Research article Special Issues

Measuring the origins of perfectionism with the Roots questionnaire in university students: sociodemographic and educational correlates

  • Published: 16 March 2026
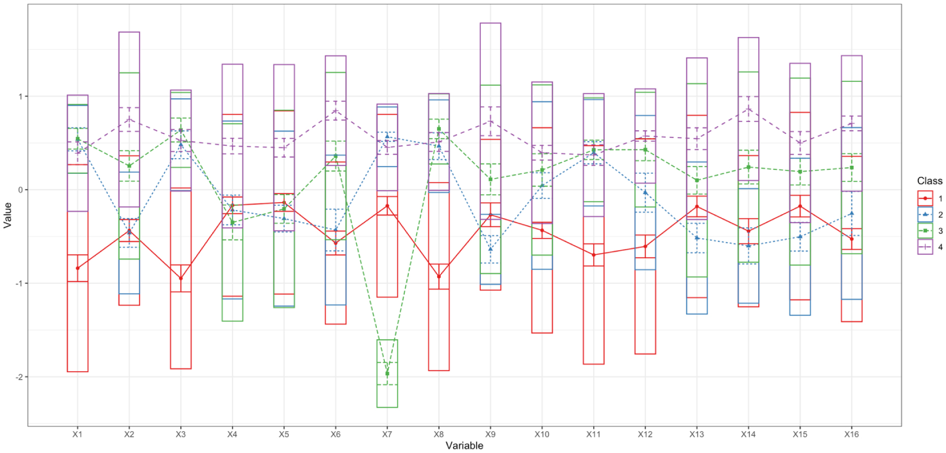
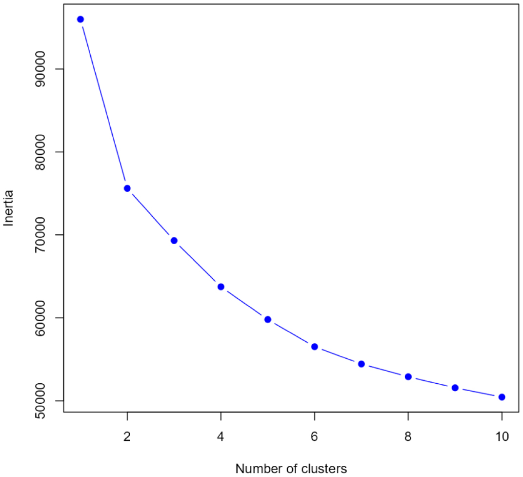
  • Perfectionism is increasingly prevalent among university students, yet its developmental antecedents are less understood. This study examined the perceived origins of perfectionism, early family relationships, self-acceptance, and social influences using the 16-item Roots questionnaire (Family, Self, Social) and explored sociodemographic and educational correlates. In a multicenter cross-sectional survey, 2103 Italian students (mean age = 23.4; 76% female) completed the Roots scale. Nonparametric group comparisons and k-means clustering were applied. Students generally reported strong parental support, trust, and autonomy, and moderately positive social acceptance. Vulnerabilities emerged in self-related domains: fear of failure and self-critical tendencies were comparatively higher. Subscale means were as follows: Social = 5.10, Family = 5.06, and Self = 3.75 (1–7 scale). Younger students and those from southern/insular regions reported greater family support. Women presented more fear of failure and self-criticism. Catholics, especially practicing students, reported higher family acceptance/trust alongside greater inadequacy concerns. Health sciences students showed stronger family and self-related resources than peers in science/engineering. Offsite and private-university students displayed more protective indicators; scholarships were associated with heightened internal pressure despite some protective features. No group differences emerged in Social Relationships overall, and total Roots scores did not differ by offsite status or scholarship. Clustering (k = 2) yielded a profile with weaker protective factors and higher fear of failure (consistent with “mixed” perfectionism) and a profile with stronger family/social support, higher self-worth, and lower self-criticism (consistent with “adaptive” perfectionism). Findings suggest that while family cohesion and social trust buffer maladaptive perfectionism, fragile self-perceptions remain central targets. Interventions fostering self-compassion, autonomy-supportive climates, and constructive error management may preserve adaptive striving while mitigating risk.

