Research article

Valorization of coastal seagrass biomass: Enzyme-assisted extraction of bioactive compounds from Posidonia oceanica

  • These authors contributed equally to this work.
  • Published: 26 March 2026
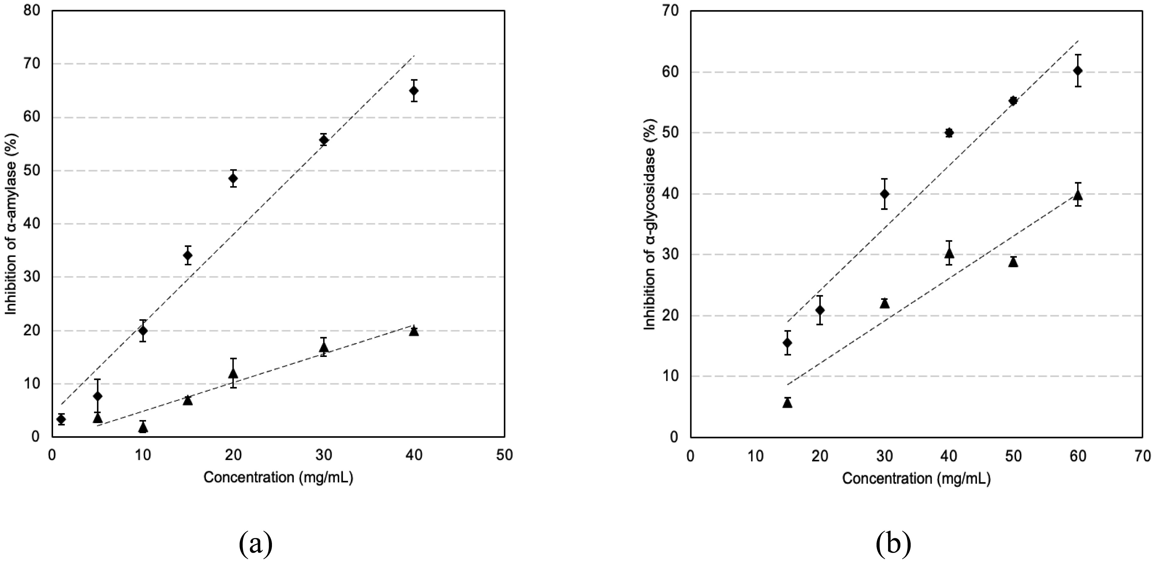
  • In this study, we focus on the enzyme-assisted extraction (EAE) of bioactive compounds from Posidonia oceanica, a Mediterranean seagrass of ecological importance that is often treated as waste. Increasing evidence highlights its beneficial properties, making it a promising source of compounds for the production of value-added compounds. A Taguchi experimental design was employed to optimize the EAE, using the cellulolytic commercial enzyme preparation Cellic CTec3® HS. The effects of key parameters, namely extraction time, solid-to-liquid ratio, and enzyme loading, were evaluated for total phenolic content (TPC) and total flavonoid content (TFC). Optimization was achieved using “the larger-the-better” approach, and under optimal conditions (solid-to-liquid ratio 1% w/v, enzyme loading 200 U/g, and extraction time 6 h), TPC and TFC reached 27.54 ± 0.84 mg GAE/g DW and 9.22 ± 0.84 mg CAE/g DW, respectively, representing approximately a ten-fold and more than five-fold increase compared to conventional ethanol:water extraction. An additional hemicellulolytic enzyme preparation, Viscoferm® was evaluated under the optimized conditions, and EAE with Cellic CTec3® HS yielded higher TPC and TFC. The optimized extracts obtained with Cellic CTec3® HS and Viscoferm® were further assessed for their antioxidant activity, anti-aging activity (inhibition of tyrosinase activity), anti-diabetic activity (inhibition of amylase and α-glucosidase activity), and antibacterial activity (inhibition of E. coli growth). The Cellic CTec3® HS extract yielded highest antioxidant activity (IC50 =203.72 ± 23.99 µL extract/mL) and antibacterial activity (21.37 ± 2.00 %), whereas the Viscoferm® extracts demonstrated stronger antidiabetic activity with IC50 values of IC50 = 38.42 ± 2.45 mg/mL (α-amylase) and 43.84 ± 1.29 mg/mL (a-glucosidase). Both extracts showed relatively low tyrosinase inhibition; at 200 mg/mL, Cellic CTec3® HS and Viscoferm® exhibited 41.62 ± 0.10% and 18.69 ± 0.57% inhibition, respectively. These findings confirm the potential of Posidonia oceanica as a sustainable source of bioactive compounds with promising applications.

