Efficient numerical methods for gas network modeling and simulation

  • Published: 26 August 2020
  • Primary: 65F08, 37M05, 37N30, 94C15

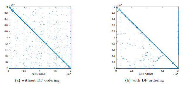
  • We study the modeling and simulation of gas pipeline networks, with a focus on fast numerical methods for the simulation of transient dynamics. The obtained mathematical model of the underlying network is represented by a system of nonlinear differential algebraic equations (DAEs). With our modeling approach, we reduce the number of algebraic constraints, which correspond to the $ (2,2) $ block in our semi-explicit DAE model, to the order of junction nodes in the network, where a junction node couples at least three pipelines. We can furthermore ensure that the $ (1, 1) $ block of all system matrices including the Jacobian is block lower triangular by using a specific ordering of the pipes of the network. We then exploit this structure to propose an efficient preconditioner for the fast simulation of the network. We test our numerical methods on benchmark problems of (well-)known gas networks and the numerical results show the efficiency of our methods.

    Citation: Yue Qiu, Sara Grundel, Martin Stoll, Peter Benner. Efficient numerical methods for gas network modeling and simulation[J]. Networks and Heterogeneous Media, 2020, 15(4): 653-679. doi: 10.3934/nhm.2020018

    Related Papers:

  • We study the modeling and simulation of gas pipeline networks, with a focus on fast numerical methods for the simulation of transient dynamics. The obtained mathematical model of the underlying network is represented by a system of nonlinear differential algebraic equations (DAEs). With our modeling approach, we reduce the number of algebraic constraints, which correspond to the $ (2,2) $ block in our semi-explicit DAE model, to the order of junction nodes in the network, where a junction node couples at least three pipelines. We can furthermore ensure that the $ (1, 1) $ block of all system matrices including the Jacobian is block lower triangular by using a specific ordering of the pipes of the network. We then exploit this structure to propose an efficient preconditioner for the fast simulation of the network. We test our numerical methods on benchmark problems of (well-)known gas networks and the numerical results show the efficiency of our methods.