    Citation: Elena Sandri, Agnese Broccolo, Anna Marchetti, Anna De Benedictis, Giorgia Petrucci, Laura Campanozzi, Mattia Bozzetti, Teresa Rea, Rosaria Alvaro, Maria Grazia De Marinis, Michela Piredda. Measuring the origins of perfectionism with the Roots questionnaire in university students: sociodemographic and educational correlates[J]. AIMS Public Health, 2026, 13(1): 353-394. doi: 10.3934/publichealth.2026019

    Related Papers:

  • Perfectionism is increasingly prevalent among university students, yet its developmental antecedents are less understood. This study examined the perceived origins of perfectionism, early family relationships, self-acceptance, and social influences using the 16-item Roots questionnaire (Family, Self, Social) and explored sociodemographic and educational correlates. In a multicenter cross-sectional survey, 2103 Italian students (mean age = 23.4; 76% female) completed the Roots scale. Nonparametric group comparisons and k-means clustering were applied. Students generally reported strong parental support, trust, and autonomy, and moderately positive social acceptance. Vulnerabilities emerged in self-related domains: fear of failure and self-critical tendencies were comparatively higher. Subscale means were as follows: Social = 5.10, Family = 5.06, and Self = 3.75 (1–7 scale). Younger students and those from southern/insular regions reported greater family support. Women presented more fear of failure and self-criticism. Catholics, especially practicing students, reported higher family acceptance/trust alongside greater inadequacy concerns. Health sciences students showed stronger family and self-related resources than peers in science/engineering. Offsite and private-university students displayed more protective indicators; scholarships were associated with heightened internal pressure despite some protective features. No group differences emerged in Social Relationships overall, and total Roots scores did not differ by offsite status or scholarship. Clustering (k = 2) yielded a profile with weaker protective factors and higher fear of failure (consistent with “mixed” perfectionism) and a profile with stronger family/social support, higher self-worth, and lower self-criticism (consistent with “adaptive” perfectionism). Findings suggest that while family cohesion and social trust buffer maladaptive perfectionism, fragile self-perceptions remain central targets. Interventions fostering self-compassion, autonomy-supportive climates, and constructive error management may preserve adaptive striving while mitigating risk.



    加载中

    Acknowledgments



    This research was supported by the Center of Excellence for Nursing Scholarship, CECRI, Rome Italy, under Grant number 2.22.8 and 1.24.3.

    Conflict of interest



    The authors report there are no competing interests to declare.

    Data availability statement



    Due to ethical approval constraints and the sensitive nature of the data, the raw dataset cannot be made publicly available. To support transparency and reproducibility, the following materials are available upon reasonable request from the corresponding author: (i) the variable dictionary and coding framework, (ii) the full Roots questionnaire scoring and recoding procedures, and (iii) the statistical analysis syntax (Jamovi and R scripts, including regression models and latent profile analysis).

    Authors' contributions



    E. Sandri: Conceptualization, Methodology, Data curation, Formal analysis, Writing – original draft, Writing – review & editing; A. Broccolo: Data curation, Writing – original draft, Writing – review & editing; A. Marchetti: Conceptualization, Validation, Visualization, Writing – original draft, Writing – review & editing; A. De Benedictis: Conceptualization, Validation, Visualization, Writing – original draft, Writing – review & editing; G. Petrucci: Investigation, Visualization, Writing – original draft; L. Campanozzi: Validation, Investigation, Visualization; M. Bozzetti: Formal analysis, Visualization, Writing – review & editing; T. Rea: Validation, Investigation, Visualization; R. Alvaro: Conceptualization, Investigation, Visualization; M. G. De Marinis: Conceptualization, Visualization, Writing – review & editing; M. Piredda: Conceptualization, Data curation, Funding acquisition, Investigation, Methodology, Project administration, Resources, Supervision, Validation, Visualization, Writing – original draft, Writing – review & editing.