    Citation: Zafeiria Lemoni, Dimitra Argirakou, Styliani Kalantzi, Theopisti Lymperopoulou, Diomi Mamma. Valorization of coastal seagrass biomass: Enzyme-assisted extraction of bioactive compounds from Posidonia oceanica[J]. AIMS Molecular Science, 2026, 13(2): 143-167. doi: 10.3934/molsci.2026008

    Related Papers:

  • In this study, we focus on the enzyme-assisted extraction (EAE) of bioactive compounds from Posidonia oceanica, a Mediterranean seagrass of ecological importance that is often treated as waste. Increasing evidence highlights its beneficial properties, making it a promising source of compounds for the production of value-added compounds. A Taguchi experimental design was employed to optimize the EAE, using the cellulolytic commercial enzyme preparation Cellic CTec3® HS. The effects of key parameters, namely extraction time, solid-to-liquid ratio, and enzyme loading, were evaluated for total phenolic content (TPC) and total flavonoid content (TFC). Optimization was achieved using “the larger-the-better” approach, and under optimal conditions (solid-to-liquid ratio 1% w/v, enzyme loading 200 U/g, and extraction time 6 h), TPC and TFC reached 27.54 ± 0.84 mg GAE/g DW and 9.22 ± 0.84 mg CAE/g DW, respectively, representing approximately a ten-fold and more than five-fold increase compared to conventional ethanol:water extraction. An additional hemicellulolytic enzyme preparation, Viscoferm® was evaluated under the optimized conditions, and EAE with Cellic CTec3® HS yielded higher TPC and TFC. The optimized extracts obtained with Cellic CTec3® HS and Viscoferm® were further assessed for their antioxidant activity, anti-aging activity (inhibition of tyrosinase activity), anti-diabetic activity (inhibition of amylase and α-glucosidase activity), and antibacterial activity (inhibition of E. coli growth). The Cellic CTec3® HS extract yielded highest antioxidant activity (IC50 =203.72 ± 23.99 µL extract/mL) and antibacterial activity (21.37 ± 2.00 %), whereas the Viscoferm® extracts demonstrated stronger antidiabetic activity with IC50 values of IC50 = 38.42 ± 2.45 mg/mL (α-amylase) and 43.84 ± 1.29 mg/mL (a-glucosidase). Both extracts showed relatively low tyrosinase inhibition; at 200 mg/mL, Cellic CTec3® HS and Viscoferm® exhibited 41.62 ± 0.10% and 18.69 ± 0.57% inhibition, respectively. These findings confirm the potential of Posidonia oceanica as a sustainable source of bioactive compounds with promising applications.



    加载中

    Acknowledgments



    The authors would like to thank Novozymes A/S, Denmark for generously providing the enzyme preparation used in the present study. The work of Zafeiria Lemoni was funded by the Special Account for Research Funding (E.L.K.E.) of the National Technical University of Athens (NTUA).

    Conflict of interest



    The authors declare they have no conflict interest in this paper.

