Research article

Comparative evaluation of five extracellular vesicle isolation methods using proteomic profiling

  • Published: 18 March 2026
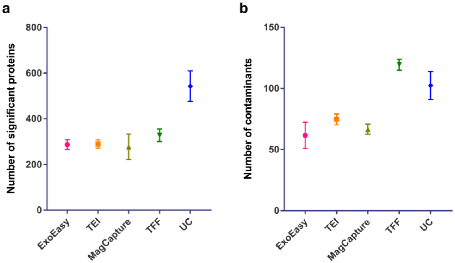
  • Extracellular vesicles (EVs) research has gained a significant amount of attention in recent years. EVs are a heterogeneous group of different vesicles that vary in their origin, size, and function. The very nature of EVs, from their biogenesis to the contents of their cargo, offers many options for exploration. Despite being studied for a few decades now, there has not been an established standardized approach to isolation. However, the future use of EVs in clinical practice is conditioned by the optimization and standardization of isolation methods. In this study, we systematically compared common EV isolation techniques such as ultracentrifugation, precipitation, tangential flow filtration, and affinity-based methods using conditioned cell culture media as the source. Isolated EVs were analyzed using mass spectrometry to characterize their proteomic profiles, and the shared protein content was evaluated across datasets. The gene ontology enrichment was further assessed using three bioinformatics platforms. Among the tested methods, ultracentrifugation emerged as the most effective isolation method in our analysis, thus underscoring its importance among commonly used techniques. Despite its analytical robustness, this method is unsuitable for routine clinical workflows due to its complexity and time demands. Our findings highlight the need for a standardized, less strenuous EV isolation method for clinical applications.

    Citation: Klara Mrazova, Tomas Henek, Zuzana Mihal Jurikova, Simona Koznarova, Michaela Vasinova Galiova, Jaromir Bacovsky, Lenka Hernychova, Roman Hrstka. Comparative evaluation of five extracellular vesicle isolation methods using proteomic profiling[J]. AIMS Molecular Science, 2026, 13(1): 97-118. doi: 10.3934/molsci.2026006

    Related Papers:

  • Extracellular vesicles (EVs) research has gained a significant amount of attention in recent years. EVs are a heterogeneous group of different vesicles that vary in their origin, size, and function. The very nature of EVs, from their biogenesis to the contents of their cargo, offers many options for exploration. Despite being studied for a few decades now, there has not been an established standardized approach to isolation. However, the future use of EVs in clinical practice is conditioned by the optimization and standardization of isolation methods. In this study, we systematically compared common EV isolation techniques such as ultracentrifugation, precipitation, tangential flow filtration, and affinity-based methods using conditioned cell culture media as the source. Isolated EVs were analyzed using mass spectrometry to characterize their proteomic profiles, and the shared protein content was evaluated across datasets. The gene ontology enrichment was further assessed using three bioinformatics platforms. Among the tested methods, ultracentrifugation emerged as the most effective isolation method in our analysis, thus underscoring its importance among commonly used techniques. Despite its analytical robustness, this method is unsuitable for routine clinical workflows due to its complexity and time demands. Our findings highlight the need for a standardized, less strenuous EV isolation method for clinical applications.


    Abbreviations

    APOs

    apoptotic bodies

    BP

    biological process

    CC

    cellular component

    CCM

    conditioned cell culture medium

    DAVID

    The Database for Annotation, Visualization and Integrated Discovery, DAVID Knowledgebase (v2023q4)