    [1] Flett GL, Hewitt PL (2020) Reflections on three decades of research on multidimensional perfectionism: An introduction to the special issue on further advances in the assessment of perfectionism. J Psychoeduc Assess 38: 3-14. https://doi.org/10.1177/0734282919881928
    [2] Curran T, Hill AP (2019) Perfectionism is increasing over time: A meta-analysis of birth cohort differences from 1989 to 2016. Psychol Bull 145: 410-429. https://doi.org/10.1037/bul0000138
    [3] Curran T, Hill AP (2022) Young people's perceptions of their parents' expectations and criticism are increasing over time: Implications for perfectionism. Psychol Bull 148: 107-128. https://doi.org/10.1037/bul0000347
    [4] Molnar DS, Sirois FM, Flett GL, et al. (2020) A person-oriented approach to multidimensional perfectionism: Perfectionism profiles in health and well-being. J Psychoeduc Assess 38: 127-142. https://doi.org/10.1177/0734282919877754
    [5] Beiter R, Nash R, McCrady M, et al. (2015) The prevalence and correlates of depression, anxiety, and stress in a sample of college students. J Affect Disord 173: 90-96. https://doi.org/10.1016/j.jad.2014.10.054
    [6] Hewitt PL, Smith MM, Flett GL, et al. (2022) Other-oriented perfectionism in children and adolescents: Development and validation of the Other-Oriented Perfectionism Subscale-Junior Form (OOPjr). J Psychoeduc Assess 40: 327-345. https://doi.org/10.1177/07342829211062009
    [7] Frost RO, Marten P, Lahart C, et al. (1990) The dimensions of perfectionism. Cognitive Ther Res 14: 449-468. https://doi.org/10.1007/BF01172967
    [8] Hewitt PL, Flett GL (1991) Perfectionism in the self and social contexts: Conceptualization, assessment, and association with psychopathology. J Pers Soc Psychol 60: 456-470. https://doi.org/10.1037/0022-3514.60.3.456
    [9] Dunn JGH, Gotwals JK, Dunn JC (2005) An examination of the domain specificity of perfectionism among intercollegiate student-athletes. Pers Indiv Differ 38: 1439-1448. https://doi.org/10.1016/j.paid.2004.09.009
    [10] Hewitt PL, Flett GL, Weber C (1994) Dimensions of perfectionism and suicide ideation. Cognitive Ther Res 18: 439-460. https://doi.org/10.1007/BF02357753
    [11] Limburg K, Watson HJ, Hagger MS, et al. (2017) The relationship between perfectionism and psychopathology: A meta-analysis. J Clin Psychol 73: 1301-1326. https://doi.org/10.1002/jclp.22435
    [12] Kiaei Y, Kachooei M (2022) The relationship between suicidal ideation and perfectionism in Iranian students: The mediating role of self-criticism. Iran J Psychiatry Be 16: e122102. https://doi.org/10.5812/ijpbs-122102
    [13] Smith MM, Sherry SB, Chen S, et al. (2018) The perniciousness of perfectionism: A meta-analytic review of the perfectionism–suicide relationship. J Pers 86: 522-542. https://doi.org/10.1111/jopy.12333
    [14] Stoeber J, Feast AR, Hayward JA (2009) Self-oriented and socially prescribed perfectionism: Differential relationships with intrinsic and extrinsic motivation and test anxiety. Pers Indiv Differ 47: 423-428. https://doi.org/10.1016/j.paid.2009.04.014
    [15] Xie Y, Yang J, Chen F (2018) Procrastination and multidimensional perfectionism: A meta-analysis of main, mediating, and moderating effects. Soc Behav Personal 46: 395-408. https://doi.org/10.2224/sbp.6680
    [16] Stoeber J, Otto K (2006) Positive conceptions of perfectionism: Approaches, evidence, challenges. Pers Soc Psychol Rev 10: 295-319. https://doi.org/10.1207/s15327957pspr1004_2