    [1] Apostolaki ET, Lavery PS, Litsi-Mizan V, et al. (2024) Patterns of carbon and nitrogen accumulation in seagrass (Posidonia oceanica) Meadows of the eastern Mediterranean Sea. J Geophys Res Biogeosci 129: e2024JG008163. https://doi.org/10.1029/2024JG008163
    [2] Monnier B, Pergent G, Mateo MÁ, et al. (2022) Quantification of blue carbon stocks associated with Posidonia oceanica seagrass meadows in Corsica (NW Mediterranean). Sci Total Environ 838: 155864. https://doi.org/10.1016/j.scitotenv.2022.155864
    [3] Caparrós-Martínez JL, Martínez-Vázquez RM, de Pablo-Valenciano J (2025) Future challenges in the conservation and valuation of environmental services provided by the seagrass meadows of “Posidonia oceanica”. Mar Policy 175: 106630. https://doi.org/10.1016/j.marpol.2025.106630
    [4] Lattanzi A, Bellisario B, Cimmaruta R (2024) A review of fish diversity in Mediterranean seagrass habitats, with a focus on functional traits. Rev Fish Biol Fisheries 34: 1329-1349. https://doi.org/10.1007/s11160-024-09876-w
    [5] Marino M, Baptist MJ, Alkharoubi AIK, et al. (2025) Nature-based solutions as building blocks for coastal flood risk reduction: A model-based ecosystem service assessment. Sci Rep 15: 12070. https://doi.org/10.1038/s41598-025-95230-4
    [6] Council of EuropeConvention on the conservation of European wildlife and natural habitats (1979). Available from: https://rm.coe.int/1680304354
    [7] Presidential Decree 67/1981.Protection of native flora and fauna and determination of procedures for coordination and control. Government Gazette of the Hellenic Republic, Issue A, No. 23 (1981) . Available from: https://ypen.gov.gr/wp-content/uploads/legacy/Files/Perivallon/Diaxeirisi%20Fysikoy%20Perivallontos/Nomothesia/PD67_81-A.pdf
    [8] Reposidonia. Ionian Environment Foundation. Available from: https://ionianenvironment.org/grants/reposidonia/
    [9] Mediterranean Posidonia Network. Available from: https://medposidonianetwork.com/
    [10] Balata G, Tola A (2018) Cost-opportunity analysis of the use of Posidonia oceanica as a source of bio-energy in tourism-oriented territories. The case of Alghero. J Clean Prod 172: 4085-4098. https://doi.org/10.1016/j.jclepro.2017.02.072
    [11] Moltó J, Montalbán MG, Núñez SS, et al. (2022) Revalorization of Posidonia oceanica waste for the thermochemical production of biochar. Appl Sci 12: 7422. https://doi.org/10.3390/app12157422
    [12] Voca N, Grubor M, Peter A, et al. (2019) Evaluation of Posidonia oceanica waste as a biomass source for energy generation. Bioenerg Res 12: 1104-1112. https://doi.org/10.1007/s12155-019-10032-7
    [13] Mnafki R, Morales A, Sillero L, et al. (2024) Integral valorization of Posidonia oceanica balls: An abundant and potential biomass. Polymers 16: 164. https://doi.org/10.3390/polym16010164
    [14] Souii A, Cherif A, Neifar M (2023) Biovalorization of Posidonia oceanica waste biomass as a green approach toward a sustainable bioeconomy. Biom Biostat Int J 12: 127-134. https://doi.org/10.15406/bbij.2023.12.00396
    [15] Benito-González I, López-Rubio A, Martínez-Abad A, et al. (2019) In-depth characterization of bioactive extracts from Posidonia oceanica waste biomass. Mar Drugs 17: 409. https://doi.org/10.3390/md17070409
    [16] Astudillo-Pascual M, Domínguez I, Aguilera PA, et al. (2021) New phenolic compounds in Posidonia oceanica seagrass: A comprehensive array using high resolution mass spectrometry. Plants 10: 864. https://doi.org/10.3390/plants10050864
    [17] Rubio-Portillo E, Martin-Cuadrado AB, Ramos-Esplá AÁ, et al. (2021) Metagenomics unveils Posidonia oceanica “Banquettes” as a potential source of novel bioactive compounds and carbohydrate active enzymes (CAZymes). mSystems 6: e00866-21. https://doi.org/10.1128/mSystems.00866-21
    [18] Karima M, Saida K, Benslama O, et al. (2025) Metabolite profiling and bioactivity of eastern Algerian Posidonia oceanica: Cholinesterase and urease inhibition with low cytotoxicity. ACS Omega 10: 47655-47675. https://doi.org/10.1021/acsomega.5c08586