    DLS

    Dynamic light scattering

    EDS

    energy-dispersive X-ray spectroscopy

    EVs

    extracellular vesicles

    Exo

    exosomes

    ExoEasy

    exoEasy Maxi Kit

    FBS

    fetal bovine serum

    FunRich

    Functional Enrichment Analysis tool version 3.1.4

    GO

    Gene Ontology knowledgebase version 2024-06-17

    HCD

    high-energy collision induced dissociation

    LC-MS

    liquid chromatography-mass spectrometry

    MagCapture

    MagCapture™ Exosome Isolation Kit PS Ver.2

    MF

    molecular function

    MVs

    microvesicles

    PDI

    polydispersity index

    PEG

    polyethylene glycol

    SEC

    size exclusion chromatography

    TEM

    Transmission electron microscopy

    TEI

    Total Exosome Isolation (from cell culture media) isolation kit

    TFF

    tangential flow filtration

    Tim4

    T-cell immunoglobulin domain and mucin domain-containing protein 4

    UC

    ultracentrifugation

    XBP buffer

    binding buffer

    XE buffer

    elution buffer

    XWP buffer

    wash buffer

    加载中

    Acknowledgments



    This work was supported by the project National Institute for Cancer Research (Programme EXCELES, ID Project No. LX22NPO5102) - Funded by the European Union - Next Generation EU, by MH CZ - DRO (MMCI, 00209805) and by the project FCH-S-25-8807 of Ministry of Education, Youth and Sports of the Czech Republic.

    Conflict of interest



    The authors declare no conflict of interest in this paper.