    [17] Flett GL, Hewitt PL (2002) Perfectionism: Theory, research, and treatment. Washington DC: American Psychological Association. https://doi.org/10.1037/10458-000
    [18] Karami Isheqlou L, Zarean M, Saeedi MT, et al. (2022) Maladaptive perfectionists are more impulsive than adaptive perfectionists in a monetary gambling task. J Exp Psychopathol 13: 20438087221106925. https://doi.org/10.1177/20438087221106925
    [19] Kawamoto A, Sheth R, Yang M, et al. (2023) The role of self-compassion among adaptive and maladaptive perfectionists in university students. Couns Psychol 51: 113-144. https://doi.org/10.1177/00110000221129606
    [20] Lo A, Abbott MJ (2013) The impact of manipulating expected standards of performance for adaptive, maladaptive, and non-perfectionists. Cognitive Ther Res 37: 762-778. https://doi.org/10.1007/s10608-013-9528-1
    [21] Lo A, Abbott MJ (2019) Self-concept certainty in adaptive and maladaptive perfectionists. J Exp Psychopathol 10: 2043808719843455. https://doi.org/10.1177/2043808719843455
    [22] Mallinson-Howard SH, Hill AP, Hall HK (2019) The 2×2 model of perfectionism and negative experiences in youth sport. Psy Sport Exer 45: 101581. https://doi.org/10.1016/j.psychsport.2019.101581
    [23] Liu L, Wang W, Lian Y, et al. (2024) Longitudinal impact of perfectionism on suicidal ideation among Chinese college students with perceived academic failure: The roles of rumination and depression. Arch Suicide Res 28: 830-843. https://doi.org/10.1080/13811118.2023.2237088
    [24] Sirois FM, Molnar DS (2016) Perfectionism, health, and well-being. New York: Springer 1-25. https://doi.org/10.1007/978-3-319-18582-8
    [25] Zhang D, Mushtaque I, Hanif MW (2025) Exploring the role of perfectionism and psychological capital in the relationship between academic procrastination, test anxiety and suicidal ideation among pre-medical students. Acta Psychol (Amst) 252: 104662. https://doi.org/10.1016/j.actpsy.2024.104662
    [26] Kyeon YG, Cho SM, Hwang HG, et al. (2010) The effects of perfectionism on academic achievement in medical students. Korean J Med Educ 22: 205-214. https://doi.org/10.3946/kjme.2010.22.3.205
    [27] Lin S, Muenks K (2022) Perfectionism profiles among college students: A person-centered approach to motivation, behavior, and emotion. Contemp Educ Psychol 71: 102110. https://doi.org/10.1016/j.cedpsych.2022.102110
    [28] Madigan DJ, Hill AP, Anstiss PA, et al. (2018) Perfectionism and training distress in junior athletes: The mediating role of coping tendencies. Eur J Sport Sci 18: 713-721. https://doi.org/10.1080/17461391.2018.1457082
    [29] Hill AP, Curran T (2016) Multidimensional perfectionism and burnout: A meta-analysis. Pers Soc Psychol Rev 20: 269-288. https://doi.org/10.1177/1088868315596286
    [30] Xiong Z, Liu C, Song M, et al. (2024) The relationship between maladaptive perfectionism and anxiety in first-year undergraduate students: a moderated mediation model. Behav Sci (Basel) 14: 628. https://doi.org/10.3390/bs14080628
    [31] Zhao M, Li J, Lin Y, et al. (2022) The effect of perfectionism on test anxiety and the mediating role of sense of coherence in adolescent students. J Affect Disord 310: 142-149. https://doi.org/10.1016/j.jad.2022.05.009
    [32] Kang W, Gong C (2024) Exploring potential mediating mechanisms between maladaptive perfectionism and athlete burnout based on multi-theory perspectives. Front Psychol 15: 1416281. https://doi.org/10.3389/fpsyg.2024.1416281