    [19] Ismael M, Charras Q, Leschevin M, et al. (2023) Seasonal variation in cell wall composition and carbohydrate metabolism in the seagrass Posidonia oceanica growing at different depths. Plants 12: 3155. https://doi.org/10.3390/plants12173155
    [20] Gligor O, Mocan A, Moldovan C, et al. (2019) Enzyme-assisted extractions of polyphenols–A comprehensive review. Trends Food Sci Tech 88: 302-315. https://doi.org/10.1016/j.tifs.2019.03.029
    [21] Cotas J, Leandro A, Monteiro P, et al. (2020) Seaweed phenolics: From extraction to applications. Mar Drugs 18: 384. https://doi.org/10.3390/md18080384
    [22] Idris FN, Nadzir MM, Abd Shukor SR (2020) Optimization of solvent-free microwave extraction of Centella asiatica using Taguchi method. J Environ Chem Eng 8: 103766. https://doi.org/10.1016/j.jece.2020.103766
    [23] Lemoni Z, Kalantzi S, Lymperopoulou T, et al. (2025) Kinetic modeling and biological activities of Rosa canina L. pseudo-fruit extracts obtained via enzyme-assisted extraction. Antioxidants 14: 558. https://doi.org/10.3390/antiox14050558
    [24] Masuda T, Yamashita D, Takeda Y, et al. (2005) Screening for tyrosinase inhibitors among extracts of seashore plants and identification of potent inhibitors from Garcinia subelliptica. Biosci Biotechnol Biochem 69: 197-201. https://doi.org/10.1271/bbb.69.197
    [25] Zengin G, Sarikurkcu C, Aktumsek A, et al. (2014) A comprehensive study on phytochemical characterization of Haplophyllum myrtifolium Boiss. endemic to Turkey and its inhibitory potential against key enzymes involved in Alzheimer, skin diseases and type II diabetes. Ind Crop Prod 53: 244-251. https://doi.org/10.1016/j.indcrop.2013.12.043
    [26] Özbek HN, Halahlih F, Göğüş F, et al. (2020) Pistachio (Pistacia vera L.) hull as a potential source of phenolic compounds: Evaluation of ethanol–water binary solvent extraction on antioxidant activity and phenolic content of pistachio hull extracts. Waste Biomass Valorization 11: 2101-2110. https://doi.org/10.1007/s12649-018-0512-6
    [27] Baron G, Ferrario G, Marinello C, et al. (2021) Effect of extraction solvent and temperature on polyphenol profiles, antioxidant and anti-inflammatory effects of red grape skin by-product. Molecules 26: 5454. https://doi.org/10.3390/molecules26185454
    [28] Spange S (2024) Polarity of organic solvent/water mixtures measured with Reichardt's B30 and related solvatochromic probes—A critical review. Liquids 4: 191-230. https://doi.org/10.3390/liquids4010010
    [29] Lohvina H, Sándor M, Wink M (2022) Effect of ethanol solvents on total phenolic content and antioxidant properties of seed extracts of fenugreek (Trigonella foenum-graecum L.) varieties and determination of phenolic composition by HPLC-ESI-MS. Diversity 14: 7. https://doi.org/10.3390/d14010007
    [30] Kim HS, Chin KB (2017) Evaluation of antioxidative activity of various levels of ethanol extracted tomato powder and application to pork patties. Korean J Food Sci Anim Resour 37: 242-253. https://doi.org/10.5851/kosfa.2017.37.2.242
    [31] Mani B, Dennis T (2014) Evaluation of the antioxidant potential of Pittosporum dasycaulon Miq. stem bark. Food Sci Biotechnol 23: 539-545. https://doi.org/10.1007/s10068-014-0074-8
    [32] Natolino A, Da Porto C (2020) Kinetic models for conventional and ultrasound assistant extraction of polyphenols from defatted fresh and distilled grape marc and its main components skins and seeds. Chem Eng Res Des 156: 1-12. https://doi.org/10.1016/j.cherd.2020.01.009
    [33] Dai J, Mumper RJ (2010) Plant phenolics: Extraction, analysis and their antioxidant and anticancer properties. Molecules 15: 7313-7352. https://doi.org/10.3390/molecules15107313
    [34] Arnous A, Meyer AS (2010) Discriminated release of phenolic substances from red wine grape skins (Vitis vinifera L.) by multicomponent enzymes treatment. Biochem Eng J 49: 68-77. https://doi.org/10.1016/j.bej.2009.11.012
    [35] Bustamante M, Gil-Cortiella M, Peña-Neira Á, et al. (2025) Oxygen-induced enzymatic and chemical degradation kinetics in wine model solution of selected phenolic compounds involved in browning. Food Chem 484: 144421. https://doi.org/10.1016/j.foodchem.2025.144421