    [1] Yang C, Robbins PD (2011) The roles of tumor-derived exosomes in cancer pathogenesis. Clin Dev Immunol 2011: 842849. https://doi.org/10.1155/2011/842849
    [2] Ciardiello C, Migliorino R, Leone A, et al. (2020) Large extracellular vesicles: Size matters in tumor progression. Cytokine Growth Factor Rev 51: 69-74. https://doi.org/10.1016/j.cytogfr.2019.12.007
    [3] Tkach M, Théry C (2016) Communication by extracellular vesicles: Where we are and where we need to go. Cell 164: 1226-1232. https://doi.org/10.1016/j.cell.2016.01.043
    [4] Willms E, Cabañas C, Mäger I, et al. (2018) Extracellular vesicle heterogeneity: Subpopulations, isolation techniques, and diverse functions in cancer progression. Front Immunol 9: 738. https://doi.org/10.3389/fimmu.2018.00738
    [5] Halicka HD, Bedner E, Darzynkiewicz Z (2020) Segregation of RNA and separate packaging of DNA and RNA in apoptotic bodies during apoptosis. Exp Cell Res 260: 248-256. https://doi.org/10.1006/excr.2000.5027
    [6] Chen J, Li P, Zhang T, et al. (2022) Review on strategies and technologies for exosome isolation and purification. Front Bioeng Biotechnol 9: 811971. https://doi.org/10.3389/fbioe.2021.811971
    [7] Stoorvogel W, Kleijmeer MJ, Geuze HJ, et al. (2002) The biogenesis and functions of exosomes. Traffic 3: 321-330. https://doi.org/10.1034/j.1600-0854.2002.30502.x
    [8] Booth AM, Fang Y, Fallon JK, et al. (2006) Exosomes and HIV Gag bud from endosome-like domains of the T cell plasma membrane. J Cell Biology 172: 923-935. https://doi.org/10.1083/jcb.200508014
    [9] Wolf P (1967) The nature and significance of platelet products in human plasma. Br J Haematol 13: 269-288. https://doi.org/10.1111/j.1365-2141.1967.tb08741.x
    [10] Harding C, Heuser J, Stahl P (1983) Receptor-mediated endocytosis of transferrin and of the transferrin receptor in rat reticulocytes recycling. J Cell Biol 97: 329-339. https://doi.org/10.1083/jcb.97.2.329
    [11] Pan BT, Johnstone RM (1983) Fate of the transferrin receptor during maturation of sheep reticulocytes in vitro: Selective externalization of the receptor. Cell 33: 967-978. https://doi.org/10.1016/0092-8674(83)90040-5
    [12] Doyle LM, Wang MZ (2019) Overview of extracellular vesicles, their origin, composition, purpose, and methods for exosome isolation and analysis. Cells 8: 727. https://doi.org/10.3390/cells8070727
    [13] Valadi H, Ekström K, Bossios A, et al. (2007) Exosome-mediated transfer of mRNAs and microRNAs is a novel mechanism of genetic exchange between cells. Nat Cell Biol 9: 654-659. https://doi.org/10.1038/ncb1596
    [14] Skog J, Würdinger T, van Rijn S, et al. (2008) Glioblastoma microvesicles transport RNA and proteins that promote tumour growth and provide diagnostic biomarkers. Nat Cell Biol 10: 1470-1476. https://doi.org/10.1038/ncb1800
    [15] Hood JL, San RS, Wickline SA (2011) Exosomes released by melanoma cells prepare sentinel lymph nodes for tumor metastasis. Cancer Res 71: 3792-3801. https://doi.org/10.1158/0008-5472.CAN-10-4455
    [16] Sharghi-Namini S, Tan E, Ong LLS, et al. (2014) Dll4-containing exosomes induce capillary sprout retraction in a 3D microenvironment. Sci Rep 4: 4031. https://doi.org/10.1038/srep04031
    [17] Dilsiz N (2022) Hallmarks of exosomes. Future Sci OA 8: FSO764. https://doi.org/10.2144/fsoa-2021-0102
    [18] Théry C, Ostrowski M, Segura E (2009) Membrane vesicles as conveyors of immune responses. Nat Rev Immunol 9: 581-593. https://doi.org/10.1038/nri2567
    [19] Huang X, Yuan T, Liang M, et al. (2015) Exosomal miR-1290 and miR-375 as prognostic markers in castration-resistant prostate cancer. Eur Urol 67: 33-41. https://doi.org/10.1016/j.eururo.2014.07.035
    [20] Rabinowits G, Gerçel-Taylor C, Day JM, et al. (2009) Exosomal microRNA: A diagnostic marker for lung cancer. Clin Lung Cancer 10: 42-46. https://doi.org/10.3816/CLC.2009.n.006
    [21] Raposo G, Stoorvogel W (2013) Extracellular vesicles: Exosomes, microvesicles, and friends. J Cell Biol 200: 373-383. https://doi.org/10.1083/jcb.201211138
    [22] Février B, Raposo G (2004) Exosomes: Endosomal-derived vesicles shipping extracellular messages. Curr Opin Cell Biol 16: 415-421. https://doi.org/10.1016/j.ceb.2004.06.003