    [33] Sagar SS, Stoeber J (2009) Perfectionism, fear of failure, and affective responses to success and failure: The central role of fear of experiencing shame and embarrassment. J Sport Exerc Psychol 31: 602-627. https://doi.org/10.1123/jsep.31.5.602
    [34] Fernández-García O, Gil-Llario MD, Castro-Calvo J, et al. (2022) Academic perfectionism, psychological well-being, and suicidal ideation in college students. Int J Environ Res Public Health 20: 85. https://doi.org/10.3390/ijerph20010085
    [35] Flett GL, Hewitt PL, Nepon T, et al. (2022) The destructiveness and public health significance of socially prescribed perfectionism: A review, analysis, and conceptual extension. Clin Psychol Rev 93: 102130. https://doi.org/10.1016/j.cpr.2022.102130
    [36] Lunn J, Greene D, Callaghan T, et al. (2023) Associations between perfectionism and symptoms of anxiety, obsessive-compulsive disorder and depression in young people: A meta-analysis. Cogn Behav Ther 52: 460-487. https://doi.org/10.1080/16506073.2023.2211736
    [37] (2022) Ko AHCParenting, attachment, and perfectionism: A test of the Perfectionism Social Disconnection Model in children and adolescents [dissertation]. [Vancouver]: University of British Columbia. https://doi.org/10.14288/1.0380428
    [38] Noor B (2023) Pressure and perfectionism: A phenomenological study on parents' and teachers' perceptions of the challenges faced by gifted and talented students in self-contained classes. Front Educ 8: 1225623. https://doi.org/10.3389/feduc.2023.1225623
    [39] Lo A, Hunt C, Abbott MJ (2020) A systematic review of the psychometric properties of multidimensional trait perfectionism self-report measures. Behav Change 37: 45-58. https://doi.org/10.1017/bec.2020.2
    [40] Piredda M, Lo Cascio A, Marchetti A, et al. (2025) Development and psychometric testing of perfectionism inventory to assess perfectionism and academic stress in university students: A cross-sectional multi-centre study. Eur J Investig Health Psychol Educ 15: 94. https://doi.org/10.3390/ejihpe15060094
    [41] DATAtabStatistics software (2025). Available from: https://datatab.es/statistics-software
    [42] DATAtabOnline statistics calculator: Hypothesis testing, t-test, chi-square, regression, correlation, analysis of variance, cluster analysis (2024). Available from: https://datatab.net/
    [43] Revelle W, Zinbarg RE (2009) Coefficients alpha, beta, omega, and the glb: Comments on Sijtsma. Psychometrika 74: 145-154. https://doi.org/10.1007/s11336-008-9102-z
    [44] Raykov T, Marcoulides GA (2011) Introduction to psychometric theory. New York: Routledge. https://doi.org/10.4324/9780203841624
    [45] Zinbarg RE, Yovel I, Revelle W, et al. (2006) Estimating generalizability to a latent variable common to all of a scale's indicators: A comparison of estimators for ωh. Appl Psych Meas 30: 121-144. https://doi.org/10.1177/0146621605278814
    [46] Rokach L, Maimon O (2005) Clustering methods. Data Mining and Knowledge Discovery Handbook . Boston: Springer 321-352. https://doi.org/10.1007/0-387-25465-X_15
    [47] Coates A, Ng AY (2012) Learning feature representations with k-means. Neural Networks: Tricks of the Trade . Springer 561-580. https://doi.org/10.1007/978-3-642-35289-8_30
    [48] Scrucca L, Fraley C, Murphy TB, et al. (2023) Model-Based Clustering, Classification, and Density Estimation Using mclust in R. Boca Raton, FL: Chapman & Hall/CRC. Available from: https://cran.r-project.org/web/packages/mclust/index.html.