    [36] Santos LG, Martins VG (2022) Recovery of phenolic compounds from purple onion peel using bio-based solvents: Thermal degradation kinetics and color stability of anthocyanins. J Food Process Pres 46: e17161. https://doi.org/10.1111/jfpp.17161
    [37] Galgano F, Tolve R, Scarpa T, et al. (2021) Extraction kinetics of total polyphenols, flavonoids, and condensed tannins of lentil seed coat: Comparison of solvent and extraction methods. Foods 10: 1810. https://doi.org/10.3390/foods10081810
    [38] López GG, Brousse MM, Linares AR (2023) Kinetic modelling of total phenolic compounds from Ilex paraguariensis (St. Hil.) leaves: Conventional and ultrasound assisted extraction. Food Bioprod Process 139: 75-88. https://doi.org/10.1016/j.fbp.2023.03.003
    [39] Hoye C, Ross CF (2011) Total phenolic content, consumer acceptance, and instrumental analysis of bread made with grape seed flour. J Food Sci 76: S428-S436. https://doi.org/10.1111/j.1750-3841.2011.02324.x
    [40] Dulo B, De Somer T, Moyo M, et al. (2024) Kinetic modeling of phenolic compounds extraction from nutshells: Influence of particle size, temperature and solvent ratio. Biomass Conv Bioref 14: 23565-23579. https://doi.org/10.1007/s13399-023-04993-1
    [41] Xiao J (2022) Recent advances on the stability of dietary polyphenols. eFood 3: e21. https://doi.org/10.1002/efd2.21
    [42] Nakbi H, Dallel W, Hammami S, et al. (2021) Phytochemical profile and antioxidant properties of leaves extracts from Posidonia oceanica (L.) Delile and their allelopathic potential on terrestrial plant species. Bull Chem Soc Ethiop 34: 437-447. https://doi.org/10.4314/bcse.v34i3.1
    [43] Lee JE, Jayakody JTM, Kim J Il, et al. (2024) The influence of solvent choice on the extraction of bioactive compounds from asteraceae: A comparative review. Foods 13: 3151. https://doi.org/10.3390/foods13193151
    [44] Mamoona, Nosheen S, Riaz S, et al. (2024) Optimizing extraction methods: The role of solvent polarity in enhancing phenolic content and antioxidant activity in biowaste. Biomass Conv Bioref 15: 16721-16736. https://doi.org/10.1007/s13399-024-06368-6
    [45] Cornara L, Pastorino G, Borghesi B, et al. (2018) Posidonia oceanica (L.) Delile ethanolic extract modulates cell activities with skin health applications. Mar Drugs 16: 21. https://doi.org/10.3390/md16010021
    [46] Barletta E, Ramazzotti M, Fratianni F, et al. (2015) Hydrophilic extract from Posidonia oceanic inhibits activity and expression of gelatinases and prevents HT1080 human fibrosarcoma cell line invasion. Cell Adhes Migr 9: 422-431. https://doi.org/10.1080/19336918.2015.1008330
    [47] Messina CM, Arena R, Manuguerra S, et al. (2021) Antioxidant bioactivity of extracts from beach cast leaves of Posidonia oceanica (L.) Delile. Mar Drugs 19: 560. https://doi.org/10.3390/md19100560
    [48] Fontanini D, Bulleri F, Ravaglioli C, et al. (2025) A comparison of methods for assessing the antioxidant expression in Posidonia oceanica (L.) Delile. Molecules 30: 1828. https://doi.org/10.3390/molecules30081828
    [49] Lemoni Z, Evangeliou K, Lymperopoulou T, et al. (2025) Incorporation of edible plant extracts as natural food preservatives: Green extraction methods, antibacterial mechanisms and applications. Foods 14: 4000. https://doi.org/10.3390/foods14234000
    [50] Lemoni Z, Leka RK, Lymperopoulou T, et al. (2025) Enzyme-assisted extraction of bioactive compounds from Origanum dictamnus L. Eng Proc 117: 2. https://doi.org/10.3390/engproc2025117002
    [51] Łubek-Nguyen A, Ziemichód W, Olech M (2022) Application of enzyme-assisted extraction for the recovery of natural bioactive compounds for nutraceutical and pharmaceutical applications. Appl Sci 12: 3232. https://doi.org/10.3390/app12073232
    [52] Das S, Nadar SS, Rathod VK (2021) Integrated strategies for enzyme assisted extraction of bioactive molecules: A review. Int J Biol Macromol 191: 899-917. https://doi.org/10.1016/j.ijbiomac.2021.09.060
    [53] Lemoni Z, Kalantzi S, Lymperopoulou T, et al. (2025) Optimization of bioactive compounds extraction from Rosa canina L. pseudofruit through the action of two hydrolytic enzyme preparations. J Chem Technol Biotechnol 1–14. https://doi.org/10.1002/jctb.70075
