, Global Hopf bifurcation of an SIRS epidemic model with age-dependent recovery, Chaos, Solitons Fractals, 104 (2017), 613–624. https://doi.org/10.1016/j.chaos.2017.09.029 doi: 10.1016/j.chaos.2017.09.029
    [17] T. L. Zhang, J. L. Liu, Z. D. Teng, Stability of Hopf bifurcation of a delayed SIRS epidemic model with stage structure, Nonlinear Anal. Real World Appl., 11 (2010), 293–306. https://doi.org/10.1016/j.nonrwa.2008.10.059 doi: 10.1016/j.nonrwa.2008.10.059
    [18] H. Cao, X. Y. Gao, J. Q. Li, D. X. Yan, Z. M. Yue, The bifurcation analysis of an SIRS epidemic model with immunity age and constant treatment, Appl. Anal., 100 (2021), 2844–2866. https://doi.org/10.1080/00036811.2019.1698728 doi: 10.1080/00036811.2019.1698728
    [19] S. Gakkhar, K. Negi, Pulse vaccination in SIRS epidemic model with non-monotonic incidence rate, Chaos, Solitons Fractals, 35 (2008), 626–638. https://doi.org/10.1016/j.chaos.2006.05.054 doi: 10.1016/j.chaos.2006.05.054
    [20] S. L. Jing, H. F. Huo, H. Xiang, Modelling the effects of ozone concentration and pulse vaccination on seasonal influenza outbreaks in Gansu province, China, Discrete Contin. Dyn. Syst. - Ser. B, 27 (2022), 1877–1911. https://doi.org/10.3934/dcdsb.2021113 doi: 10.3934/dcdsb.2021113
    [21] Z. D. Teng, Y. P. Liu, L. Zhang, Persistence and extinction of disease in non-autonomous SIRS epidemic models with disease-induced mortality, Nonlinear Anal. Theory Methods Appl., 69 (2008), 2599–2614. https://doi.org/10.1016/j.na.2007.08.036 doi: 10.1016/j.na.2007.08.036
    [22] B. Chaihao, S. Khomrutai, Extinction and permanence of a general non-autonomous discrete-time SIRS epidemic model, AIMS Math., 8 (2023), 9624–9646. https://doi.org/10.3934/math.2023486 doi: 10.3934/math.2023486
    [23] A. Kumar, N. Kumari, S. Manda, P. K. Tiwari, Autonomous and non-autonomous dynamics of an SIRS model with convex incidence rate, J. Franklin Inst., 362 (2025), 108236. https://doi.org/10.1016/j.jfranklin.2025.108236 doi: 10.1016/j.jfranklin.2025.108236
    [24] W. C. Zhao, J. L. Liu, M. N. Chi, F. F. Bian, Dynamics analysis of stochastic epidemic models with standard incidence, Adv. Differ. Equations, 2019 (2019), 22. https://doi.org/10.1186/s13662-019-1972-0 doi: 10.1186/s13662-019-1972-0
    [25] I. A. Moneim, Modeling and simulation of the spread of H1N1 flu with periodic vaccination, Int. J. Biomath., 9 (2016), 1650003. https://doi.org/10.1142/S1793524516500030 doi: 10.1142/S1793524516500030
    [26] J. Dushoff, J. B. Plotkin, S. Levin, D. Earn, Dynamical resonance can account for seasonality of influenza epidemics, Proc. Natl. Acad. Sci. U.S.A., 101 (2004), 16915–16916. https://doi.org/10.1073/pnas.0407293101 doi: 10.1073/pnas.0407293101
    [27] G. F. Franklin, J. D. Powell, A. Emami-Naeini, Feedback Control of Dynamic Systems, Pearson, 2019.
    [28] Shanghai Municipal Health Commission, Report on the Epidemic Situation of Legally notifiable Infectious Diseases in Shanghai. Available from: https://wsjkw.sh.gov.cn/yqxx/index.html.
    [29] N. Bacaër, S. Guernaoui, The epidemic threshold of vector-borne diseases with seasonality, J. Math. Biol., 53 (2006), 421–436. https://doi.org/10.1007/s00285-006-0015-0 doi: 10.1007/s00285-006-0015-0
    [30] W. Wang, X. Q. Zhao, Threshold dynamics for compartmental epidemic models in periodic environments, J. Dyn. Differ. Equations, 20 (2008), 699–717. https://doi.org/10.1007/s10884-008-9111-8 doi: 10.1007/s10884-008-9111-8
    [31] X. Q. Zhao, Dynamical Systems in Population Biology, Springer International Publishing, 2017. https://doi.org/10.1007/978-3-319-56433-3
    [32] H. R. Thieme, Persistence under relaxed point-dissipativity (with application to an endemic model), SIAM J. Math. Anal., 24 (1993), 407–435. https://doi.org/10.1137/0524026 doi: 10.1137/0524026
    [33] H. Haario, M. Laine, A. Mira, E. Saksman, Dram: efficient adaptive MCMC, Stat. Comput., 16 (2006), 339–354. https://doi.org/10.1007/s11222-006-9438-0 doi: 10.1007/s11222-006-9438-0
  • Reader Comments
  • © 2026 the Author(s), licensee AIMS Press. This is an open access article distributed under the terms of the Creative Commons Attribution License (http://creativecommons.org/licenses/by/4.0)
通讯作者: 陈斌, bchen63@163.com
  • 1. 

    沈阳化工大学材料科学与工程学院 沈阳 110142

  1. 本站搜索
  2. 百度学术搜索
  3. 万方数据库搜索
  4. CNKI搜索

Metrics

Article views(51) PDF downloads(8) Cited by(0)

Article outline

Figures and Tables

Figures(11)  /  Tables(3)

Other Articles By Authors

/

DownLoad:  Full-Size Img  PowerPoint
Return
Return

Catalog