    [49] Akogul S, Erisoglu M (2017) An Approach for Determining the Number of Clusters in a Model-Based Cluster Analysis. Entropy-Switz 19: 452. https://doi.org/10.3390/e19090452
    [50] Nylund KL, Asparouhov T, Muthén BO (2007) Deciding on the number of classes in latent class analysis and growth mixture modeling: A Monte Carlo simulation study. Struct Equ Modeling 14: 535-569. https://doi.org/10.1080/10705510701575396
    [51] Muthén B, Muthén LK (2000) Integrating person-centered and variable-centered analyses: Growth mixture modeling and related techniques. Alcohol Clin Exp Res 24: 882-891. https://doi.org/10.1111/j.1530-0277.2000.tb02070.x
    [52] Berlin KS, Williams NA, Parra GR (2014) An introduction to latent variable mixture modeling (part 1): Overview and cross-sectional latent class and latent profile analyses. J Pediatr Psychol 39: 174-187. https://doi.org/10.1093/jpepsy/jst084
    [53] Spurk D, Hirschi A, Valero D, et al. (2020) Latent profile analysis: A review and “how to” guide of its application within vocational behavior research. J Vocat Behav 120: 103445. https://doi.org/10.1016/j.jvb.2020.103445
    [54] The jamovi project.jamovi (Version 1.0) [Computer Software]. Behav Res Methods (2019) 51: 187-194.
    [55] (2024) R Core TeamR: A language and environment for statistical computing. Vienna, Austria: R Foundation for Statistical Computing.
    [56] Von Elm E, Altman DG, Egger M, et al. (2008) The strengthening the reporting of observational studies in epidemiology (STROBE) statement: Guidelines for reporting observational studies. J Clin Epidemiol 61: 344-349. https://doi.org/10.1016/j.jclinepi.2007.11.008
    [57] World Medical AssociationWMA Declaration of Helsinki – Ethical principles for medical research involving human participants (2025). [cited 2025 October 23]. Available from: https://www.wma.net/policies-post/wma-declaration-of-helsinki/
    [58] Triguero Martín M, Manzano-Sánchez D, Gómez-López M, et al. (2024) Basic psychological needs in the face of achievement vulnerability: A study in young team athletes. Behav Sci (Basel) 14: 697. https://doi.org/10.3390/bs14080697
    [59] Prawita CB, Nurfarhanah N, Neviyarni N, et al. (2024) The relationship between self-efficacy and family social support with the psychological well-being of high school students. JEHCP 13: 771. https://doi.org/10.12928/jehcp.v13i2.29199
    [60] Kawamura KY, Frost RO, Harmatz MG (2002) The relationship of perceived parenting styles to perfectionism. Pers Indiv Differ 32: 317-327. https://doi.org/10.1016/S0191-8869(01)00026-5
    [61] Filippello P, Buzzai C, Sorrenti L, et al. (2021) Italian version of the family almost perfect scale: Psychometric characteristics and relationships with academic engagement, self-esteem, and personal perfectionism. Appl Dev Sci 25: 351-363. https://doi.org/10.1080/10888691.2019.1647106
    [62] Rasmussen KE, Troilo J (2016) “It has to be perfect!”: The development of perfectionism and the family system. J Fam Theor Rev 8: 154-172. https://doi.org/10.1111/jftr.12140
    [63] Brueckmann M, Teuber Z, Hollmann J, et al. (2023) What if parental love is conditional? Children's self-esteem profiles and their relationship with parental conditional regard and self-kindness. BMC Psychol 11: 322. https://doi.org/10.1186/s40359-023-01380-3
    [64] Curran T (2018) Parental conditional regard and the development of perfectionism in adolescent athletes: The mediating role of competence contingent self-worth. Sport Exerc Perform 7: 284-296. https://doi.org/10.1037/spy0000126