    [54] Abdelmohsen MM, Hassanein HD, Hassan RA, et al. (2016) Phytochemical analysis, in vitro evaluation of antioxidant and antimicrobial activities of phenolic extracts from Posidonia oceanica (L.) Delile leaves. J Chem Pharm Res 8: 449-457. Available from: https://www.jocpr.com/archive/jocpr-volume-8-issue-6-year-2016.html
    [55] Ayad Berfad M, Alnour TMS (2014) Phytochemical analysis and antibacterial activity of the 5 different extract from the seagrasses Posidonia oceanica. J Med Plants Stud 2: 15-18.
    [56] Athary Abdulhaleem MF, Mohamed HS, Akrim ZSM, et al. (2025) Antibacterial and anti-tumor properties of marine Posidonoia oceanica leaf extracts. J Herbs Spices Med Plants 31: 268-290. https://doi.org/10.1080/10496475.2025.2478394
    [57] Kalinovskii AP, Sintsova OV., Gladkikh IN, et al. (2023) Natural inhibitors of mammalian α-amylases as promising drugs for the treatment of metabolic diseases. Int J Mol Sci 24: 16514. https://doi.org/10.3390/ijms242216514
    [58] Safamansouri H, Nikan M, Amin G, et al. (2014) α-Amylase inhibitory activity of some traditionally used medicinal species of Labiatae. J Diabetes Metab Disord 13: 114. https://doi.org/10.1186/s40200-014-0114-1
    [59] Oluwagunwa OA, Alashi AM, Aluko RE (2021) Inhibition of the in vitro activities of α-amylase and pancreatic lipase by aqueous extracts of Amaranthus viridis, Solanum macrocarpon and Telfairia occidentalis leaves. Front Nutr 8: 772903. https://doi.org/10.3389/fnut.2021.772903
    [60] Haguet Q, Le Joubioux F, Chavanelle V, et al. (2023) Inhibitory potential of α-amylase, α-glucosidase, and pancreatic lipase by a formulation of five plant extracts: TOTUM-63. Int J Mol Sci 24: 3652. https://doi.org/10.3390/ijms24043652
    [61] Wang M, Guo W, Ke Z, et al. (2025) Inhibitory mechanisms of galloylated forms of theaflavins on α-glucosidase. Int J Biol Macromol 294: 139324. https://doi.org/10.1016/j.ijbiomac.2024.139324
    [62] Ćorković I, Gašo-Sokač D, Pichler A, et al. (2022) Dietary polyphenols as natural inhibitors of α-amylase and α-glucosidase. Life 12: 1692. https://doi.org/10.3390/life12111692
    [63] Gazali M, Jolanda O, Husni A, et al. (2023) In vitro α-amylase and α-glucosidase inhibitory activity of green seaweed Halimeda tuna extract from the coast of Lhok Bubon, Aceh. Plants 12: 393. https://doi.org/10.3390/plants12020393
    [64] Landa-Cansigno C, Hernández-Domínguez EE, Monribot-Villanueva JL, et al. (2020) Screening of Mexican tropical seaweeds as sources of α-amylase and α-glucosidase inhibitors. Algal Res 49: 101954. https://doi.org/10.1016/j.algal.2020.101954
    [65] Namiecińska E, Jaszczak J, Hikisz P, et al. (2025) Evaluation of tyrosinase inhibitory activity of carbathioamidopyrazoles and their potential application in cosmetic products and melanoma treatment. Int J Mol Sci 26: 3882. https://doi.org/10.3390/ijms26083882
    [66] Di Petrillo A, González-Paramás AM, Era B, et al. (2016) Tyrosinase inhibition and antioxidant properties of Asphodelus microcarpus extracts. BMC Complement Altern Med 16: 453. https://doi.org/10.1186/s12906-016-1442-0
    [67] Hassan M, Shahzadi S, Kloczkowski A (2023) Tyrosinase inhibitors naturally present in plants and synthetic modifications of these natural products as anti-melanogenic agents: A review. Molecules 28: 378. https://doi.org/10.3390/molecules28010378
    [68] Utami DT, Setyowati EP, Murti YB, et al. (2024) Marine resources with melanogenic regulatory properties: seagrass, seaweed, and marine sponges as anti-melanogenic agents. J Appl Pharm Sci 14: 45-58. https://doi.org/10.7324/JAPS.2024.168569
  • Reader Comments
  • © 2026 the Author(s), licensee AIMS Press. This is an open access article distributed under the terms of the Creative Commons Attribution License (http://creativecommons.org/licenses/by/4.0)
通讯作者: 陈斌, bchen63@163.com
  • 1. 

    沈阳化工大学材料科学与工程学院 沈阳 110142

  1. 本站搜索
  2. 百度学术搜索
  3. 万方数据库搜索
  4. CNKI搜索

Metrics

Article views(668) PDF downloads(27) Cited by(0)

Article outline

Figures and Tables

Figures(4)  /  Tables(3)

/

DownLoad:  Full-Size Img  PowerPoint
Return
Return

Catalog