    [23] Witwer KW, Buzás EI, Bemis LT, et al. (2013) Standardization of sample collection, isolation and analysis methods in extracellular vesicle research. J Extracell Vesicles 2: 20360. https://doi.org/10.3402/jev.v2i0.20360
    [24] Wubbolts R, Leckie RS, Veenhuizen PTM, et al. (2003) Proteomic and biochemical analyses of human B cell-derived exosomes: Potential implications for their function and multivesicular body formation. J Biol Chem 278: 10963-10972. https://doi.org/10.1074/jbc.M207550200
    [25] Subra C, Laulagnier K, Perret B, et al. (2007) Exosome lipidomics unravels lipid sorting at the level of multivesicular bodies. Biochimie 89: 205-212. https://doi.org/10.1016/j.biochi.2006.10.014
    [26] Bellingham SA, Coleman BM, Hill AF (2012) Small RNA deep sequencing reveals a distinct miRNA signature released in exosomes from prion-infected neuronal cells. Nucleic Acids Res 40: 10937-10949. https://doi.org/10.1093/nar/gks832
    [27] Kitai Y, Kawasaki T, Sueyoshi T, et al. (2017) DNA-containing exosomes derived from cancer cells treated with topotecan activate a STING-dependent pathway and reinforce antitumor immunity. J Immunol 198: 1649-1659. https://doi.org/10.4049/jimmunol.1601694
    [28] Van Niel G, Porto-Carreiro I, Simoes S, et al. (2006) Exosomes: A common pathway for a specialized function. J Biochem 140: 13-21. https://doi.org/10.1093/jb/mvj128
    [29] Guo W, Gao Y, Li N, et al. (2017) Exosomes: New players in cancer (Review). Oncol Rep 38: 665-675. https://doi.org/10.3892/or.2017.5714
    [30] Martins TS, Vaz M, Henriques AG (2023) A review on comparative studies addressing exosome isolation methods from body fluids. Anal Bioanal Chem 415: 1239-1263. https://doi.org/10.1007/s00216-022-04174-5
    [31] Théry C, Witwer KW, Aikawa E, et al. (2018) Minimal information for studies of extracellular vesicles 2018 (MISEV2018): A position statement of the International Society for Extracellular Vesicles and update of the MISEV2014 guidelines. J Extracell Vesicles 7: 1535750. https://doi.org/10.1080/20013078.2018.1535750
    [32] Matsuzaka Y, Yashiro R (2022) Advances in purification, modification, and application of extracellular vesicles for novel clinical treatments. Membranes 12: 1244. https://doi.org/10.3390/membranes12121244
    [33] Li J, Lee Y, Johansson HJ, et al. (2015) Serum-free culture alters the quantity and protein composition of neuroblastoma-derived extracellular vesicles. J Extracell Vesicles 4: 26883. https://doi.org/10.3402/jev.v4.26883
    [34] Lehrich BM, Liang Y, Khosravi P, et al. (2018) Fetal bovine serum-derived extracellular vesicles persist within vesicle-depleted culture media. Int J Mol Sci 19: 3538. https://doi.org/10.3390/ijms19113538
    [35] Rolfo C, Castiglia M, Hong D, et al. (2014) Liquid biopsies in lung cancer: The new ambrosia of researchers. BBA-Rev Cancer 1846: 539-546. https://doi.org/10.1016/j.bbcan.2014.10.001
    [36] Crescitelli R, Lässer C, Lötvall J (2021) Isolation and characterization of extracellular vesicle subpopulations from tissues. Nat Protoc 16: 1548-1580. https://doi.org/10.1038/s41596-020-00466-1
    [37] Carnino JM, Lee H, Jin Y (2019) Isolation and characterization of extracellular vesicles from Broncho-Alveolar lavage fluid: A review and comparison of different methods. Respir Res 20: 240. https://doi.org/10.1186/s12931-019-1210-z
    [38] Gardiner C, Di Vizio D, Sahoo S, et al. (2016) Techniques used for the isolation and characterization of extracellular vesicles: Results of a worldwide survey. J Extracell Vesicles 5: 32945. https://doi.org/10.3402/jev.v5.32945
    [39] Royo F, Théry C, Falcón-Pérez JM, et al. (2020) Methods for separation and characterization of extracellular vesicles: Results of a worldwide survey performed by the ISEV rigor and standardization subcommittee. Cells 9: 1955. https://doi.org/10.3390/cells9091955
    [40] Sherman BT, Hao M, Qiu J, et al. (2022) DAVID: A web server for functional enrichment analysis and functional annotation of gene lists (2021 update). Nucleic Acids Res 50: W216-W221. https://doi.org/10.1093/nar/gkac194
    [41] Huang DW, Sherman BT, Lempicki RA (2009) Systematic and integrative analysis of large gene lists using DAVID bioinformatics resources. Nat Protoc 4: 44-57. https://doi.org/10.1038/nprot.2008.211