    加载中


    [1] N. Banagaaya, S. Grundel and P. Benner, Index-aware MOR for gas transport networks with many supply inputs, in IUTAM Symposium on Model Order Reduction of Coupled Systems (eds. J. Fehr and B. Haasdonk), Springer International Publishing, Cham, 2020,191–207.
    [2] J. Bang-Jensen and G. Z. Gutin, Digraphs: Theory, Algorithms and Applications, Springer-Verlag, London, 2008. doi: 10.1007/978-1-84800-998-1
    [3] P. Benner, S. Grundel, C. Himpe, C. Huck, T. Streubel and C. Tischendorf, Gas network benchmark models, in Differential-Algebraic Equations Forum, Springer, Berlin, Heidelberg, 2018.
    [4] Numerical solution of saddle point problems. Acta Numer. (2005) 14: 1-137.
    [5] Finite volume methods for multi-component Euler equations with source terms. Comput. Fluids (2017) 156: 113-134.
    [6] Sensitivity of pipeline gas flow model to the selection of the equation of state. Chem. Eng. Res. Des. (2009) 87: 1596-1603.
    [7] Inexact Newton methods. SIAM J. Numer. Anal. (1982) 19: 400-408.
    [8] H. Egger, A robust conservative mixed finite element method for isentropic compressible flow on pipe networks, SIAM J. Sci. Comput., 40 (2018), A108–A129. doi: 10.1137/16M1094373
    [9] H. Egger, T. Kugler and N. Strogies, Parameter identification in a semilinear hyperbolic system, Inverse Probl., 33 (2017), 055022. doi: 10.1088/1361-6420/aa648c
    [10] (2014) Finite Elements and Fast Iterative Solvers. New York: Oxford University Press.
    [11] A. Fügenschuh, et al., Physical and technical fundamentals of gas networks, in Evaluating Gas Network Capacities
    [12] A joint model of probabilistic/robust constraints for gas transport management in stationary networks. Comput. Manag. Sci. (2017) 14: 443-460.
    [13] S. Grundel, N. Hornung, B. Klaassen, P. Benner and T. Clees, Computing surrogates for gas network simulation using model order reduction, in Surrogate-Based Modeling and Optimization doi: 10.1007/978-1-4614-7551-4_9
    [14] S. Grundel, N. Hornung and S. Roggendorf, Numerical aspects of model order reduction for gas transportation networks, in Simulation-Driven Modeling and Optimization, Springer Proceedings in Mathematics & Statistics, 153, 2016, 1–28.
    [15] S. Grundel and L. Jansen, Efficient simulation of transient gas networks using IMEX integration schemes and MOR methods, in 2015 54th IEEE Conference on Decision and Control (CDC), 2015, 4579–4584. doi: 10.1109/CDC.2015.7402934
    [16] S. Grundel, L. Jansen, N. Hornung, T. Clees, C. Tischendorf and P. Benner, Model order reduction of differential algebraic equations arising from the simulation of gas transport networks, in Progress in Differential-Algebraic Equations, Differential-Algebraic Equations Forum, Springer Berlin Heidelberg, 2014,183–205. doi: 10.1007/978-3-642-34928-7_2
    [17] Stationary states in gas networks. Netw. Heterog. Media (2015) 10: 295-320.
    [18] F. M. Hante, G. Leugering, A. Martin, L. Schewe and M. Schmidt, Challenges in Optimal Control Problems for Gas and Fluid Flow in Networks of Pipes and Canals: From Modeling to Industrial Applications, Springer Verlag, Singapore, 2017, 77–122.
    [19] Modeling and simulation of a gas distribution pipeline network. Appl. Math. Model. (2009) 33: 1584-1600.
    [20] Modeling, simulation and optimization of gas networks with compressors. Netw. Heterog. Media (2007) 2: 81-97.
    [21] Coupling conditions for networked systems of Euler equations. SIAM J. Sci. Comput. (2008) 30: 1596-1612.
    [22] A new model for gas flow in pipe networks. Math. Methods Appl. Sci. (2010) 33: 845-855.
    [23] A topology based discretization of PDAEs describing water transportation networks. Proc. Appl. Math. Mech. (2014) 14: 923-924.
    [24] An analysis of the discontinuous Galerkin method for a scalar hyperbolic equation. Math. Comp. (1986) 46: 1-26.
    [25] C. Kelley, Solving Nonlinear Equations with Newton's Method, Society for Industrial and Applied Mathematics, Philadelphia, 2003. doi: 10.1137/1.9780898718898
    [26] Simulation of transient gas flows in networks. Internat. J. Numer. Methods Fluids (1984) 4: 13-24.
    [27] A. Osiadacz, Simulation and Analysis of Gas Networks, Gulf Publishing, Houston, TX, 1987.
    [28] A comparison of a finite element method and a finite difference method for transient simulation of a gas pipeline. Appl. Math. Model. (1989) 13: 79-85.
    [29] On the development of parameter-robust preconditioners and commutator arguments for solving Stokes control problems. Electron. Trans. Numer. Anal. (2015) 44: 53-72.
    [30] Natural preconditioning and iterative methods for saddle point systems. SIAM Rev. (2015) 57: 71-91.
    [31] M. Porcelli, V. Simoncini and M. Tani, Preconditioning of active-set Newton methods for PDE-constrained optimal control problems, SIAM J. Sci. Comput., 37 (2015), S472–S502. doi: 10.1137/140975711
    [32] Y. Qiu, Preconditioning Optimal Flow Control Problems Using Multilevel Sequentially Semiseparable Matrix Computations, Ph.D thesis, Delft Institute of Applied Mathematics, Delft University of Technology, 2015.
    [33] T. Rees, Preconditioning Iterative Methods for PDE-Constrained Optimization, Ph.D thesis, University of Oxford, 2010.
    [34] S. Roggendorf, Model Order Reduction for Linearized Systems Arising from the Simulation of Gas Transportation Networks, Master's thesis, Rheinischen Friedrich-Wilhelms-Universität Bonn, Germany, 2015.
    [35] Y. Saad, Iterative Methods for Sparse Linear Systems, Society for Industrial and Applied Mathematics, Philadelphia, 2003. doi: 10.1137/1.9780898718003
    [36] IDR(s): A family of simple and fast algorithms for solving large nonsymmetric systems of linear equations. SIAM J. Sci. Comput. (2008) 31: 1035-1062.
    [37] On PDE solution in transient optimization of gas networks. J. Comput. Appl. Math. (2007) 203: 345-361.
    [38] M. Stoll and T. Breiten, A low-rank in time approach to PDE-constrained optimization, SIAM J. Sci. Comput., 37 (2015), B1–B29. doi: 10.1137/130926365
    [39] Transient analysis of gas pipeline network. Chem. Eng. J. (1998) 69: 47-52.
    [40] Centred TVD schemes for hyperbolic conservation laws. IMA J. Numer. Anal. (2000) 20: 47-79.
    [41] M. B. van Gijzen and P. Sonneveld, Algorithm 913: An elegant IDR(s) variant that efficiently exploits biorthogonality properties, ACM Trans. Math. Software, 38 (2011), 5: 1–5: 19. doi: 10.1145/2049662.2049667
    [42] Preconditioning. Acta Numer. (2015) 24: 329-376.
    [43] M. Wathen, C. Greif and D. Schötzau, Preconditioners for mixed finite element discretizations of incompressible MHD equations, SIAM J. Sci. Comput., 39 (2017), A2993–A3013. doi: 10.1137/16M1098991
    [44] Simulation of transients in natural gas pipelines using hybrid TVD schemes. Internat. J. Numer. Methods Fluids (2000) 32: 407-437.
    [45] A. Zlotnik, M. Chertkov and S. Backhaus, Optimal control of transient flow in natural gas networks, in 2015 54th IEEE Conference on Decision and Control (CDC), 2015, 4563–4570. doi: 10.1109/TCNS.2014.2367360
  • Reader Comments
  • © 2020 the Author(s), licensee AIMS Press. This is an open access article distributed under the terms of the Creative Commons Attribution License (http://creativecommons.org/licenses/by/4.0)
通讯作者: 陈斌, bchen63@163.com
  • 1. 

    沈阳化工大学材料科学与工程学院 沈阳 110142

  1. 本站搜索
  2. 百度学术搜索
  3. 万方数据库搜索
  4. CNKI搜索

Metrics

Article views(3526) PDF downloads(719) Cited by(7)

Article outline

Figures and Tables

Figures(17)  /  Tables(3)

Other Articles By Authors

/

DownLoad:  Full-Size Img  PowerPoint
Return
Return

Catalog