    [65] Crocetti E, Meeus W (2014) “Family comes first!” Relationships with family and friends in Italian emerging adults. J Adolesc 37: 1463-1473. https://doi.org/10.1016/j.adolescence.2014.02.012
    [66] Laudani C, Guzzo G, Lo Cascio V, et al. (2014) Does a mediterranean model of family functioning in the perception of Italian and Spanish adolescents exist? A cross-national study. Mediterr J Soc Sci 5: 377-385. https://doi.org/10.5901/mjss.2014.v5n1p377
    [67] Chen S, Saklofske DH, Flett GL, et al. (2024) Assessing and evaluating the perfectionism social disconnection model: Social support, loneliness, and distress among undergraduate, law, and medical students. J Psychoeduc Assess 42: 743-767. https://doi.org/10.1177/07342829241244951
    [68] Stoeber J, Noland AB, Mawenu TWN, et al. (2017) Perfectionism, social disconnection, and interpersonal hostility: Not all perfectionists don't play nicely with others. Pers Indiv Differ 119: 112-117. https://doi.org/10.1016/j.paid.2017.07.008
    [69] Yuan Y, Jiang S, Yan S, et al. (2022) The relationship between depression and social avoidance of college students: A moderated mediation model. J Affect Disord 300: 249-254. https://doi.org/10.1016/j.jad.2021.12.119
    [70] Millard LA, Wan MW, Smith DM, et al. (2023) The effectiveness of compassion-focused therapy with clinical populations: A systematic review and meta-analysis. J Affect Disord 326: 168-192. https://doi.org/10.1016/j.jad.2023.01.010
    [71] Sirois FM, Molnar DS, Hirsch JK (2017) A meta–analytic and conceptual update on the associations between procrastination and multidimensional perfectionism. Eur J Personality 31: 137-159. https://doi.org/10.1002/per.2098
    [72] Xiong Z, Liu C, Song M, et al. (2024) The relationship between maladaptive perfectionism and anxiety in first-year undergraduate students: A moderated mediation model. Behav Sci 14: 628. https://doi.org/10.3390/bs14080628
    [73] Sand L, Bøe T, Shafran R, et al. (2021) Perfectionism in adolescence: Associations with gender, age, and socioeconomic status in a Norwegian sample. Front Public Health 9: 688811. https://doi.org/10.3389/fpubh.2021.688811
    [74] Borgonovi F, Han SW (2021) Gender disparities in fear of failure among 15-year-old students: The role of gender inequality, the organisation of schooling and economic conditions. J Adolesc 86: 28-39. https://doi.org/10.1016/j.adolescence.2020.11.009
    [75] Price PC, Holcomb B, Payne MB (2024) Gender differences in impostor phenomenon: A meta-analytic review. Curr Res Behav Sci 7: 100155. https://doi.org/10.1016/j.crbeha.2024.100155
    [76] Caprara GV, Scabini E, Barni D (2011) I valori degli italiani. I valori nell'Italia contemporanea . Milan: Franco Angeli 45-68.
    [77] Manzi C, Vignoles VL, Regalia C, et al. (2006) Cohesion and enmeshment revisited: Differentiation, identity, and well-being in two European cultures. J Marriage Fam 68: 673-689. https://doi.org/10.1111/j.1741-3737.2006.00282.x
    [78] Abramowitz JS, Jacoby RJ (2014) Scrupulosity: A cognitive–behavioral analysis and implications for treatment. J Obsessive-Compuls Rel 3: 140-149. https://doi.org/10.1016/j.jocrd.2013.12.007
    [79] Yang Q, Zou W (2025) The impact of reflective practice on the development of nursing undergraduate students. BMC Med Educ 25: 880. https://doi.org/10.1186/s12909-025-07490-3
    [80] Biggs D, Blackburn L, Black C, et al. (2025) Physiotherapy under pressure: A cross-sectional study on the interplay between perfectionism, moral injury, and burnout. PLoS One 2: e0299173. https://doi.org/10.1371/journal.pone.0299173