    [42] Ashburner M, Ball CA, Blake JA, et al. (2000) Gene ontology: Tool for the unification of biology. Nat Genet 25: 25-29. https://doi.org/10.1038/75556
    [43] Aleksander SA, Balhoff J, Carbon S, et al. (2023) The gene ontology knowledgebase in 2023. Genetics 224: iyad031. https://doi.org/10.1093/genetics/iyad031
    [44] Thomas PD, Ebert D, Muruganujan A, et al. (2022) PANTHER: Making genome-scale phylogenetics accessible to all. Protein Sci 31: 8-22. https://doi.org/10.1002/pro.4218
    [45] Fonseka P, Pathan M, Chitti SV, et al. (2021) FunRich enables enrichment analysis of OMICs datasets. J Mol Biol 433: 166747. https://doi.org/10.1016/j.jmb.2020.166747
    [46] Chitti SV, Gummadi S, Kang T, et al. (2024) Vesiclepedia 2024: An extracellular vesicles and extracellular particles repository. Nucleic Acids Res 52: D1694-D1698. https://doi.org/10.1093/nar/gkad1007
    [47] Khan MA, Anand S, Deshmukh SK, et al. (2022) Determining the size distribution and integrity of extracellular vesicles by dynamic light scattering. Methods in molecular biology . New York: Humana 165-175. https://doi.org/10.1007/978-1-0716-1896-7_17
    [48] Szatanek R, Baran J, Siedlar M, et al. (2015) Isolation of extracellular vesicles: Determining the correct approach (Review). Int J Mol Med 36: 11-17. https://doi.org/10.3892/ijmm.2015.2194
    [49] Théry C, Amigorena S, Raposo G, et al. (2006) Isolation and characterization of exosomes from cell culture supernatants and biological fluids. Curr Protoc Cell Biol 30: 3-22. https://doi.org/10.1002/0471143030.cb0322s30
    [50] Lobb RJ, Becker M, Wen SW, et al. (2015) Optimized exosome isolation protocol for cell culture supernatant and human plasma. J Extracell Vesicles 4: 27031. https://doi.org/10.3402/jev.v4.27031
    [51] Brennan K, Martin K, FitzGerald SP, et al. (2020) A comparison of methods for the isolation and separation of extracellular vesicles from protein and lipid particles in human serum. Sci Rep 10: 1039. https://doi.org/10.1038/s41598-020-57497-7
    [52] Welsh JA, Goberdhan DCI, O'Driscoll L, et al. (2024) Minimal information for studies of extracellular vesicles (MISEV2023): From basic to advanced approaches. J Extracell Vesicles 13: e12404. https://doi.org/10.1002/jev2.12404
    [53] Busatto S, Vilanilam G, Ticer T, et al. (2018) Tangential flow filtration for highly efficient concentration of extracellular vesicles from large volumes of fluid. Cells 7: 273. https://doi.org/10.3390/cells7120273
    [54] Visan KS, Lobb RJ, Ham S, et al. (2022) Comparative analysis of tangential flow filtration and ultracentrifugation, both combined with subsequent size exclusion chromatography, for the isolation of small extracellular vesicles. J Extracell Vesicles 11: 12266. https://doi.org/10.1002/jev2.12266
    [55] Stam J, Bartel S, Bischoff R, et al. (2021) Isolation of extracellular vesicles with combined enrichment methods. J Chromatogr B 1169: 122604. https://doi.org/10.1016/j.jchromb.2021.122604
    [56] Zeringer E, Barta T, Li M, et al. (2015) Strategies for isolation of exosomes. Cold Spring Harb Protoc 2015: 319-323. https://doi.org/10.1101/pdb.top074476
    [57] Monguió-Tortajada M, Gálvez-Montón C, Bayes-Genis A, et al. (2019) Extracellular vesicle isolation methods: Rising impact of size-exclusion chromatography. Cell Mol Life Sci 76: 2369-2382. https://doi.org/10.1007/s00018-019-03071-y
    [58] Ueda K, Ishikawa N, Tatsuguchi A, et al. (2014) Antibody-coupled monolithic silica microtips for highthroughput molecular profiling of circulating exosomes. Sci Rep 4: 6232. https://doi.org/10.1038/srep06232
    [59] Zarovni N, Corrado A, Guazzi P, et al. (2015) Integrated isolation and quantitative analysis of exosome shuttled proteins and nucleic acids using immunocapture approaches. Methods 87: 46-58. https://doi.org/10.1016/j.ymeth.2015.05.028
    [60] Mizutani K, Terazawa R, Kameyama K, et al. (2014) Isolation of prostate cancer-related exosomes. Anticancer Res 34: 3419-3423.
    [61] Nakai W, Yoshida T, Diez D, et al. (2016) A novel affinity-based method for the isolation of highly purified extracellular vesicles. Sci Rep 6: 33935. https://doi.org/10.1038/srep33935