    [81] Martin SR, Fortier MA, Heyming TW, et al. (2022) Perfectionism as a predictor of physician burnout. BMC Health Serv Res 22: 1425. https://doi.org/10.1186/s12913-022-08785-7
    [82] Vasudevan V, Tran B, Burke SM, et al. (2025) Changes in stress-related outcomes among graduate students following the Mindfulness Ambassador Program: A pilot study. PLoS One 20: e0313499. https://doi.org/10.1371/journal.pone.0313499
    [83] Lawrence JS, Gonzales JE, Sutherland KT (2021) Academically-contingent self-worth: Dimensionality and associations with negative affectivity and achievement goals. Pers Indiv Differ 180: 110987. https://doi.org/10.1016/j.paid.2021.110987
    [84] Kruger K, Jellie J, Jarkowski O, et al. (2023) Maladaptive and adaptive perfectionism impact psychological wellbeing through mediator self-efficacy versus resilience. Int J Psychol St 15: 1-46. https://doi.org/10.5539/ijps.v15n3p46
    [85] Balloo K, Gravett K, Erskine G (2021) ‘I'm not sure where home is’: Narratives of student mobilities into and through higher education. Brit J Sociol Educ 42: 1022-1036. https://doi.org/10.1080/01425692.2021.1959298
    [86] Müller FH, Thomas AE, Carmignola M, et al. (2021) University students' basic psychological needs, motivation, and vitality before and during COVID-19: A self-determination theory approach. Front Psychol 12: 775804. https://doi.org/10.3389/fpsyg.2021.775804
    [87] Gaudreau P, Thompson A (2010) Testing a 2×2 model of dispositional perfectionism. Pers Indiv Differ 48: 532-537. https://doi.org/10.1016/j.paid.2009.11.031
    [88] Inglés CJ, García-Fernández JM, Vicent M, et al. (2016) Profiles of perfectionism and school anxiety: A review of the 2×2 model of dispositional perfectionism in child population. Front Psychol 7: 1403. https://doi.org/10.3389/fpsyg.2016.01403
    [89] Castro J, Soares MJ, Pereira AT, et al. (2017) Perfectionism and negative/positive affect associations: The role of cognitive emotion regulation and perceived distress/coping. Trends Psychiatry Psychother 39: 77-87. https://doi.org/10.1590/2237-6089-2016-0042
    [90] Neff KD, Germer CK (2013) A pilot study and randomized controlled trial of the mindful self-compassion program. J Clin Psychol 69: 28-44. https://doi.org/10.1002/jclp.21923
    [91] Stevenson J, Mattiske JK, Nixon RDV (2019) The effect of a brief online self-compassion versus cognitive restructuring intervention on trait social anxiety. Behav Res Ther 123: 103492. https://doi.org/10.1016/j.brat.2019.103492
    [92] Cırcır O, Tagay Ö (2024) The relationships between cognitive flexibility, perfectionism, optimism, self-compassion and psychological well-being: A mixed study. Curr Psychol 43: 19830-19846. https://doi.org/10.1007/s12144-024-05775-2
    [93] Ahn M, Ahn S (2025) 2×2 model cluster analysis of multidimensional perfectionism in college students. J Meditation Based Psychol Couns 33: 39-49. https://doi.org/10.12972/mpca.2025.33.4
  • publichealth-13-01-019-s001.pdf
  • Reader Comments
  • © 2026 the Author(s), licensee AIMS Press. This is an open access article distributed under the terms of the Creative Commons Attribution License (http://creativecommons.org/licenses/by/4.0)
通讯作者: 陈斌, bchen63@163.com
  • 1. 

    沈阳化工大学材料科学与工程学院 沈阳 110142

  1. 本站搜索
  2. 百度学术搜索
  3. 万方数据库搜索
  4. CNKI搜索

Metrics

Article views(180) PDF downloads(17) Cited by(0)

Article outline

Figures and Tables

Figures(6)  /  Tables(16)

/

DownLoad:  Full-Size Img  PowerPoint
Return
Return

Catalog