    [62] Stranska R, Gysbrechts L, Wouters J, et al. (2018) Comparison of membrane affinity-based method with size-exclusion chromatography for isolation of exosome-like vesicles from human plasma. J Transl Med 16: 1. https://doi.org/10.1186/s12967-017-1374-6
    [63] Momen-Heravi F (2017) Isolation of extracellular vesicles by ultracentrifugation. Methods in molecular biology 1660: 25-32. https://doi.org/10.1007/978-1-4939-7253-1_3
    [64] Jia Y, Yu L, Ma T, et al. (2022) Small extracellular vesicles isolation and separation: Current techniques, pending questions and clinical applications. Theranostics 12: 6548-6475. https://doi.org/10.7150/thno.74305
    [65] Lin S, Yu Z, Chen D, et al. (2020) Progress in microfluidics-based exosome separation and detection technologies for diagnostic applications. Small 16: 1903916. https://doi.org/10.1002/smll.201903916
    [66] Li P, Kaslan M, Lee SH, et al. (2017) Progress in exosome isolation techniques. Theranostics 7: 789-804. https://doi.org/10.7150/thno.18133
    [67] Jeppesen DK, Hvam ML, Primdahl-Bengtson B, et al. (2014) Comparative analysis of discrete exosome fractions obtained by differential centrifugation. J Extracell Vesicles 3: 25011. https://doi.org/10.3402/jev.v3.25011
    [68] Heath N, Grant L, De Oliveira TM, et al. (2018) Rapid isolation and enrichment of extracellular vesicle preparations using anion exchange chromatography. Sci Rep 8: 5730. https://doi.org/10.1038/s41598-018-24163-y
    [69] Xiong YH, Fan XG, Chen YY, et al. (2022) Comparison of methods of isolating extracellular vesicle microRNA from HepG2 cells for High-throughput sequencing. Front Mol Biosci 9: 976528. https://doi.org/10.3389/fmolb.2022.976528
    [70] Coumans FAW, Brisson AR, Buzas EI, et al. (2017) Methodological guidelines to study extracellular vesicles. Circ Res 120: 1632-1648. https://doi.org/10.1161/CIRCRESAHA.117.309417
    [71] Taylor DD, Shah S (2015) Methods of isolating extracellular vesicles impact down-stream analyses of their cargoes. Methods 87: 3-10. https://doi.org/10.1016/j.ymeth.2015.02.019
    [72] Veerman RE, Teeuwen L, Czarnewski P, et al. (2021) Molecular evaluation of five different isolation methods for extracellular vesicles reveals different clinical applicability and subcellular origin. J Extracell Vesicles 10: e12128. https://doi.org/10.1002/jev2.12128
    [73] Macías M, Rebmann V, Mateos B, et al. (2019) Comparison of six commercial serum exosome isolation methods suitable for clinical laboratories. Effect in cytokine analysis. Clin Chem Lab Med 57: 1539-1545. https://doi.org/10.1515/cclm-2018-1297
    [74] Li Y, Liu Z, Zheng Z, et al. (2025) Hydrogel empowered extracellular vesicles isolation, detection, and delivery. Nano Today 64: 102817. https://doi.org/10.1016/j.nantod.2025.102817
    [75] Tang J, Jia X, Li Q, et al. (2023) A DNA-based hydrogel for exosome separation and biomedical applications. Proc Natl Acad Sci U S A 120. https://doi.org/10.1073/pnas.2303822120
    [76] Tian F, Liu C, Deng J, et al. (2022) Microfluidic separation, detection, and engineering of extracellular vesicles for cancer diagnostics and drug delivery. Acc Mater Res 3: 498-510. https://doi.org/10.1021/accountsmr.1c00276
    [77] Jo HY, Kang SJ, Kim G, et al. (2025) Plant-derived extracellular vesicles: Current status and challenges for developing a new paradigm in therapeutics development. VIEW 6: 20240115. https://doi.org/10.1002/VIW.20240115
    [78] Shi Y, Zheng Z, Li Y, et al. (2026) Bacterial extracellular vesicles as bioactive nanocarriers for wound treatment. Acta Pharm Sin B 2026. In press. https://doi.org/10.1016/j.apsb.2026.01.007
  • molsci-13-01-006-s001.pdf
  • Reader Comments
  • © 2026 the Author(s), licensee AIMS Press. This is an open access article distributed under the terms of the Creative Commons Attribution License (http://creativecommons.org/licenses/by/4.0)
通讯作者: 陈斌, bchen63@163.com
  • 1. 

    沈阳化工大学材料科学与工程学院 沈阳 110142

  1. 本站搜索
  2. 百度学术搜索
  3. 万方数据库搜索
  4. CNKI搜索

Metrics

Article views(890) PDF downloads(28) Cited by(0)

Article outline

Figures and Tables

Figures(5)  /  Tables(3)

/

DownLoad:  Full-Size Img  PowerPoint
Return
Return

Catalog